定積分・積分可能とは?    

本ページでは、定積分・積分可能・不定積分とは何か? について、分かり易く丁寧に解説しています。 また、そこから導かれる基本的な定理や性質が証明されています。
分割
  閉区間 $[a ,b]$ 内の点 $x_{i}$ $(i=0,1,\cdots,n)$ が小さい順に
と並んでいるとする。
これらを用いると、 $[a ,b]$ を $n$ 個の小さな閉区間 $[x_{i-1},\hspace{0.5mm} x_{i}]$ に分けられる。 これを閉区間 $[a ,b]$ の $n$ 分割 (partition) といい、
のように $\Delta$ を用いて表される。 また、各 $x_{i}$ を分割 $\Delta$ の分点という。
  分割によって生じた各区間 $[x_{i-1},\hspace{0.5mm} x_{i}]$ を小区間または部分区間 (sub-interval) という。 各小区間の中で最も大きな小区間を $| \Delta |$ と表す。 すなわち、
と表し、 分割の幅または分割の大きさ(ノルム)などと呼ばれる。
上限和・下限和
  $f(x)$ を 閉区間 $[a, b]$ 上の関数とする。 $[a, b]$ の $n$ 分割
の各小区間 $[x_{i-1}, x_{i}]$ 上での $f$ の上限を $M_{i}$ とする。 すなわち、
とする。 $[x_{i-1}, x_{i}]$ 上での $f$ の下限 $m_{i}$ とする。すなわち、
とする。
  各区間の幅 $x_{i} - x_{i-1}$ に上限 $M_{i}$ をかけ合わせた総和
上限和 (upper Darboux sum) という。
同様に $x_{i} - x_{i-1}$ に下限 $m_{i}$ をかけ合わせた総和
下限和 (lower Darboux sum) という。
分割 $\Delta$ に対する上限和は、 同じ分割 $\Delta$ に対する下限和以上である。 すなわち、
$$ \tag{2.1} $$ が成り立つ。
細分
  閉区間 $[a, b]$ の分割
にさらに分点を追加して得られる分割を分割 $\Delta$ の細分 (subdivision) という。
$\Delta'$ を $\Delta$ の細分とする。 このとき、 $\Delta$ の上限和は $\Delta'$ の上限和以上である。 すなわち、
$$ \tag{3.1} $$ が成り立つ (下図参、細かく刻む方が小さくなる)。
また、 $\Delta$ の下限和は $\Delta'$ の下限和以下である。 すなわち、
$$ \tag{3.2} $$ が成り立つ (下図参、細かく刻む方が大きくなる)。
下限和 ≦ 上限和
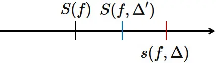
  任意の分割 $\Delta$ に対する連続関数 $f$ の下限和は、 任意の分割 $\Delta'$ に対する上限和以下である。 すなわち、
$$ \tag{4.1} $$ が成り立つ。
  (どんな分割を選ぼうと、下限和よりも上限和の方が大きい)
証明
  分割 $\Delta$ の分点と分割 $\Delta'$ の分点の 和集合を分点とする分割を $ \Delta \cup \Delta' $ と表す (下図参考)。
分割 $ \Delta \cup \Delta' $ は分割 $\Delta$ の細分である。 したがって、 $(3.2)$ より
が成り立つ。 また、 分割 $ \Delta \cup \Delta' $ は分割 $\Delta'$ の細分でもある。 したがって、 $(3.1)$ より
が成り立つ。 また、 $(2.1)$ より、 分割 $\Delta \cup \Delta' $ の下限は同じ分割の上限以下である。 すなわち、
が成り立つ。 以上から、
を得る。

上限和の下限・下限和の上限
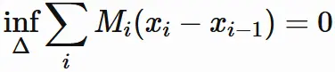
  $(3.1)$ から分かるように、 細分すればするほど、 上限和は小さな値になりうる。 しかし $(4.1)$ より、下に有界であるので、 どこまでも小さな値になるわけではなく下限が存在する (「上限・下限の存在」を参考)。 そこで、すべての分割 $\Delta$ に対する $S(f,\Delta)$ の下限を $S(f)$ と定義する。 すなわち、
と定義する。
  同様に、 $(3.2)$ から分かるように、 細分すればするほど、 下限和は大きな値になりうる。 しかし $(4.1)$ より、上に有界であるので、 どこまでも大きな値になるわけではなく上限が存在する (「上限・下限の存在」を参考)。 そこで、 すべての分割 $\Delta$ に対する $s(f,\Delta)$ の上限を $s(f)$ と定義する。 すなわち、
と定義する。 このとき、
$$ \tag{5.1} $$ が成り立つ。
証明
 
