ニュートンの補間公式と差分商を解説

差分商の定義
  階数の小さい差分商 (divided differences) から順に定義して行く。
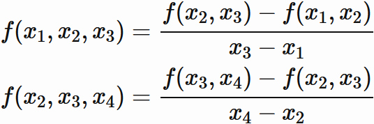
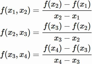
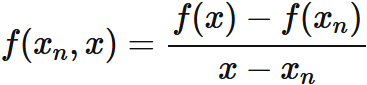
  $x = x_{1}, x_{2}$ に対する $1$ 階の差分商 $f(x_{1}, x_{2})$ は、
一階の差分商
$$ \tag{1.1} $$ と定義される。 式から分かるように、 $1$ 階の差分商は、$2$ 点
の間を結ぶ直線の傾きである。
  $x = x_{1}, x_{2}, x_{3}$ に対する $2$ 階の差分商 $f(x_{1}, x_{2}, x_{3})$ は、 $1$ 階の差分商 $f(x_{1}, x_{2})$ と $1$ 階の差分商
によって、
$$ \tag{1.2} $$ と定義される。 すなわち、 $2$ 階の差分商とは、 $1$ 階の差分商の差分商である。
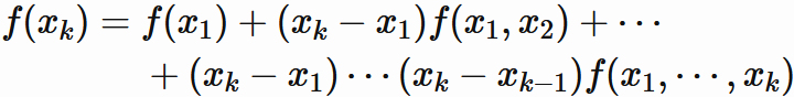
  同じように、 $x = x_{1}, x_{2}, \cdots, x_{n}$ に対する $n-1$ 階の差分商
は、 $n-2$ 階の差分商
によって、
$$ \tag{1.3} $$ と定義される。 すなわち、 $n-1$ 階の差分商とは、 $n-2$ 階の差分商の差分商である。
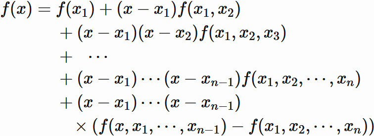
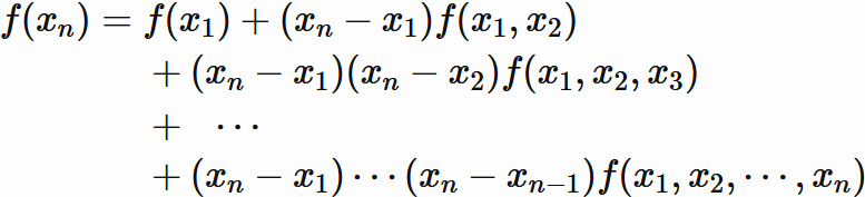
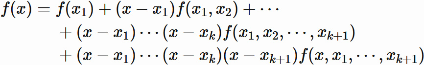
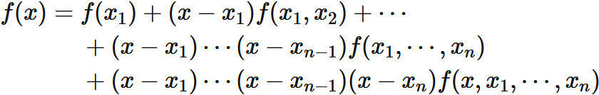
$f(x)$ の差分商による表現
  差分商を用いると、 関数 $f(x)$ を
$$ \tag{2.1} $$ と表すことができる。
証明
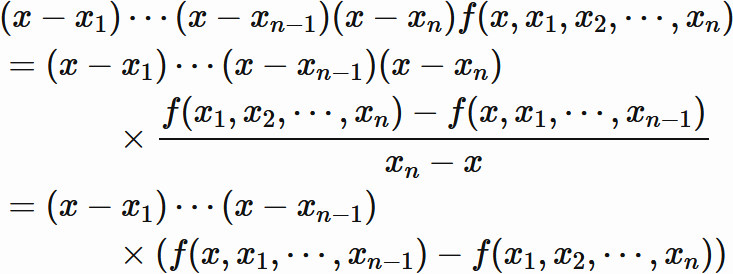
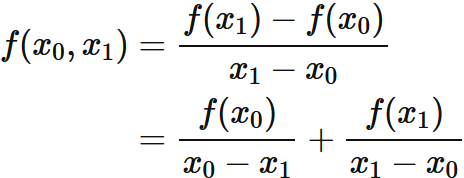
  帰納法によって証明する。 $x, x_{1}$ に対する $1$ 階の差分商 $(1.1)$
$$ \tag{2.2} $$ を整理すると
と表せるので、 $n=1$ の場合に $(2.1)$ が成立する。
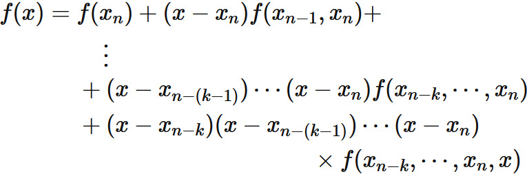
  $(2.1)$ の $n=k$ の場合の
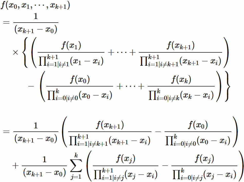
$$ \tag{2.3} $$ が成立すると仮定する。 $x, x_{1}, \cdots, x_{k+1}$ に対する差分商は、
であるが、 整理すると、
となる。 これを $(2.3)$ に代入すると、
となる。 従って、$(2.1)$ は $n=k+1$ の場合にも成立する。
  以上から、帰納法によって任意の $n$ に対して $(2.1)$ が成立することが示された。

