台形公式とシンプソン公式

台形公式
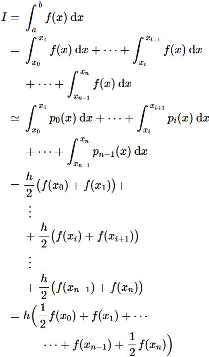
  積分
を台形公式によって近似すると、
台形公式
である。ここで $h=b-a$ とした。
解説
  積分
の被積分関数 $f(x)$ を $2$ 点
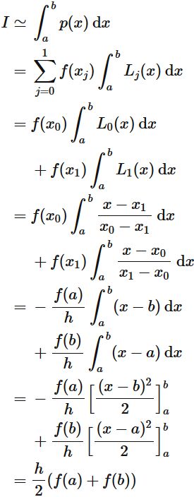
$$ \tag{1} $$ を通る直線で近似し、その積分によって $I$ の近似値を与える公式を台形公式という。 直線と積分区間によって囲まれた領域が台形になることにちなんで台形公式という名前が付いている(下図)。
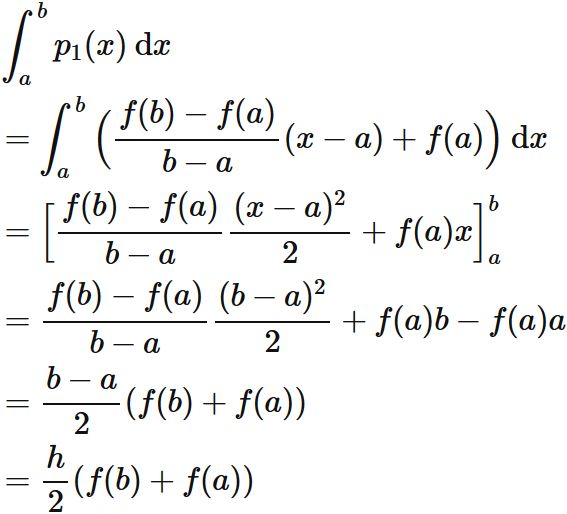
台形公式を求める。 $2$ 点 $(1)$ を通る直線を $p_{1}(x)$ とすると、
が成り立つ。 台形公式はこの直線を区間 $[a, b]$ に渡って積分すると得られる。 すなわち、
である。

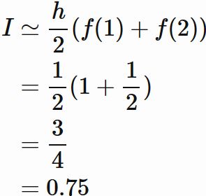
具体例: (台形公式)
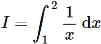
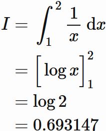
  積分
の近似値を台形公式によって求め、 真の値と比較せよ。

解答例
  $f(x) = \frac{1}{x}$ とすると、
であり、積分区間の幅 $h$ は、
であるので、 台形公式を用いると、
である。真の値は
であるので、両者違いの割合は、
である。
  なお、実際には本題のように値の求まる積分ではなく、 値の求まらない積分に対して公式が使われる。