と仮定して矛盾を導く。
  $s(f)$ は上限であるので、 $s(f)$ と $S(f)$ の差がどんなに小さくても、 $s(f)$ と $S(f)$ の間の値をとる $s$ が存在する。 すなわち、
を満たす分割 $\Delta$ が存在する。
$S(f)$ は下限であるので、 $S(f)$ と $s(f, \Delta)$ の差がどんなに小さくても、 $S(f)$ と $s(f, \Delta)$ の間の値をとる $S$ が存在する。 すなわち、
を満たす分割 $\Delta'$ が存在する。
この結果は $(4.1)$ と矛盾する。 よって、
が成り立つ。

積分可能と定積分
  閉区間 $[a,b]$ 上の関数 $f$ の 上限和の下限 $S(f)$ と下限和の上限 $s(f)$ の差がどんな正の値よりも小さな正の値であるとき、 すなわち、任意の正の数 $\epsilon$ に対して
が成り立つとき、
と表し、 $f$ が閉区間 $[a,b]$ で積分可能であるという。 また、$\int_{b}^{a} f(x) \mathrm{d}x$ の値を 区間 $[a,b]$ における $f$ の定積分という。
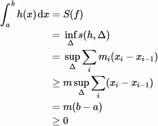
閉区間上の連続関数   ⇒   積分可能
  関数 $f(x)$ が閉区間 $[a,b]$ で連続であるならば、 その区間で積分可能である。
証明
  $f$ は閉区間上で連続であるので、 一様連続である (「閉区間で連続 ⇒ 一様連続」を参考)。 よって、任意の正の数 $\epsilon$ に対して正の数 $\delta$ が存在し、 区間 $[a,b]$ 内であればどんな二点 $x,x'$ であっても、
$$ \tag{7.1} $$ が成り立つ。
  分割 $\Delta$ を
とすると、 上限和
である。ここで $M_{i}$ は各小区間 $[x_{i-1}, x_{i}]$ 上の $f$ の上限であるが、 $f$ が連続関数であるから、 $f$ は各小区間内に最大値を持ち (「最大値最小値の定理」を参考)、 上限 $M_{i}$ がその最大値である。 最大値 $M_{i}$ を与える点を $x_{M_{i}}$ とする。すなわち、
とする。 下限和
であるが、 $m_{i}$ は各小区間 $[x_{i-1}, x_{i}]$ 上の下限であり、 $f$ が連続関数であるから、 $f$ は各小区間内に最小値を持ち (「最大値最小値の定理」を参考)、 下限 $m_{i}$ がその最小値である。 最小値 $m_{i}$ を与える点を $x_{m_{i}}$ とする。 すなわち、
とする。 以上から、
と表せる。 分割の幅が $|\Delta| \lt \delta$ である場合、
を満たすので、 $(7.1)$ から
が成り立つ。 これと三角不等式から
$$ \tag{7.2} $$ が成り立つ。 さて、 $S(f)$ を上限和の下限とすると、
が成り立ち、 $s(f)$ を下限和の上限とすると、
が成り立つ。 また、 上限和の下限 ≧ 下限和の上限の関係があるので、 すなわち、
であるので、
が成り立つ。 以上から
が成り立つ。 $\epsilon$ は任意の正の数であるから、 $\epsilon (b-a)$ もまた任意の正の数である。 よって、 どんな小さな正の $\epsilon (b-a)$ に対しても上の不等式が成り立つので、 $f$ は閉区間 $[a,b]$ で積分可能である。

