ヴァンデルモンドの行列式  

ヴァンデルモンド行列式:   $2 \times 2$ の場合
  $2 \times 2$ の行列 $V_{2}$ を実数 $\lambda_{1}, \lambda_{2}$ によって次のように定義する。
2行2列のヴァンデルモンド行列
$V_{2}$ の行列式は
である。 $|V|$ を $2 \times 2$ のヴァンデルモンド行列式という。
証明
  $2 \times 2$ の行列式に従って計算すると、
である。

ヴァンデルモンド行列式:   $3 \times 3$ の場合
  $3 \times 3$ の行列 $V_{3}$ を実数 $\lambda_{1}, \lambda_{2}, \lambda_{3}$ によって次のように定義する。
3行3列のヴァンデルモンド行列
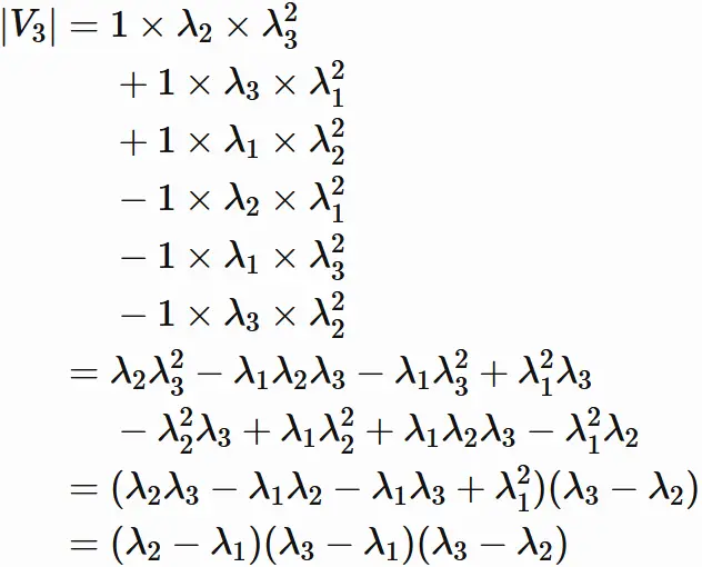
$V_{3}$ の行列式は
である。 $|V|$ を $3 \times 3$ のヴァンデルモンド行列式という。
証明
  $3 \times 3$ の行列式に従って計算すると、
である。

