ラグランジュ補間の解説

ラグランジュ補間公式
  関数 $f(x)$ 上の $n+1$ 個の点
を通る $n$ 次関数 $p(x)$ は
ラグランジュの補間公式
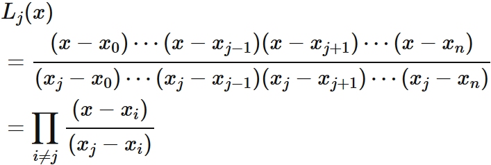
である。 ここで $L_{j}(x)$ は $n$ 次関数
であり、 $p(x)$ をラグランジュの補間公式 (Lagrange interpolation) という。

証明
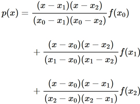
    関数 $f(x)$ を、 $f(x)$ 上の $n+1$ 個の点
$$ \tag{1} $$ を通る多項式 $p(x)$ を求める。 ただし
と並んでいるものとする。
  $(1)$ の点を通る $n$ 次多項式を $p(x)$ とすると、$p(x)$ は、
$$ \tag{2} $$ を満たす (図)。
ラグランジュ補間イメージ
  $p(x)$ を $n$ 次多項式 $L_{i}(x)$ $(i=0,1, \cdots,n)$ によって
$$ \tag{3} $$ と置く (この時点で $L_{i} (x)$ の具体的な形は定まっていない)。
  $p(x)$ が $(2)$ のうちの $p(x_{0}) = f(x_{0}) $ を満たすためには、 $x=x_{0}$ のときに、多項式 $L_{i}(x)$ が
を満たせばよい。
  同じように $p(x_{1}) = f(x_{1}) $ が満たされるためには $x=x_{1}$ のときに、多項式 $L_{i}(x)$ が
を満たせばよい。
  以下同様に考えると、 条件 $p(x_{j}) = f(x_{j})$ $(j=0,1,\cdots,n)$ が満たされるためには、 多項式 $L_{i} (x)$ が
$$ \tag{4} $$ を満たされればよいことが分かる。
  $(4)$ のうちの $L_{0} (x)$ に着目すると、 $i =1, 2, \cdots, n$ に対して、$L_{0}(x_{i}) = 0$ となっていることから、 因数定理によって、
と表すことができる。ここで $\alpha_{0} $ は定数であるが、 $L_{0}(x_{0}) = 1$ により、
と求まる。以上から、
を得る。
  同じように $L_{1} (x)$ に着目すると、 $i =0,2,3\cdots,n$ に対して $L_{1}(x_{i}) = 0$ であることから、 因数定理によって、
と表すことができる。ここで $\alpha_{1} $ は定数であるが、 $L_{1}(x_{1}) = 1$ により、
と求まる。以上から
を得る。
  同様の計算を繰り返すことにより、任意の $j = 0,1,\cdots, n$ に対して、多項式 $L_{j}(x)$ が
と求まる。 この式を総乗の記号 $\prod$ によって
$$ \tag{5} $$ と表される。
  以上から、$n+1$ 個の点 $(1)$ を通る $n$ 次多項式 $p(x)$ は $(5)$ によって定義される $n$ 次多項式 $L_{j}(x)$ によって、
と表される。この式が $(1)$ を通ること (すなわち $(2)$ を満たすこと) は、 $L_{j}(x)$ が $(4)$ を満たすことから明らかである。
  このように定義される多項式関数 $p(x)$ によって、 もとの関数 $f(x)$ を近似すること、 すなわち、
とすることをラグランジュ補間という。

ラグランジュの補間公式は、 関数 $f(x)$ を近似する多項式を求める公式であるが、 単に $n+1$ 個の与えられた点を通過する $n$ 次関数を導出する公式である。
例 1: 一次補間
  関数 $f(x)$ が二点
を通るとき、 これらの二点を通る一次関数 $p(x)$ をラグランジュの補間公式を用いて求める。
解答例
  二点
を通る一次関数 $p(x)$ を与えるラグランジュの補間公式は、
一次補間
である。 この例題では、
であるので、$p(x)$ は
である。