$\int^{a}_{b} = -\int^{b}_{a}$
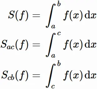
  区間 $[a,b]$ における定積分
に対して、$a$ と $b$ を入れ替えた
は、次のように定義される。
(定義であって導かれるものではない)
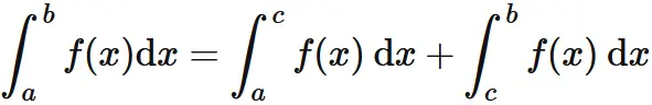
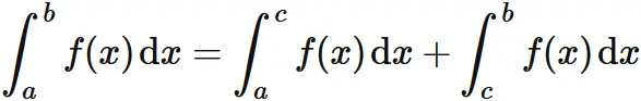
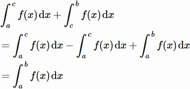
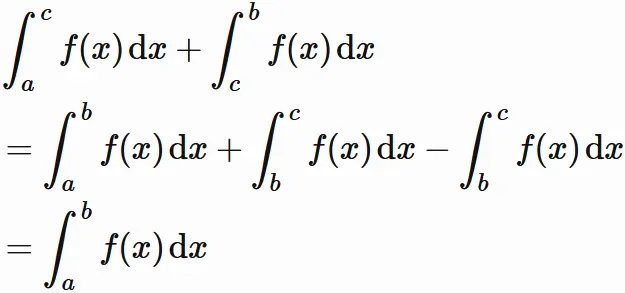
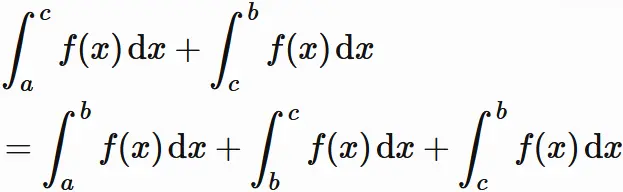
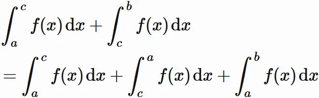
$\int^{b}_{a} = \int^{c}_{a} + \int^{b}_{c}$
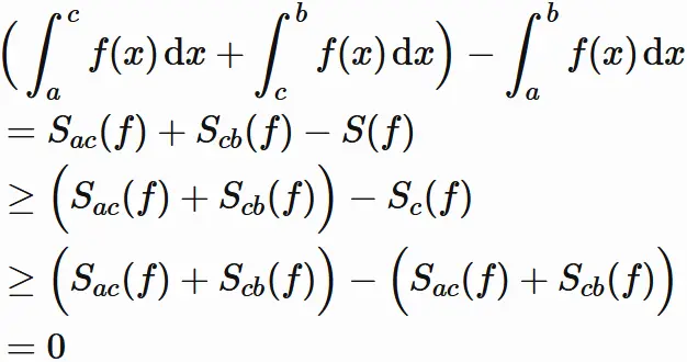
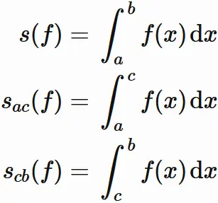
  $f$ を区間 $I$ で積分可能な関数とする。 このとき $a,b,c \in I$ であるならば、 区間 $[a,b]$ における定積分は、 区間 $[a,c]$ における定積分と 区間 $[c,b]$ における定積分の和に等しい。 すなわち、
が成り立つ。
証明
●   区間 $[a,b]$ 内に点を $c$ がある場合 $ (a \lt c \lt b)$

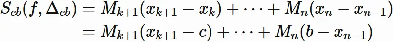
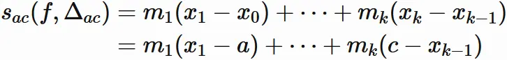
  区間 $[a,b]$ の分割のうち、 分点 $c$ を含む分割を $\Delta_{c}$ と表す。すなわち、
と表す。 $\Delta_{c}$ による $f$ の下限和
$$ \tag{9.2} $$ の $\Delta_{c}$ 全体に渡る上限
とし、 区間 $[a,b]$ の全ての分割に渡る上限を
と表すと、 $\Delta_{c}$ 全体は、 区間 $[a,b]$ の分割の全体の一部であるため、
$$ \tag{9.3} $$ が成り立つ。
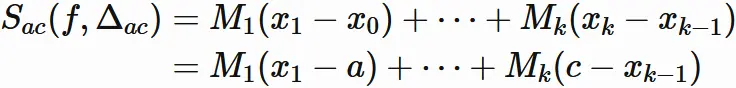
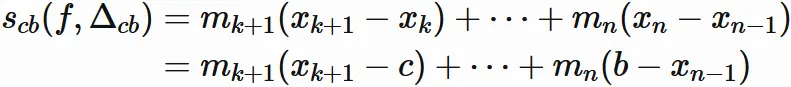
  $\Delta_{c}$ の $k$ 番目の分点が $c$ であるとし ($x_{k} = c$)、 $(9.2)$ の下限和のうち、 点 $a$ から 点 $c$ までの下限和を
と表し、 点 $c$ から点 $b$ までの下限和を
と表す。 ここで、 $\Delta_{ac}$ と $\Delta_{cb}$ はそれぞれ区間 $[a,c]$ と 区間 $[c,b]$ の分割である (下の図を参考)。
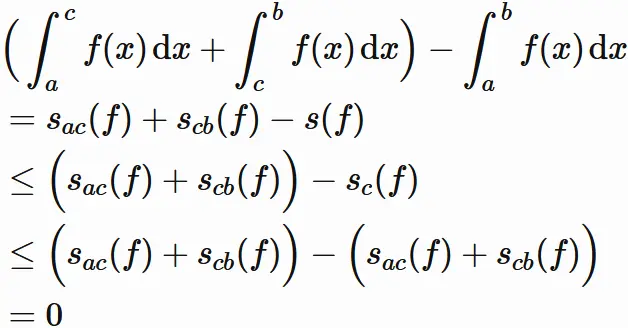
加えて、 右辺のそれぞれの下限和の上限
と定義する。 ここで、
と仮定すると、 右辺 $ s_{ac}(f) + s_{cb}(f) $ が 分割 $\Delta_{c}$ に対する下限和であるので、 左辺 $s_{c}(f)$ が $\Delta_{c}$ に対する下限和の上限であることに矛盾する。 よって、
$$ \tag{9.4} $$ が成り立つ。 ところで、 $s(f)$ と $s_{ac}(f)$ と $s_{cb}(f) $ はそれぞれ区間 $[a, b]$ と区間 $[a,c]$ と区間 $[c,b]$ における定積分である。すなわち、
である。 以上 $(9.3)$ $(9.4)$ より、
$$ \tag{9.5} $$ が成り立つ。
  下限和の上限を上限和の下限に入れ替えて同様の議論を展開する。 $\Delta_{c}$ による $f$ の上限和
$$ \tag{9.6} $$ の $\Delta_{c}$ 全体に渡る下限
とし、 区間 $[a,b]$ の全ての分割に渡る下限を
と表すと、 $\Delta_{c}$ 全体は、 区間 $[a,b]$ の分割の全体の一部であるため、
$$ \tag{9.7} $$ が成り立つ。
  $(9.6)$ の上限和のうち、 点 $a$ から 点 $c$ までの上限和を
と表し、 点 $c$ から点 $b$ までの上限和を
と表す。 加えて、 右辺のそれぞれの上限和の下限
と定義する。 ここで、
と仮定すると、 右辺 $ S_{ac}(f) + S_{cb}(f) $ が分割 $\Delta_{c}$ に対する上限和であるので、 左辺 $S_{c}(f)$ が $\Delta_{c}$ に対する上限和の下限であることに矛盾する。 よって、
$$ \tag{9.8} $$ が成り立つ。 ところで、 $S(f)$ と $S_{ac}(f)$ と $S_{cb}(f) $ はそれぞれ区間 $[a, b]$ と区間 $[a,c]$ と区間 $[c,b]$ における定積分である。すなわち、
である。 以上 $(9.7)$ $(9.8)$ より、
$$ \tag{9.9} $$ が成り立つ。
  $(9.5)$ と $(9.9)$ から
を得る。


