ライプニッツの公式

具体例:   関数の積の $2/3/4$ 階の微分
  関数 $f(x)$ と $g(x)$ の積 $f(x)g(x)$ の $2$ 階の微分、$3$ 階の微分、$4$ 階の微分はそれぞれ
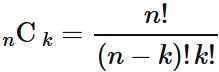
である。 これらは組み合わせの記号 ${}_n \mathrm{C}_{\hspace{1mm}k}$ を用いて
と表せる。

証明
  積の微分の公式
を繰り返し用いる。 まず $2$ 階の微分は、
である。 これより、$3$ 階の微分は、
である。 これより、$4$ 階の微分は、
である。 組み合わせ記号の定義が
であることから、
であるので、これらを用いると、 それぞれの階数の微分が
と表される。

ライプニッツの公式
  関数 $f(x)$ と $g(x)$ の積 $f(x)g(x)$ の $n$ 階の微分は、
ライプニッツの公式
と表せる。これをライプニッツの公式 (Leibniz rule) という。
証明
  ライプニッツの公式
$$ \tag{1} $$ が成り立つことを数学的帰納法によって証明する。

  $n=1$ の場合、 $(1)$ の左辺は 積の微分の公式から
である。一方で右辺は、
であるので、$(1)$ が成り立つ。

  $n=m$ の場合に $(1)$ が成り立つと仮定する。 すなわち、
を仮定する。 このとき、積の微分の公式から
と表せる。 ここで現れた総和を
と分けて表すと、
となるが、
が成り立つことを用いると、
となる。 ここで組み合わせの和が
と一つにまとめられることを用いると、
が成り立つことが分かる。 すなわち、$n=m+1$ の場合の $(1)$ が成り立つ。

  以上から数学的帰納法によって任意の $n$ (自然数) に対して $(1)$ が成り立つことが示された。

補足: :
  ライプニッツの公式
二項定理
は同じ構造を持っている。
  この構造は、次数の一つ少ないものから、 次の次数のものが導かれるという次の図の構造
パスカル三角形
に由来している。このような構造はパスカル三角形と呼ばれる。
ライプニッツの公式の応用例
  関数
の $4$ 階微分をライプニッツの公式から求めよ。
証明
 
と置くと、
であるので、 ライプニッツの公式から
である。

差分商に対するライプニッツの公式
  関数 $h(x)$ が関数 $f(x)$ と $g(x)$ の積によって
と表されるとき、 $h(x)$ の $x = x_{0}, x_{1}, \cdots, x_{n}$ を基礎とする $n$ 階の差分商 $h(x_{0}, x_{1}, \cdots, x_{n})$ は、 $f$ と $g$ の差分商によって、
差分商に対するライプニッツの公式
と表される。