差分商のもう一つの表現
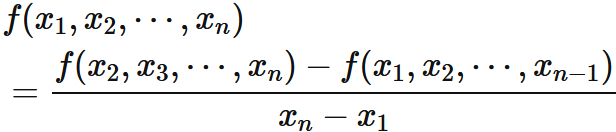
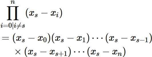
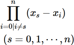
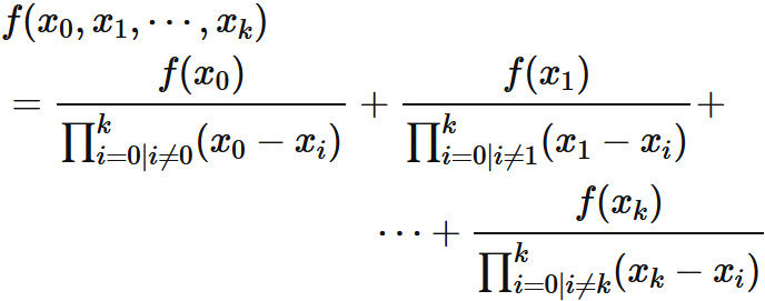
    関数 $f(x)$ の $x=x_{0}, x_{1}, \cdots , x_{n}$ に対する $n$ 階の差分商は、
$$ \tag{3.1} $$ と表すことができる。 ここで、
とは、 $i = s$ の場合を除いた $ (x_{s}-x_{i})$ の積を表す。 すなわち、
である。

証明
  帰納によって証明する。 $n=1$ の場合、 差分商の定義より、
と表せるので、 $(3.1)$ が成立する。
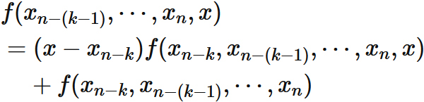
  $n=k$ において、 $(3.1)$ が成立すると仮定する。 すなわち、
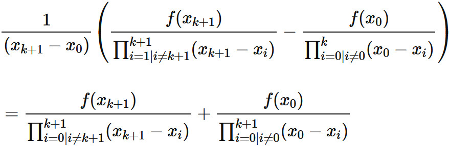
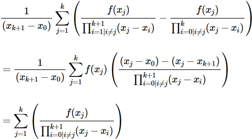
$$ \tag{3.2} $$ が成立すると仮定する。 このとき、 差分商の定義から
$$ \tag{3.3} $$ と表せる。 $(3.3)$ の第一項は、
と表せる。 ; また、 $(3.3)$ の第二項は、
である。 以上から、 $(3.3)$ は、
と表せる。 よって、 $n=k+1$ もまた $(3.1)$ が成立する。
  ゆえに、 帰納法によって、 任意の $n = 1,2,\cdots$ に対して $(3.1)$ が成立することが示された。