●   区間 $b \lt c$ の場合 $ (a \lt b \lt c)$

$ a \lt b \lt c$ であるので、
と表せる。また $\int_{c}^{b} = - \int_{b}^{c}$ であるので、


●   区間 $c \lt a$ の場合 $ (c \lt a \lt b )$

$ c \lt a \lt b$ であるので、
と表せる。また $\int_{c}^{a} = - \int_{a}^{c} $ であるので、

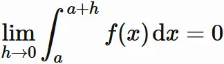
$\int^{a}_{a} = 0$
  $f$ を区間 $I$ で連続な関数とすると、 区間 $I$ の閉区間で積分可能である。 このとき、 区間の幅が $0$ の定積分の値は $0$ である。 すなわち、
が成り立つ。
証明
  定積分が閉区間の上限和または下限和から定義されるので区間の幅が $0$ の定積分の値が $0$ であることは明らかである。一方、 以下のように示すこともできる。
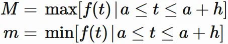
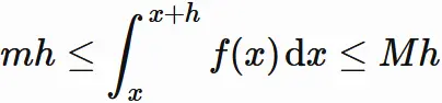
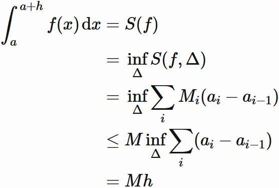
  $h \gt 0$ とすると、
が成り立つ。 $f(x)$ は閉区間で $[a,a+h]$ で連続であるので、 この区間内に最大値と最小値が存在する (「最大値・最小値の定理 」を参考)。 それぞれを
と表す。
  $\Delta$ を区間 $[x,x+h]$ の分割、 $a_{i}$ $(i=1,2,\cdots)$ を分割 $\Delta$ の分点、 $M_{i}$ を小区間 $[a_{i},a_{i-1}]$ の上限 ( $f$ が連続なので上限=最大値) とすると、小区間の最大値よりも全体の最大値の方が大きいので
が成り立つ。 $S(f,\Delta)$ を $f$ の上限和、 $S(f)$ を上限和の下限とすると、 定積分の定義から、
が成り立つ。 同様に最小値 $m$ に対しては、
が成り立つ。 よって、
が成り立つ。 これとはさみうちの定理から、
である。ゆえに、
である。

