積の微分、商の微分、和の微分

準備
はじめに、本ページの証明で用いる定義と定理を記す。
  $(0)$ 次の極限
が収束する (特定の値を持つ) とき、 $h(x)$ が $x=a$ で微分可能であるといい、 その極限値を次のように表す。
  $(1)$ 関数の和の極限は極限の和に等しい
  $(2)$ 関数の定数倍の極限は極限の定数倍に等しい
  $(3)$ 関数の積の極限は極限の積に等しい
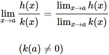
  $(4)$ 関数の商の極限は極限の商に等しい
  $(5)$ 微分可能な関数は連続
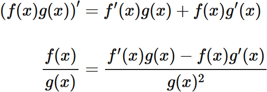
積の微分の公式
  関数 $f(x)$ と $g(x)$ が区間 $A$ において微分可能であるとき、 積 $f(x)g(x)$ もまたその区間で微分可能であり、
積の微分の公式
が成り立つ。
証明
  任意の $a \in A$ において
$$ \tag{2.1} $$ が成り立つ。 ここで、2つめの等号では $(1)$ を、 3つめの等号では $(2)$$(3)$ を、 4つめの等号では $(0)$$(5)$ を用いた。
  $f(x)$ と $g(x)$ が区間 $A$ で微分可能であるので、 $f'(a)$ と $g'(a)$ が存在するため (何らかの値であるため)、 $(2.1)$ の極限は収束する。 したがって、 関数 $f(x)g(x)$ は $x=a$ で微分可能である。 そこで $(0)$ に従って
と表すと、上の関係は
と表される。 任意の $a \in A$ に対して、 この関係が成り立つので、
である。

例題:
  関数 $x \cos x$ に対し、 $f(x)=x$、$g(x)=\cos x$ と置くと、
となる。
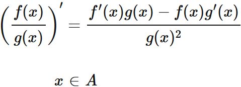
商の微分の公式
  関数 $f(x)$ と $g(x)$ が区間 $A$ において微分可能であるとき、 関数の商 $\frac{f(x)}{g(x)}$ もまたその区間で微分可能であり、
商の微分の公式
が成り立つ。ただし、$g(x) \neq 0$ とする。
証明
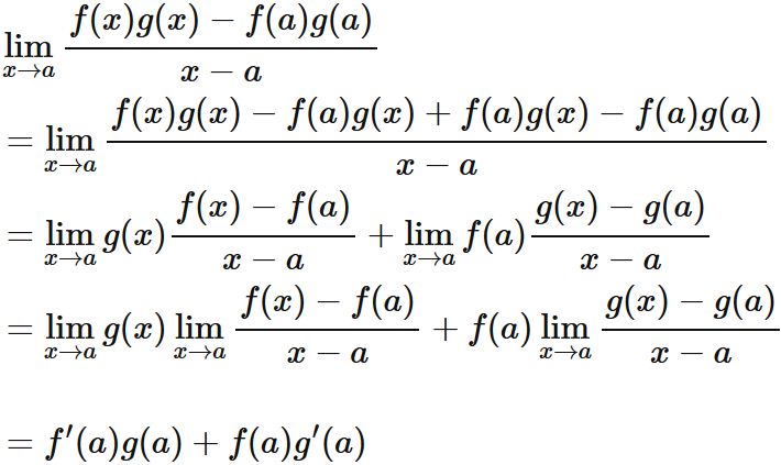
  任意の $a \in A$ において、 $g(a) \neq 0$ のとき、
$$ \tag{3.1} $$ が成り立つ。 ここで、3つめの等号では $(2)$ を、 4つめの等号では $(3)$ を、 5つめの等号では $(1)$$(2)$$(4)$ を、 6つめの等号では $(0)$$(5)$ を用いた。
  $f(x)$ と $g(x)$ が区間 $A$ で微分可能であるので、 $f'(a)$ と $g'(a)$ が存在し (何らかの値であり)、 $g(a) \neq 0$ であるので、 $(3.1)$ の極限は収束する。 したがって、関数 $\frac{f(x)}{g(x)}$ は $x=a$ で微分可能である。 そこで $(0)$ に従って
と表すと、上の関係は
と表される。 任意の $a \in A$ に対して、 この関係が成り立つので、
である。

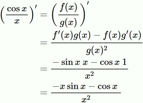
例:
  関数 $\frac{\cos x}{x}$ に対し、 $f(x)=\cos x$、$g(x)= x$ と置くと、
となる。
和の微分の公式
  関数 $f(x)$ と $g(x)$ が区間 $A$ において微分可能であるとき、 積 $f(x)+g(x)$ もまたその区間で微分可能であり、
和の微分の公式 (微分の線形性)
が成り立つ。
証明
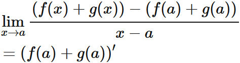
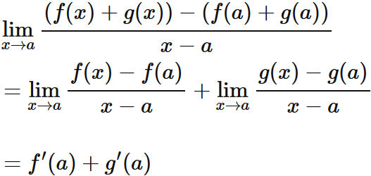
  任意の $a \in A$ において
$$ \tag{4.1} $$ が成り立つ。 ここで、1つめの等号では $(1)$ を、 3つめの等号では $(0)$ を用いた。
  $f(x)$ と $g(x)$ が区間 $A$ で微分可能であるので、 $f'(a)$ と $g'(a)$ が存在するため (何らかの値であるため)、 $(4.1)$ の極限は収束する。 したがって、関数 $f(x)+g(x)$ は $x=a$ で微分可能である。 そこで、 $(0)$ に従って
と表すと、上の関係は
と表される。 任意の $a \in A$ に対して、この関係が成り立つので、
である。

例:
  関数 $x+\sin x$ に対して、 $f(x)=x$、$g(x)=\sin x$ と置くと、
となる。
定数倍の微分
  関数 $f(x)$ が区間 $A$ において微分可能であるとき、 定数倍 $C f(x)$ もまたその区間で微分可能であり、
が成り立つ。
証明
  任意の $a \in A$ において
$$ \tag{5.1} $$ が成り立つ。 ここで、 2つめの等号では定数倍の極限の性質を用いた。
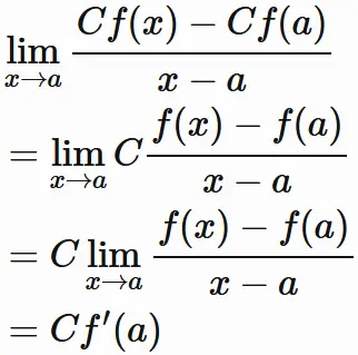
  $f(x)$ が区間 $A$ で微分可能であるので、 $f'(a)$ が存在するため (何らかの値であるため)、 $(5.1)$ は収束する。 したがって、関数 $C f(x)$ は $x=a$ で微分可能である。 そこで、 $(0)$ に従って
と表すと、上の関係は
と表される。 任意の $a \in A$ に対して、この関係が成り立つので、
である。