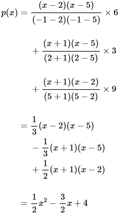
例 2: 二次補間
  関数 $f(x)$ が三点
を通るとき、 これらの三点を通る二次関数 $p(x)$ をラグランジュの補間公式を用いて求める。
解答例
  三点
を通る二次関数 $p(x)$ を与えるラグランジュの補間公式は、
である。 この例題では、
であるので、$p(x)$ は
である。

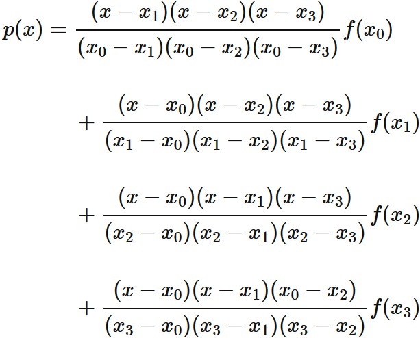
例 3: 三次補間
  関数 $f(x)$ が四点
を通るとき、 これらの四点を通る三次関数 $p(x)$ をラグランジュの補間公式を用いて求める。
解答例
  四点
を通る三次関数 $p(x)$ を与えるラグランジュの補間公式は、
である。 この例題では、
であるので、$p(x)$ は
である。

唯一つであること
  $n+1$ 個の異なる点
$$ \tag{1} $$ を通る $n$ 次関数
は、唯一つである。
  したがって、 $n+1$ 個の点 $(1)$ を通る $n$ 次多項式で ラグランジュの補間公式と異なる多項式は存在しない。
証明
 
  連立一次方程式を解く問題
  $n$ 次関数
が $n+1$ 個の異なる点
を通ることから、
$$ \tag{2} $$ が成立する。
  ここで、 $n+1$ 次行列 $X$ と $n+1$ 次ベクトル $\mathbf{a}$, $\mathbf{y}$ を
を定義すると、 $(2)$ は、
$$ \tag{3} $$ と表される。
  $(3)$ (または $(2)$) は、 $n+1$ 次の連立一次方程式である。
$X$ は正則行列
  $n$ 次関数 $f(x)$ が唯一つに定まるためには、 各係数 $a_{0}, a_{1}, \cdots, a_{n}$ が唯一つに定まればよい。 そのためには、 $n+1$ 次の連立一次方程式 $(2)$ の解 $\mathbf{a}$ が唯一つに定まればよい。

  ところで、 係数行列が正方行列である 連立一次方程式が 唯一つの解を持つための必要十分条件は、 係数行列が正則行列(逆行列を持つ行列)になっていることである 。 従って、 $(3)$ の係数行列 $X$ が正則行列であることが示されれば、 $(3)$ から唯一つの $\mathbf{a}$ が得られることを示したことになる。
  そこで、 係数行列 $X$ に着目すると、 転置行列
が、 ヴァンデルモンド行列になっている。 ヴァンデルモンド行列の行列式は、
であることが知られている。 ここで、 $\prod_{1 \leq i \lt j \leq n}$ とは、 $i \lt j$ となる全ての組み合わせについて $\left( x_{j}- x_{i} \right)$ を掛け合わせることを意味する。 具体的には、
と表される。
  今回の議論では全ての $x_{i}$ が異なる値であるので、 $i \neq j$ の場合には、 $x_{i} \neq x_{j}$ であるから、
である。 したがって、 転置行列の行列式がもとの行列の行列式に等しいことから、
である。
  行列式が $0$ でない行列は正則行列であるので、 $X$ は正則行列であることが示された。
結論
  以上のように、 連立一次方程式 $(3)$ は 係数行列 $X$ が正則行列であるので、 唯一つの解を持つ。 よって、 $(2)$ を解くと、 係数 $a_{0}, a_{1} \cdots, a_{n}$ が唯一つに定まるので、 $f(x)$ が唯一つに定まる。
  ゆえに、 $n+1$ 点を通る $n$ 次関数は唯一つに定まる。