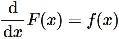
不定積分
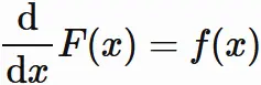
  $F(x)$ を微分可能な関数とする。 $F(x)$ の微分を $f(x)$ と表すとき、 すなわち、
と表したとき、 $F(x)$ を $f(x)$ の不定積分といい、
不定積分
と表す。
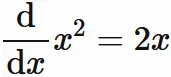
具体例
(1)   $x^{2}$ は $2x$ の不定積分である。実際
が成り立つ。

(2)   $\sin x$ は $\cos x$ の不定積分である。実際
が成り立つ。

微積分学の基本定理
  $f(x)$ を区間 $I$ で連続な関数とする。 $I$ に含まれる閉区間 $[a, x]$ における $f(x)$ の定積分を $F(x)$ とすると、 すなわち、
とすると、 $F(x)$ は $f(x)$ の不定積分である。 すなわち、
微積分学の基本定理
$$ \tag{11.1} $$ が成り立つ。
  $f(x)$ の定積分 $F(x)$ が $f(x)$ の不定積分でもあることを表すこの定理は、 微積分学の基本定理 (fundamental theorem of calculus) と呼ばれる。
証明
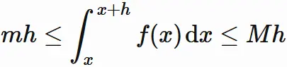
  $h \gt 0$ とし、$x+h \in I$ とする。 定積分の性質から
$$ \tag{11.2} $$ である。
  $f(x)$ は閉区間で $[x,x+h]$ で連続であるので、 この区間内に最大値と最小値が存在する (「最大値・最小値の定理 」を参考)。 それぞれを
$$ \tag{11.3} $$ と表す。
  $\Delta$ を区間 $[x,x+h]$ の分割、 $x_{i}$ $(i=1,2,\cdots)$ を分割 $\Delta$ の分点、 $M_{i}$ を小区間 $[x_{i-1},x_{i}]$ の上限 ( $f$ が連続なので上限=最大値) とすると、小区間の最大値よりも全体の最大値の方が大きいので
が成り立つ。 $S(f,\Delta)$ を $f$ の上限和、 $S(f)$ を上限和の下限とすると、 定積分の定義から、
が成り立つ。 同様に最小値 $m$ に対しては、
$$ \tag{11.4} $$ が成り立つ。 以上まとめると、
である (下図)。
$(11.2)(11.4)$ から、
$$ \tag{11.5} $$ が成り立つ。 $(11.3)$ から分かるように、
であるので、 これらと $(11.5)$ とはさみうちの定理から
が成り立つ。 よって、 $F(x)$ は微分可能であり、 その微分が $f(x)$ に等しい。すなわち、
が成り立つ。

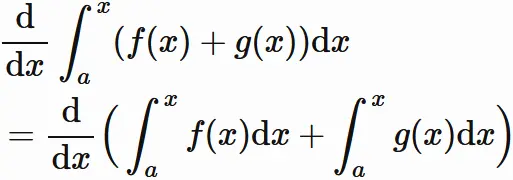
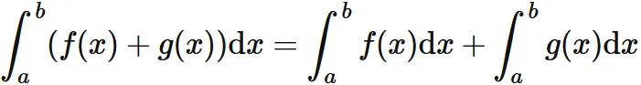
和の積分
  $f(x)$ と $g(x)$ を区間 $I$ で連続な関数とする。 $I$ に含まれる閉区間 $[a, b]$ で $ f(x) + g(x) $ は積分可能であり、
和の積分
が成り立つ。
証明
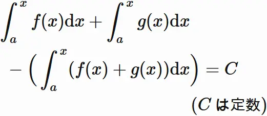
  $f(x)$ と $g(x)$ が区間 $I$ で連続であるならば、 それらの和の $f(x) + g(x)$ もまた連続である (「和の連続性」を参考)。 連続関数は積分可能であるので、 $ f(x) + g(x) $ は積分可能であり、 微積分学の基本定理より、
が成り立つ。 また、 和の微分の性質微積分学の基本定理から
である。よって、
が成り立つ。書き換えると、
である。 微分して $0$ になる関数は定数であるので、
である。 $x=a$ の場合を考えると、 区間の幅が $0$ の積分は $0$ であることから、 すなわち、
であることから、 $C=0$ である。 よって、
が成り立つ。 $x=b$ とすると、結果を得る。