ニュートンの補間公式
  $(2.1)$ 式
の最後の項
剰余項と呼ばれる。 剰余項には、差分商 $f(x, x_{1},\cdots,x_{n})$ が含まれる。 この部分は $f(x)$ が未知の場合には計算することが出来ない。
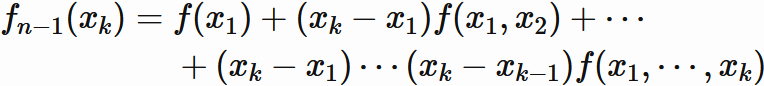
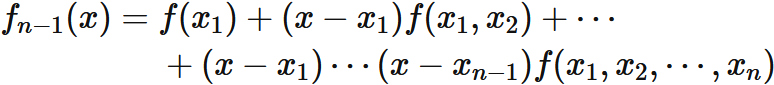
  一方で、 $(2.1)$ から剰余項を取り除いた関数
$$ \tag{4.1} $$ は、 $n$ 個の点
$$ \tag{4.2} $$ から、$y_{i}=f(x_{i})$ と置くことによって計算することが出来る。 すなわち、 $f_{n-1}(x)$ は点の値 $(4.2)$ さえ与えられれば、 導出することが出来る関数である。
  そこで、 関数 $f(x)$ が未知であり、 $(4.2)$ が既知の値 (例えば観測データ) である場合に、 $f(x)$ に代わって $f_{n-1}(x)$ を導出し、 未知の関数 $f(x)$ の近似関数とする、 すなわち、
とすると、 $(4.2)$ を除いた未知の点 (観測されていない点) を $f_{n-1}(x)$ を通じて与えることができる (下の例を参考)。
  このような役割を果たす関数を一般的に補間関数と呼び、 $f_{n-1}(x)$ を $n-1$ 階のニュートンの補間公式と呼ぶ (剰余項を取り除かないままの式 $(2.1)$ をその名前で呼ぶこともある)。
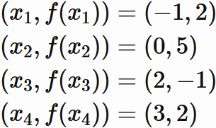
ニュートンの補間公式の例題   3次補間
  次の4点
$$ \tag{5.1} $$ を通る多項式をニュートンの差分商補間公式に従って導出する問題を解説する。
解答例
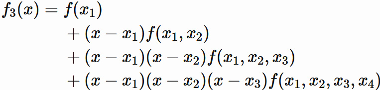
ニュートンの補間公式 (4点の場合)
  $4$ 点
によって与えられるニュートンの補間公式 $f_{3}(x)$ は、 $(4.1)$ から
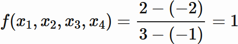
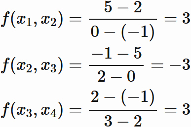
$$ \tag{5.2} $$ である。 ここで $1$ 階の差分商は、$(1.1)$ から
$$ \tag{5.3} $$ であり、$2$ 階の差分商は、 $(1.2)$ から、
$$ \tag{5.4} $$ であり、$3$ 階の差分商は、
$$ \tag{5.5} $$ である。
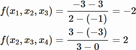
解答
  $4$ 点が
である場合、 $1$ 階の差分商は、 $(5.3)$ から
であり、$2$ 階の差分商は、$(5,4)$ から
であり、$3$ 階の差分商は、$(5.5)$ から
である。 以上の差分商と補間公式 $(5.2)$ により、補間関数は
と導出される (下図) 。
正規行列の定義
補足
  この結果は、ラグランジュの補間公式によって求めた結果と一致する。 この一致は、偶然ではなく、 $n$ 点を通る $n-1$ 次方程式が唯一つであるために、 どのような補間公式から求めたとしても同一の式になる。

ニュートンの差分商補間公式はデータ点を通る
  関数 $f(x)$ の $x=x_{1}, x_{2}, \cdots, x_{n}$ に対するニュートンの補間公式
$$ \tag{6.1} $$ は、点
を通る。
証明
    はじめに、 $x=x_{k}$ $(k=1,2,\cdots,n-1)$ の場合を考察する。 $n-1$ 階のニュートンの差分商補間公式 $(6.1)$ に $x=x_{k}$ を代入すると、
である (第 $k+1$ 項以降の項が全て $0$ になることに注意)。
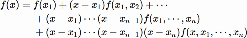
  一方、$(2.1)$ より、 $f(x)$ を
$$ \tag{6.2} $$ と表すことができるが、 これに $x=x_{k}$ を代入すると、
である。 したがって、
が成り立つ。
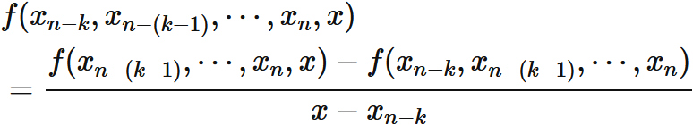
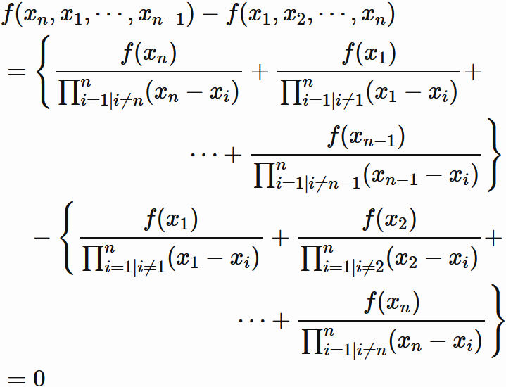
  続いて、 $x=x_{n}$ の場合を考察する。 差分商の定義を用いると、 剰余項は、
と表されるので、 $(6.2)$ は
と表される。 $x=x_{n}$ の場合は、
$$ \tag{6.3} $$ である。 ここで、 最後の項に含まれる
の部分を差分商の便利な表現を用いて表すと、
であることが分かるので、 $(6.3)$ 式は
と表される。 右辺は差分商補間公式 $f_{n-1}(x)$ の $x=x_{n}$ の場合に等しい。 すなわち、
が成立する。
 