証明
差分商の定義 (準備)
  $x = x_{0}, x_{1}$ を基礎とする $1$ 階の差分商 $f(x_{0}, x_{1})$ は、
と定義される。 式から分かるように、 $1$ 階の差分商は、$2$ 点
の間を結ぶ直線の傾きである。
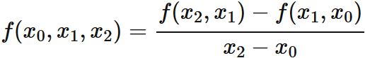
  $x = x_{0}, x_{1}, x_{2}$ を基礎とする $2$ 階の差分商 $f(x_{0}, x_{1}, x_{2})$ は、 $1$ 階の差分商 $f(x_{0}, x_{1})$ と $1$ 階の差分商
によって、
と定義される。 すなわち、 $2$ 階の差分商とは、 $1$ 階の差分商の差分商である。
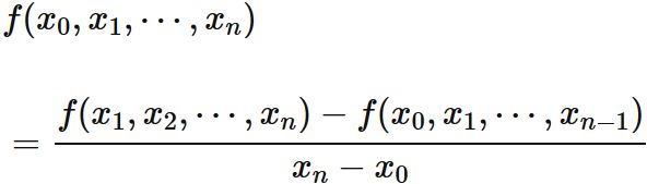
  同じように、 $x = x_{0}, x_{1}, \cdots, x_{n}$ を基礎とする $n$ 階の差分商 $f(x_{0}, x_{1},\cdots,x_{n})$ は、 $n-1$ 階の差分商 $ f(x_{0}, x_{1},\cdots,x_{n-1}) $ と $ f(x_{1}, x_{2},\cdots,x_{n}) $ によって、
と定義される。 すなわち、 $n$ 階の差分商とは、 $n-1$ 階の差分商の差分商である。
ニュートンの差分商補間公式 (準備2)
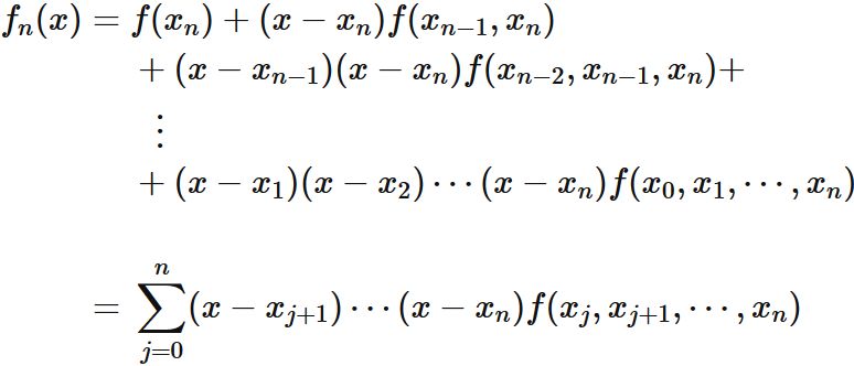
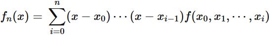
  $x= x_{0}, x_{1}, \cdots, x_{n}$ を基礎とする関数 $f(x)$ の差分商によって、 関数 $f(x)$ の $n$ 次近似式 $f_{n}(x)$ を次のように導出することができる。
$$ \tag{1} $$ この公式をニュートンの差分商補間公式という。 ここで、 $\sum^{n}_{i=0}$ に含まれる $i=0$ の場合の項は $f(x_{0})$ であるとした。
  ニュートンの補間公式には、 次のような表現方法もある (もう一つの表現を参考)。
$$ \tag{2} $$ ここで、 $\sum^{n}_{j=0}$ に含まれる $j=n$ の場合の項は $f(x_{n})$ であるとした。
証明
  関数 $h(x)$ が関数 $f(x)$ と $g(x)$ の積によって
$$ \tag{3} $$ と表されるとする。
  関数 $f(x)$ に対する $x= x_{0}, x_{1}, \cdots, x_{n}$ を基礎とする差分商補間公式 $f_{n}(x)$ は、 $(1)$ と同様に
と表される。
  関数 $g(x)$ に対する $x= x_{0}, x_{1}, \cdots, x_{n}$ を基礎とする差分商補間公式 $g_{n}(x)$ は、 $(2)$ と同様に
と表される。
  $f_{n}(x)$ と $g_{n}(x)$ の積を $l(x)$ と定義する。 すなわち、
$$ \tag{4} $$ と定義する。
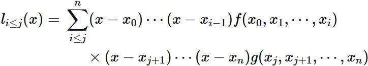
  ここで、 総和 $\sum^{n}_{i,j=0} $ は、 $i \leq j$ を満たす項の総和と $i > j$ を満たす項の総和に分けて、
$$ \tag{5} $$
を定義すると、
と表せるが、 $ l_{i > j} (x)$ 和は $x=x_{0}, \cdots x_{n}$ のときに $0$ になる。 なぜなら、 $ l_{i > j} (x) $ の各項には必ず
が含まれるからである。 よって、
$$ \tag{6} $$ が $k=0,1,\cdots, n$ に対して成立する。
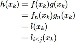
  一方で $(4)$ から、 $l(x_{k}) $ は、
であるが、 $f_{n}(x)$ と $g_{n}(x)$ がそれぞれ $x=x_{0},\cdots, x_{n}$ を基礎とする関数 $f(x)$ と $g(x)$ の差分商補間公式であることから、 基礎とする点の上では、もとの関数 $f(x)$ と $g(x)$ に等しくなる。 すなわち、
が成立する(この点については「ニュートンの補間公式はデータ点を通る」を参考)。
  これと $(3)$ $(4)$ $(6)$ から
$$ \tag{7} $$ が成り立つ。
  ところで、 関数 $h(x)$ の $x=x_{0},\cdots, x_{n}$ を基礎とする差分商補間公式
$$ \tag{8} $$ もまた、 基礎とする点の上では、もとの関数 $h(x)$ に等しいので
が成り立つ。 よって、 $(7)$ から
$$ \tag{9} $$ である。
  $(8)$ から 左辺の $h_{n}(x)$ は $n$ 次多項式であることが分かる。 一方、 $(5)$ から
であるので、 右辺の $l_{i \leq j} (x)$ もまた $n$ 次多項式である ($i=j$ の項が $n$ 次式になる) 。
  従って、 $h_{n}(x)$ と $l_{i \leq j} (x)$ は共に $n$ 次多項式であり、 $x = x_{0},x_{1},\cdots,x_{n}$ において同一の点を通る関数である (なぜならば $(9)$)。 一般に $n+1$ 個の点を通る $n$ 次多項式は一つしかないので、 $h_{n}(x)$ と $l_{i \leq j} (x)$ は、 同一の関数であることが分かる。 すなわち、
が成り立つ。 よって、 両辺の $x^{n}$ の係数を比較することにより、
が示される。
補足
  $x = x_{t}, x_{t+1}, \cdots, x_{t+n}$ を基礎とする $n$ 階の差分商 $h(x_{t}, x_{t+1}, \cdots, x_{t+n})$ は、 $f$ と $g$ の差分商によって、
と表される。 上と全く同じ方法で証明出来る。