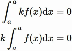
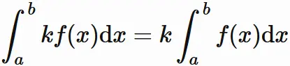
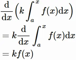
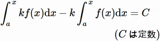
定数倍の積分
  $f(x)$ を区間 $I$ で連続な関数とする。 $I$ に含まれる閉区間 $[a, b]$ で $ k f(x) $ は積分可能であり、
定数倍の積分
が成り立つ。
証明
  $f(x)$ が区間 $I$ で連続であるならば、 定数倍の $k f(x) $ もまた連続である (「連続関数」を参考)。 連続関数は積分可能であるので、 $ k f(x) $ は積分可能であり、 微積分学の基本定理より、
が成り立つ。 また、 定数倍の微分の性質微積分学の基本定理から
である。よって、
が成り立つ。書き換えると、
である。 微分して $0$ になる関数は定数であるので、
である。 $x=a$ の場合を考えると、 区間の幅が $0$ の積分は $0$ であることから、 すなわち、
であることから、 $C=0$ である。 よって、
が成り立つ。 $x=b$ とすると、結果を得る。

定積分の不定積分による表現
  $f(x)$ を区間 $I$ で積分可能な関数とする。 $I$ に含まれる閉区間 $[a, b]$ における定積分 \begin{eqnarray} \int_{a}^{b} f(x) \mathrm{d}x \end{eqnarray} は、$f(x)$ の不定積分 (の一つ) $F(x)$ によって、
定積分の不定積分による計算
と表せる。
証明
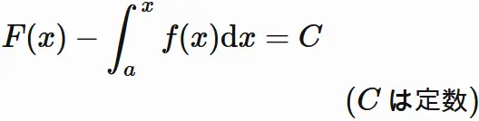
  不定積分の定義から、$F(x)$ と $f(x)$ には
の関係がある。 一方、微積分学の基本定理から、 $f(x)$ の定積分に対して、
が成り立つ。 これらと和の微分の性質から
が成り立つが、 微分して $0$ になる関数は定数であるので、
と表せる。$x=a$ の場合を考えると、 区間の幅が $0$ の積分は $0$ であることから、
である。 $x=b$ の場合を考えると、
を得る。

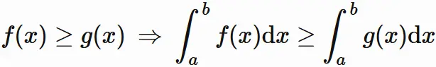
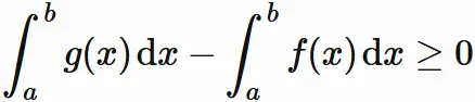
$ \small f(x)\leq g(x) \Rightarrow \int f(x)\mathrm{d}x \leq \int g(x)\mathrm{d}x$
  $f(x)$ と $g(x)$ を区間 $I$ で連続な関数とする。 このとき、 $I$ に含まれる閉区間 $[a, b]$ において、
であるならば、
大小関係のある積分
が成り立つ。
証明
 
とすると、 区間 $[a,b]$ において、
$$ \tag{15.1} $$ であり、 $h(x)$ は連続関数であるので、 区間 $[a,b]$ 内に最小値が存在する (「最大値・最小値の定理 」を参考)。 これを $m$ とすると、すなわち、
とすると、$(15.1)$ より、
である。
  $\Delta$ を区間 $[a,b]$ の分割、 $x_{i}$ $(i=1,2,\cdots)$ を分割 $\Delta$ の分点、 $m_{i}$ を小区間 $[x_{i-1},x_{i}]$ の下限 ( $h$ が連続なので下限=最小値) とすると、小区間の最小値よりも全体の最小値の方が小さいので
が成り立つ。 $s(h,\Delta)$ を $h$ の下限和、 $s(h)$ を下限和の上限とすると、 定積分の定義から、
が成り立つ。よって、
であるが、これと和の積分定数倍の積分の性質から、
と表せるので、
が成り立つ。