まとめ
  以上から、 $k=1,2, \cdots, n-1, n$ において
が成り立つ。 したがって、 補間公式 $f_{n-1}(x)$ は $f(x)$ 上の点
を通る関数である (を参考)。

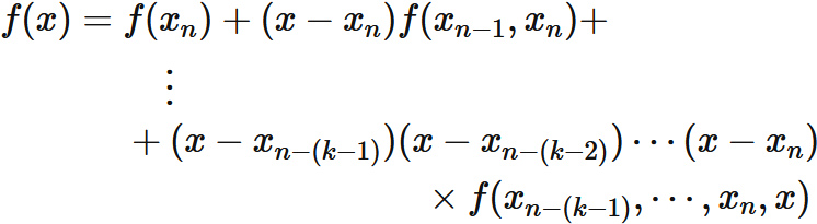
補間公式のもう一つの表現
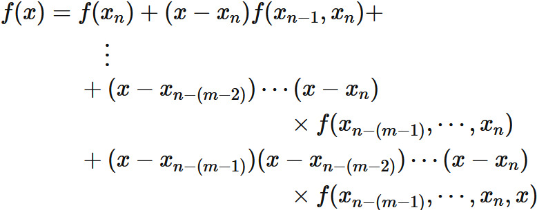
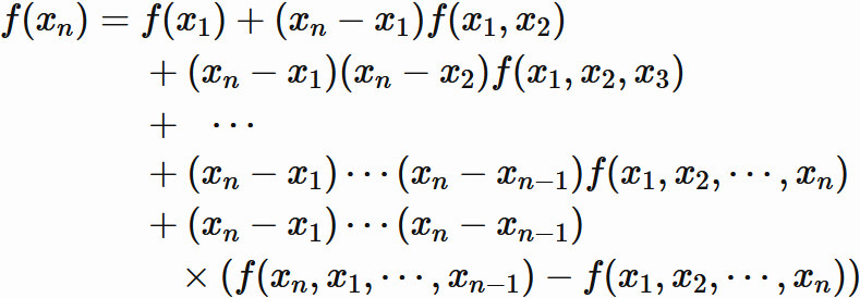
  $(2.1)$ と似たような表現として、 関数 $f(x)$ を
$$ \tag{7.1} $$ と表すことができることを証明する。

証明
  $(7.1)$ を証明するために、
$$ \tag{7.2} $$ が $m=1,2,\cdots, n$ に対して成立することを帰納法に従って証明する。
  $x_{n}$ と $x$ についての $1$ 階の差分商
を整理すると、
であるので、 $m=1$ の場合に $(7.2)$ は成立する。
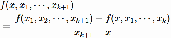
  $m=k$ の場合に、 $(7.2)$ が成立すると仮定する。 すなわち、
$$ \tag{7.3} $$ を仮定する。 このとき、 $x_{n-k}, x_{n-(k-1)}, \cdots, x_{n}, x$ に関する $k$ 階の差分商
を整理すると、
となるが、 これを $(7.3)$ に代入すると、
となる。 したがって、 $m=k+1$ の場合にも、 $(7.2)$ は成立する。
  以上から、帰納法にしたがって、 $m=1,2,\cdots, n$ に対して、 $(7.2)$ が成立することが示された。
  $(7.1)$ は $(7.2)$ の $m=n$ の場合である。 よって、 $(7.1)$ が成立する。(証明終わり)
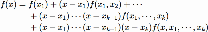
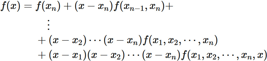
補足1:
  $(7,1)$ の最後の項は $x$ を含むので、 $f(x)$ が未知関数の場合には計算することができない。 そこで、 最後の項をを省いた関数を $\overline{f_{n-1}}(x)$ と表すと、 すなわち、
と表すと、 この関数は、$n$ 個の点
が与えられれば、$y_{i}=f(x_{i})$ と置くことによって計算することができる。 したがって、 $\overline{f_{n-1}}(x)$ は $f(x)$ の補間関数として用いられる (ニュートンの補間公式の別の形とみなせる)。
補足2:   2つの表現は同一の関数
  一見すると、 二つの公式 $f_{n}(x)$ と $\overline{f_{n-1}}(x)$ は、 異なる関数に見えるが、 実は同一の関数である。 なぜなら、 両者はともに $n$ 個の点
を通り (「補間公式はデータ点を通る」を参考)、 一般に 「 $n$ 個の点を通る $n-1$ 次関数は唯一つである」からである。