ロルの定理とその証明

  関数 $f(x)$ が
であるとき、
を満たす実数 $\xi$ が区間 $(a, b)$ に存在する。
  これをロルの定理 (Rolles' theorem) という。
概要
  閉区間 $[a,b]$ で連続な関数 $f(x)$ が $f(a)=f(b)$ を満たすとき、 $f(x)$ は両端が同じ高さになる下図のような軌道を描く関数になる。
ロルの定理の図
このとき、 $a$ から $b$ までの間のどこかで、必ず傾きが $0$ になる場所がある ( $f'(\xi) = 0$ を満たす $\xi$ が 区間 $(a, b)$ 内に存在する ) というのがロルの定理の主張である。
 
証明
  はじめに $ f(a) = f(b) = C $ とし、 関数 $g(x)$ を
と定義すると、 $g(x)$ は連続関数であり、
を満たす。 また $f(x)$ が$(a,b)$ の範囲で微分可能であるので、 $g(x)$ もその範囲で微分可能であり、
である。
  これを踏まえて、 以下では三つの場合
  1.   $g(x)$ が区間 $(a,b)$ で常に $0$ である場合
  2.   $g(x)$ が区間 $(a,b)$ で正の値を持つ場合
  3.   $g(x)$ が区間 $(a,b)$ で負の値のみをとる場合
に分けて考察し、いずれの場合にもロルの定理の主張が成り立つことを示す。
1.   $g(x)$ が常に $0$ である場合 ($g(x)=0$)
  この場合、 区間 $(a,b)$ のどこでも $g'(x) = 0$ であるので、 明らかに $g'(\xi) = 0$ を満たす実数がこの区間に存在する。 ゆえに、$f'(\xi) = 0$ を満たす実数 $\xi \in (a,b)$ が存在する。
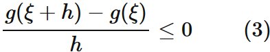
2.   $g(x)$ が正の値を持つ場合
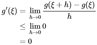
  $g(x)$ は連続関数であることから、 区間 $[a,b]$ のどこかで正の最大値 を持つ (連続関数の最大値・最小値の定理)。 $x=\xi$ のときに $g(x)$ が最大になる (最大値は $g(\xi)$ ) とすると、 $\xi+h \in (a,b)$ を満たす $h \lt 0$ に対して
が成り立つ (下図)。
これより、
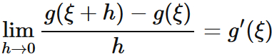
である。 $g$ が微分可能であるので、 左辺の関数
には、 $h \rightarrow 0$ の極限値 $g'(\xi)$ が存在する。 すなわち、
である ( 補足 1 参考 )。 これと $(1)$ から
である。 二行目の不等号では 補足 2 を用いた。
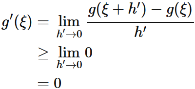
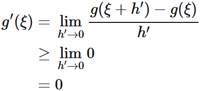
  一方で再び $g(\xi)$ が最大値であることを用いると、 $\xi+h' \in (a,b)$ を満たす $h' > 0$ に対して
が成り立つ (下図)。
これより、
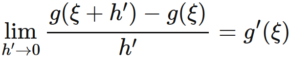
である。 $g$ が微分可能であるので、 左辺の関数
には、 $h' \rightarrow 0$ の極限値 $g'(\xi)$ が存在する。 すなわち、
である ( 補足 1 参考 )。 これと $(2)$ から
である。 二行目の不等号では 補足 2 を用いた。
  以上から
が成り立つので、 $g'(\xi) = 0$ である。すなわち、 $g'(\xi) = 0$ を満たす $\xi \in (a, b)$ が存在する。 したがって、 $f'(\xi) = 0$ を満たす $\xi \in (a, b)$ が存在する。
3.   $g(x)$ が負の値のみを持つ場合
  $g(x)$ は連続関数であることから、 区間 $[a,b]$ のどこかで負の最小値を持つ (連続関数の最大値・最小値の定理)。 $x=\xi$ のときに $g(x)$ が最小になる (最小値は $g(\xi)$ ) とすると、 $\xi + h \in (a,b)$ を満たす $h \lt 0$ に対して
が成り立つ (下図)。
これより、
である。 $g$ が微分可能であるので、 左辺の関数
には、 $h \rightarrow 0$ の極限値 $g'(\xi)$ が存在する。 すなわち、
である ( 補足 1 参考 )。 これと $(3)$ から
である。 二行目の不等号では 補足 2 を用いた。
  一方で再び $g(\xi)$ が最小値であることを用いると、 $\xi+h' \in (a,b)$ を満たす $h' > 0$ に対して
が成り立つ (下図)。
これより、
である。 $g$ が微分可能であるので、 左辺の関数
には、 $h' \rightarrow 0$ の極限値 $g'(\xi)$ が存在する。 すなわち、
である ( 補足 1 参考 )。 これと $(2)$ から
である。 二行目の不等号では 補足 2 を用いた。
  以上から
が成り立つので、 $g'(\xi) = 0$ である。すなわち、 $g'(\xi) = 0$ を満たす $\xi \in (a, b)$ が存在すること。 したがって、 $f'(\xi) = 0$ を満たす $\xi \in (a, b)$ が存在する。
補足1:
  $h$ が正の値であっても負の値であっても 関数
の $h \rightarrow 0$ の極限値が存在するとき $g(x)$ が $x=\xi$ で微分可能であるといい、 その極限値を $g'(\xi)$ と表す。
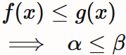
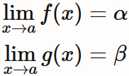
補足2:
 
であるとき、
が成り立つ (証明は大小関係のある数列の極限を参考)。