コーシーの平均値の定理  

  関数 $f(x)$ と $g(x)$ が区間 $[a,b]$ で連続で、区間 $(a,b)$ で微分可能な場合、
コーシーの平均値の定理
を満たす実数 $\xi \in (a,b)$ が存在する。 ただし、区間 $(a,b)$ で $g'(x) \neq 0$ とする。 これをコーシーの平均値の定理 (Cauchy's mean value theorem) という。

  証明

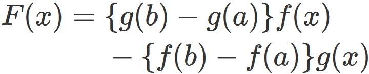
  関数 $F(x)$ を
と定義する。
  関数 $f(x)$ と $g(x)$ が区間 $[a,b]$ で連続で、 区間 $(a,b)$ で微分可能であることから、 $F(x)$ もまた区間 $[a,b]$ で連続で、区間 $(a,b)$ で微分可能である (微分可能 ⇒ 連続)。 また $F(x)$ は
を満たす。
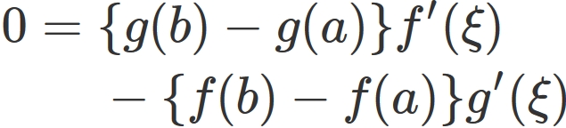
  ゆえに ロルの定理から $F'(\xi)=0$ を満たす $\xi \in (a,b)$ が存在する。 すなわち、
を満たす $\xi \in (a,b)$ が存在する。 上の式を書き直すと、
である。
補足
  コーシーの平均値の定理の $f(x)=x$ の場合が、平均値の定理である。