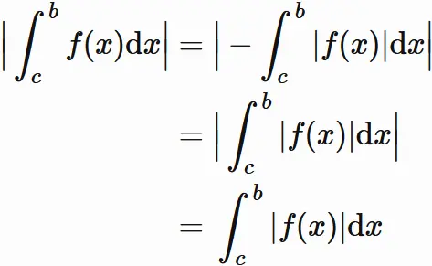
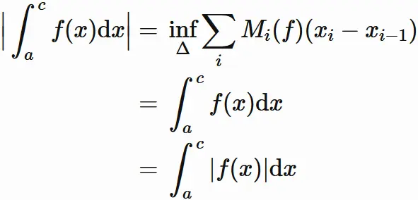
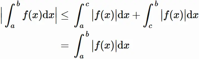
$ |\int f(x)\mathrm{d}x| \leq \int |f(x)|\mathrm{d}x$
  $f(x)$ を区間 $I$ で連続な関数とする。 このとき、 $I$ に含まれる閉区間 $[a, b]$ において、
が成り立つ。
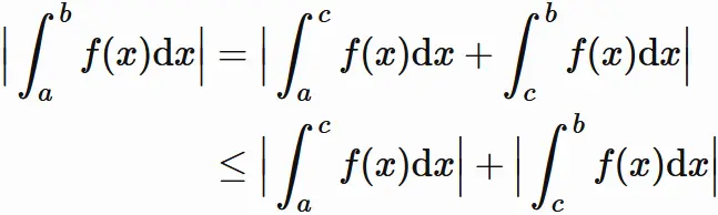
解説
  $a \lt c \lt b$ を満たす $c$ に対し、 $[a,c]$ では $f(x)$ が $0$ 以上になるとし、 $[c,b]$ では $f(x)$ が $0$ 以下になる場合を考える。 このとき、定積分の基本的性質三角不等式から
が成り立つ。 ここで、$\Delta$ を区間 $[a,c]$ の分割、 $x_{i}$ $(i=1,2,\cdots)$ を分割 $\Delta$ の分点、 $M_{i}(f) $ を小区間 $[x_{i-1},x_{i}]$ の $f$ の 上限 ( $f$ が連続なので上限=最大値) とし、 また $S(f,\Delta)$ を $f$ の上限和、 $S(f)$ を上限和の下限とすると、 定積分の定義から、
$$ \tag{17.1} $$ と表せる。 $f \geq 0$ であるから、$M_{i}(f) \geq 0$ である。よって、 絶対値内部の各項が全て $0$ 以上であるので、
が成り立つ。最後の等号では、区間 $[a,c]$ では $f(x)\geq 0 $ であることを用いた。 区間 $[c,b]$ では $f(x) \leq 0$ であるので、
最後の等号は、 $(17.1)$ の $f$ を $|f|$ に取り換えて上記と同様の議論を行った結果である。以上から、
$$ \tag{17.2} $$ が成り立つ。
  ここでは、区間 $[a,c]$ で $f(x) \geq 0$ であり、 $[c,b]$ で $f(x) \leq 0$ である単純な場合を考えた。 より複雑に $f(x)$ の正負が入れ替わる場合には、 $f(x)$ が正の区間と $f(x)$ が負の区間に分けて同様の議論を展開すれば $(17.2)$ が示される。

$ \small \int f(x) = 0, \hspace{1mm} f(x)\geq0 \Rightarrow f(x) =0 $
  $f(x)$ を区間 $I$ で連続な関数とする。このとき、 $I$ に含まれる閉区間 $[a,b]$ において、
$$ \tag{18.1} $$ かつ
$$ \tag{18.2} $$ であるならば、
である。
証明
  $\Delta$ を区間 $[a,b]$ の分割、 $x_{i}$ $(i=1,2,\cdots)$ を分割 $\Delta$ の分点、 $M_{i}$ を小区間 $[x_{i-1},x_{i}]$ の上限 ( $f$ が連続なので上限=最大値) とする。また、 $S(f,\Delta)$ を $f$ の上限和、 $S(f)$ を上限和の下限とすると、 定積分の定義から、
と表される。これと $(18.1)$ より、
$$ \tag{18.3} $$ である。 また $(18.2)$ より、 $M_{i} \geq 0$ であるので、 $(18.3)$ から
である。よって、 $f(x)$ は上限が $0$ であり、かつ $0$ 以上の関数であるから、
である。

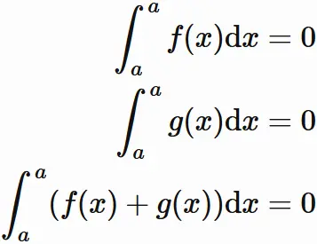
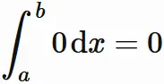
$ \small f(x) = 0 \Rightarrow \int f(x) \mathrm{d}x =0 $
  以下の関係が成り立つ。

証明
  定数倍の積分の性質
において、$k=0$ とすると、
と示される。

$ \small f(x) \geq 0 \Rightarrow \int f(x) \mathrm{d}x \geq 0 $
  以下の関係が成り立つ。

証明
  大小関係のある場合の積分の性質
において、$g(x)=0$ の場合を考えると、 $0$ の積分の性質から、
が得られる。

有限個の点で不連続な関数 ⇒ 積分可能
  有限個の点で不連続な有界関数 $f(x)$ は、積分可能である。 また、積分区間 $[a, b]$ 内で $f(x)$ が不連続な点を $c$ とすると、
が成り立つ。
証明
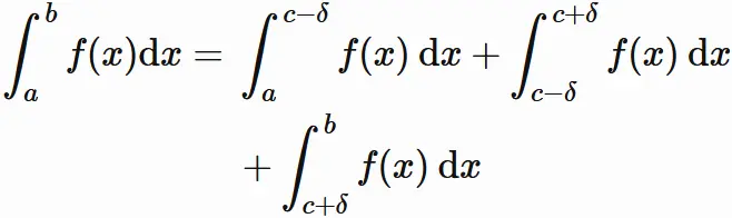
  議論を簡単にするため、 区間 $[a,b]$ 内の一点 $c$ でのみ不連続であるとして、 $f(x)$ が区間 $[a,b]$ で 積分可能であることを証明する。はじめに、
$$ \tag{21.1} $$ を満たす正の数を $\delta$ とする。
  区間 $[a, c-\delta]$ で $f(x)$ は連続関数であるから、 上記の$(7.2)$式で表されているように、 上限和下限和の差分が任意の正の数 $\epsilon_{1}$ よりも小さくなる分割 $\Delta_{1}$ が存在する。すなわち、
$$ \tag{21.2} $$ を満たす区間 $[a, c-\delta]$ の分割 $\Delta_{1}$ が存在する。 ここで $S$ は上限和、$s$ は下限和である。


