微分可能・微分係数・導関数

微分可能・微分係数・導関数
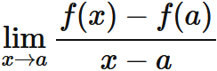
  次の極限
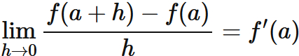
が存在するときに、 関数 $f(x)$ が $x=a$ で微分可能であるという。 その極限値 $f'(a)$ は、 すなわち、
$$ \tag{1.1} $$ は、、 $f(x)$ の $x=a$ における微分係数という。 $x-a = h$ と置くことによって、 $(1.1)$ を
と表すこともある。
  よく知られているように 微分係数は二点
を結ぶ直線の傾きの極限値である。
  関数 $f(x)$ がある区間 $I$ の任意の点で微分可能であるとき、 区間 $I$ の任意の点に微分係数 $f'(a)$ が存在するが、 これを区間 $I$ の各点 $a$ から対応付けられる関数と見なすとき、 $f'(a)$ は導関数と呼ばれる。
導関数の表し方
  導関数 $f'(a)$ は
のように様々な表記方法がある。
具体例 ($x^n$ の微分)
  関数
$$ \tag{2.1} $$ の導関数 $f'(x)$ は
$$ \tag{2.2} $$ である。
証明
  $(2.1)$ の $f(x)$ は、 $(-\infty, +\infty)$ の範囲で定義される。 この範囲で微分可能であり、 導関数が $(2.2)$ で与えられることは、 定義に従って次のように示される。
であるが、二項定理によって、 右辺を展開すると、
である。 したがって、 $f(x)$ は $(-\infty, +\infty)$ の範囲で微分可能であり、 導関数は $(2.2)$ である。
微分可能 ⇒ 連続
  関数 $f(x)$ が $x=a$ で微分可能であるならば、 $x=a$ で連続である。
証明
準備
  微分係数 $f'(a)$ を定義する $(1.1)$ は、 厳密にはイプシロン論法によって次のように表される。 すなわち、 任意の正の数 $\epsilon$ に対して、
$$ \tag{3.1} $$ を満たす $\delta$ と値 $f'(a)$ が存在する。
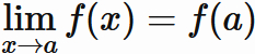
  一方で、 関数が連続であるとは、 次のように定義される。 すなわち、 関数 $f(x)$ の $x\rightarrow a$ の極限値が $f(a)$ に等しいとき、 つまり、
$$ \tag{3.2} $$ が成立するとき、 $f(x)$ は $x=a$ で連続であるという。 $(3.2)$ は、 厳密にはイプシロン論法によって、 次のように定義される。 すなわち、 任意の正の数 $\epsilon$ に対して、
$$ \tag{3.3} $$ を満たす $\delta$ が存在する。
  従って、 「関数 $f(x)$ が $x=a$ において微分可能であるならば、 $x=a$ で連続である」ことを証明するためには、 $(3.1)$ を仮定して $(3.3)$ が成立することを示せばよい。
証明
  上の方針に従って証明する。 任意の正の数 $\epsilon$ に対して、 $(3.1)$ を満たす $\delta$ と値 $f'(a)$ が存在すると仮定する。
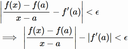
  $(3.1)$ の右側の絶対値の部分に対して、 三角不等式を適用すると、
が成立するので、
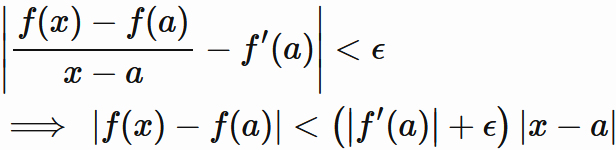
$$ \tag{3.4} $$ が成り立つ。 $(3.4)$ の右側の不等式は、 両辺に $|x-a|$ を掛けて整理することによって、
と表せるので、 $(3.4)$ を
$$ \tag{3.5} $$ と書き直せる。 従って、 $(3.1)$ と $(3.5)$ から、 任意の正の数 $\epsilon$ に対して、
$$ \tag{3.6} $$ を満たす $\delta$ と値 $f'(a)$ が存在することになる。 ところで、 $\epsilon \gt 0$ であることから、
が成立するので、
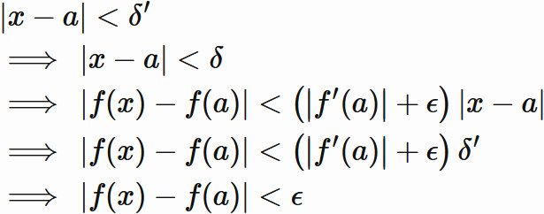
$$ \tag{3.7} $$ を満たす正の数 $\delta'$ が存在する。 また、 $\delta > 0$ であることから、 $\delta' $ が十分に小さいならば、 $(8)$ とともに
$$ \tag{3.8} $$ も満たす正の数 $\delta'$ が存在する。 この $\delta'$ に対し、 $ |x-a| \lt \delta' $ であるならば、 $(3.6)$ $(3.7)$ $(3.8)$ から、
が成立する。
  以上から、微分可能性 $(3.1)$ を仮定すると、 任意の $\epsilon \gt 0$ に対して、
を満たす $\delta' $ が存在すること $(3.3)$ が示された。 ゆえに、 $f(x)$ は $x=a$ において連続である。

その他の性質
  微分法の大切な性質として、よく知られたものを列挙する。

  • 合成関数の微分

右微分係数・左微分係数
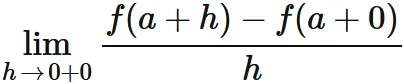
  微分係数は極限によって定義されるが、 その極限を正の方向からとるとき、 すなわち、
右微分係数
右微分係数という。 ここで、
は、 $h=0$ における右極限であり、 $f(a+0)$ は $x=a$ における右極限である。
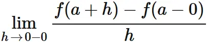
  同様に、微分係数の極限を負の方向からとるとき、 すなわち、
左微分係数
左微分係数という。 ここで、
は、 $h=0$ における左極限であり、 $f(a-0)$ は $x=a$ における左極限である。

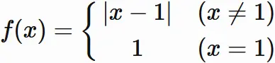
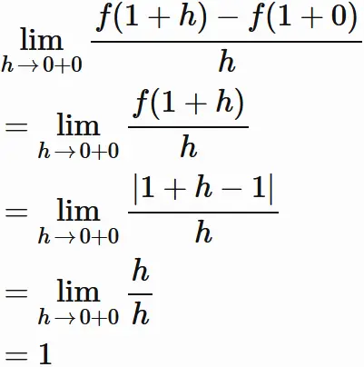
  関数
において、
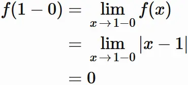
であるので、 $f(x)$ の $x=1$ における右微分係数は、
である。
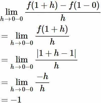
  一方、
であるので、 $f(x)$ の $x=1$ における左微分係数は、
である。ここで $h \lt 0$ の場合には $|h| = -h$ を用いた。
  $f(x)$ の $x=1$ における右微分係数と左微分係数は異なる。