ヴァンデルモンド行列式:   一般論
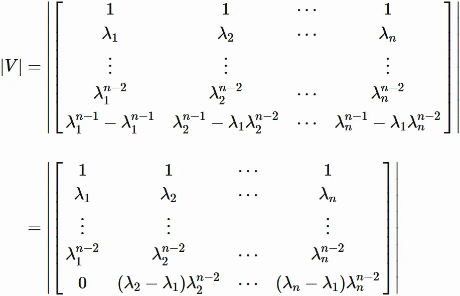
  $n$ 次正方行列 $V$ を実数 $\lambda_{1}, \lambda_{2}, \cdots, \lambda_{n}$ によって次のように定義する。
ヴァンデルモンドの行列
$V$ の行列式 $|V|$ をヴァンデルモンドの行列式 (Vandermonde determinant) という。 行列式の基本的な性質を用いて $|V|$ を求めると、
ヴァンデルモンドの行列式
である。 総乗の記号 $\prod$ によってまとめると、
ヴァンデルモンドの行列式 (総乗記号表現)
と表される。
証明
  一般に行列の各行に他の行の定数倍を加えても行列式の値は変わらない。 この性質を用いると、 行列
の $n-1$ 行の $\lambda_{1}$ 倍
を $V$ の $n$ 行から引いても $V$ の行列式の値は変わらない。
$$ \tag{3.1} $$ である。 同じように、 $(3.1)$ の右辺の $n-2$ 行
の $\lambda_{1}$ 倍
を $(3.1)$ の $n-1$ 行から引いても行列式は変わらないことから、
が示される。
  この操作を $1$ 列の $2$ 行の成分が $0$ になるまで繰り返すことにより、
を得る。 右辺の行列式は、$1$ 列の $2$ 行以降の成分がゼロである。 この場合の行列式の性質から 右辺の行列式は、 $2$ 行 $2$ 列より右下部分の部分行列の行列式に等しいことが分かる。 すなわち、
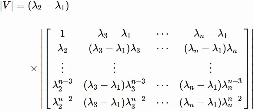
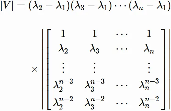
が成り立つ。 右辺の行列は $n-1$ 次行列である。 右辺の 1 列の全ての成分に $\lambda_{2}-\lambda_{1}$ が掛けられていることに着目すると、 行列式の性質から、 $1$ 列にある $\lambda_{2}-\lambda_{1}$ を行列式の外に出して、 次のように表すことができる。すなわち、
と表すことができる。
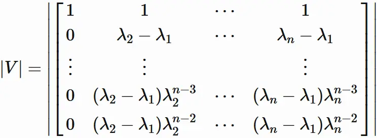
  同じようなことが $2$ 列目以降でも可能である。 すなわち、 $2$ 列目の $\lambda_{3}-\lambda_{1}$ を外に出し、 $3$ 列目の $\lambda_{4}-\lambda_{1}$ を外に出し、以下同様に操作を繰り返すと、
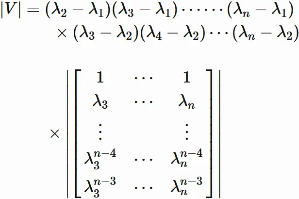
$$ \tag{3.2} $$ と表すことができる。
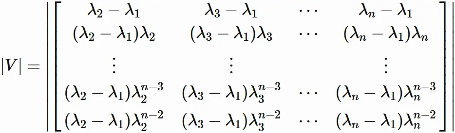
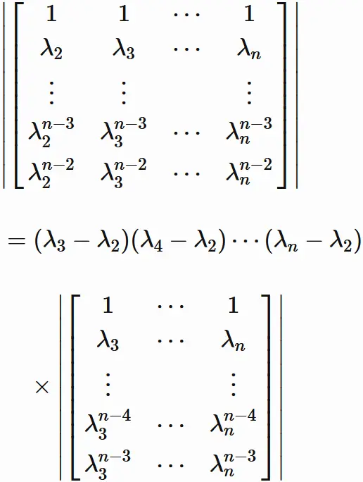
  この式の右辺に現れた行列式 は、 $ \lambda_{2}, \lambda_{3}, \cdots, \lambda_{n}$ に対する $n-1$ 次のヴァンデルモンド行列式である。よって、 $(3.2)$ は $n$ 次のヴァンデルモンド行列式と $n-1$ 次のヴァンデルモンド行列式を結ぶ関係式 (漸化式) になっている。 これを用いると、 次数の低いヴァンデルモンド行列式を順に導くことができる。 例えば、 上の $n-1$ 次のヴァンデルモンド行列式に対し、 $(3.2)$ を導出した議論を適用すると、 今度は $n-2$ 次のヴァンデルモンド行列式が現れる。 すなわち、
が成り立つ。 これと $(3.2)$ から、
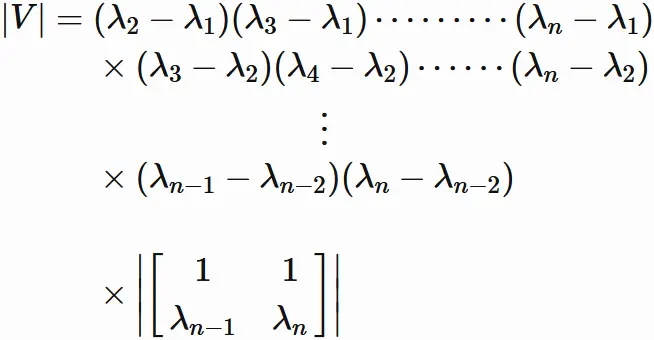
を得る。 右辺には、 $n-2$ 次のヴァンデルモンド行列式が現れているので、 それを $n-3$ 次のヴァンデルモンド行列によって表すことができる。 以下このような操作を $2$ 次のヴァンデルモンド行列式が現れるまで繰り返すと、
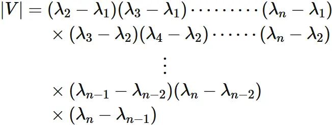
となる。 右辺の 2 次の行列式を計算すると、
が示される。 この式は、 総乗の記号 $\prod$ を用いると、
ヴァンデルモンドの行列式 (総乗記号表現)
とまとめて表すことができる。