補足1:
  $(7.2)$ の右辺は $\epsilon(b-a)$ となっているが、 $\epsilon$ が任意の正の数であるから $\epsilon(b-a)$ もまた任意の正の数である。よって、 $\epsilon(b-a)=\bar{\epsilon}$ とすると、 $(7.2)$ は任意の正の数 $\bar{\epsilon}$ に対して成り立つ不等式であり、$(21.2)$ と同様の意味を成す。

  同じように、 区間 $[c+\delta, b]$ で $f(x)$ は連続関数であるから、 上限和と下限和の差分が任意の正の数 $ \epsilon_{2}$ よりも小さくなる分割 $\Delta_{2}$ が存在する。 すなわち、
$$ \tag{21.3} $$ を満たす区間 $[c+\delta, b]$ の分割 $\Delta_{2}$ が存在する。
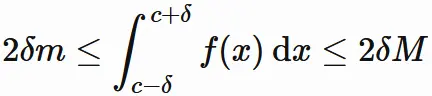
  区間 $[c-\delta, c+\delta] $ を一つの小区間と見なし、 その小区間一つだけからなる分割 を $\Delta'$ とする。 $f$ は有界な関数であるので、 $f$ にはこの小区間に上限と下限があり、 それぞれを $M$ と $m$ とすると、すなわち、
とすると (下図参考)、
分割 $\Delta'$ の上限和 と下限和 はそれぞれ
であり、上限和と下限和の差は
$$ \tag{21.4} $$ である。
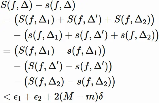
  以上で現れた三つの分割 $\Delta_{1}$ と $\Delta'$ と $\Delta_{2}$ を合わせた分割を $\Delta$ とする。 すなわち、
とすると、 分割 $\Delta$ は区間 $[a,b]$ の分割の一つであり、$\Delta$ に対する $f$ の 上限和は、各部分の上限和の和に等しい。すなわち、
$$ \tag{21.5} $$ である(上限和の定義を参考)。 同様に下限和については、
$$ \tag{21.6} $$ である(下限和の定義を参考)。
  以上の $(21.2)$ ~ $(21.6)$ から
$$ \tag{21.7} $$ を得る。ここで右辺の
$$ \tag{21.8} $$ に注目すると、 $\epsilon_{1}$ と $\epsilon_{2}$ は任意の正の数である。 また、 $\delta$ は $(21.1)$ を満たす任意の正の数であるため、 十分に小さくすることにより、 $2(M-m)\delta$ をいくらでも小さい正の数にできる。 よって、 $(21.8)$ は任意の正の数を表し得る。 したがって、
と置くと、 任意の正の数 $\epsilon$ に対して、
$$ \tag{21.9} $$ を満たす区間 $[a,b]$ の分割 $\Delta$ が存在することが分かる。 ところで、区間 $[a,b]$ の上限和の下限を $S(f)$ と表すと、
が成り立ち、下限和の上限を $s(f)$ と表すと、
が成り立つ。これらより、
が成り立つので、 $(21.9)$ から
が成り立つことが分かる。 よって、 $f(x)$ は区間 $[a,b]$ で積分可能である。


* 不連続な点が複数ある場合には、 以上の議論を応用すれば、 $f$ が積分可能であることが示される。

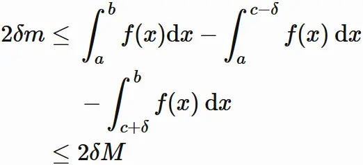
  上記のように $x=c$ に不連続点があるとする。 $f$ は積分可能なので区間 $[a,b]$ の積分を、 区間 $[a, c-\delta ]$ と $[ c-\delta, c+\delta ]$ と $[ c+\delta, b ]$ の三区間に分けられる。すなわち、
と表せる。 $f(x)$ は有界であるので、 区間 $[ c-\delta, c+\delta ]$ 内に下限と上限を持つ。 それぞれ $m$ と $M$ とすると、
が成り立つから、
が成り立つ。 $\delta \rightarrow 0$ とすると、
が得られる。