シンプソン公式
  積分
をシンプソン公式によって近似すると、
シンプソンの公式
である。ここで
とした。
解説
  積分
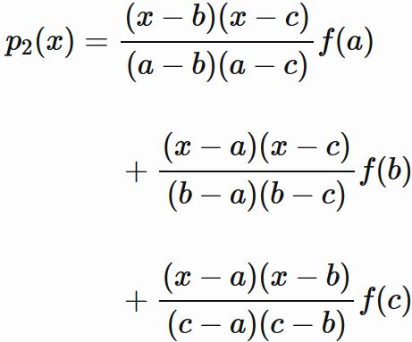
の被積分関数 $f(x)$ を $3$ 点
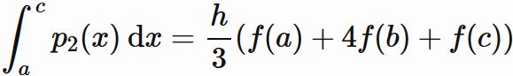
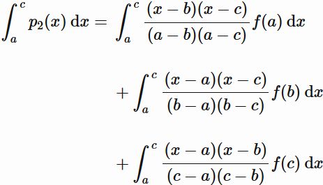
$$ \tag{1} $$ を通る二次関数で近似し、 その積分によって $I$ の近似値を与える公式をシンプソン公式という(下図)。
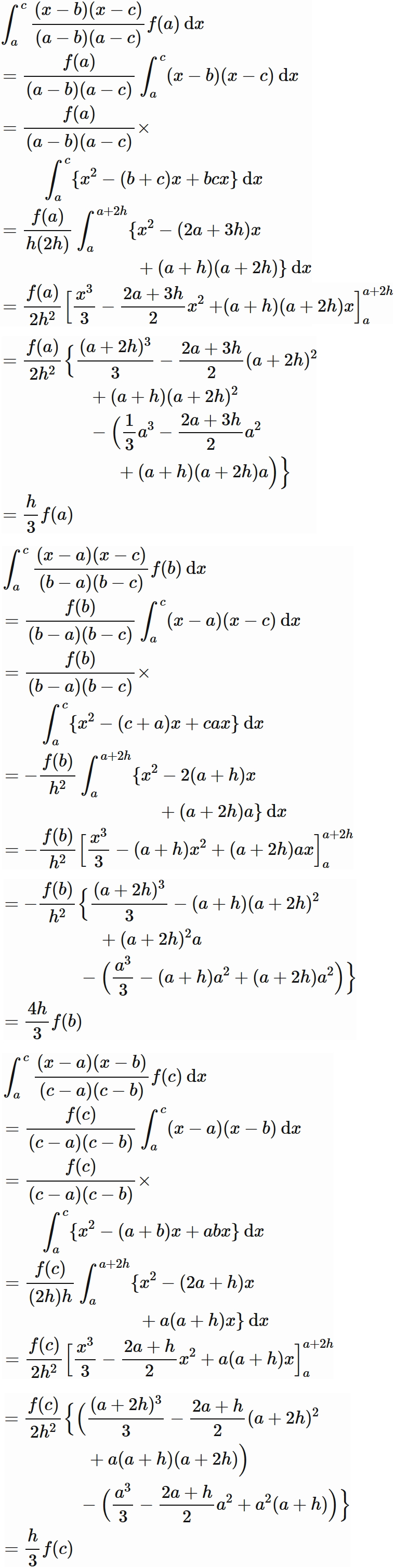
シンプソン公式を求める。 $3$ 点 $(1)$ を通る 二次関数を $p_{2}(x)$ とすると、 ラグランジュの補間公式によって、
である。 シンプソン公式はこの二次関数を区間 $[a, c]$ に渡って積分すると得られる。 すなわち、
$$ \tag{2} $$ を計算すれば得られる。
であるので、$c = a + 2h$ である。 これを用いて上記の積分を計算すると、
$$ \tag{3} $$ が得られる (計算の詳細は以下のボタンから閲覧可能)。

証明
  $(2)$ の各積分を計算すると、
であるので、
が成り立つ。


具体例: (シンプソン公式)
  積分
の近似値をシンプソン公式によって求め、 真の値と比較せよ。

解答例
  $f(x) = \frac{1}{x}$ とすると、
であり、積分区間の幅 $h$ は、
であるので、 シンプソン公式を用いると、
である。真の値は
であるので、違いの割合は、
である。 なお、実際には本題のように値の求まる積分ではなく、 値の求まらない積分に対して公式が使われる。

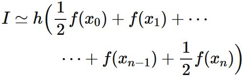
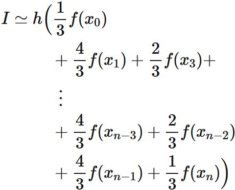
合成台形公式
  積分
の積分区間を $n$ 個に等分割して得られる各小区間に対して、 台形公式を適用して得られる以下の公式
合成台形公式・台形積分
合成台形公式 (または台形積分)という。ここで
である。
解説
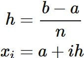
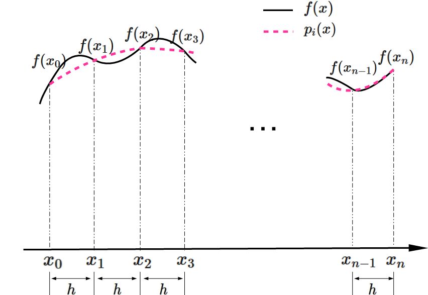
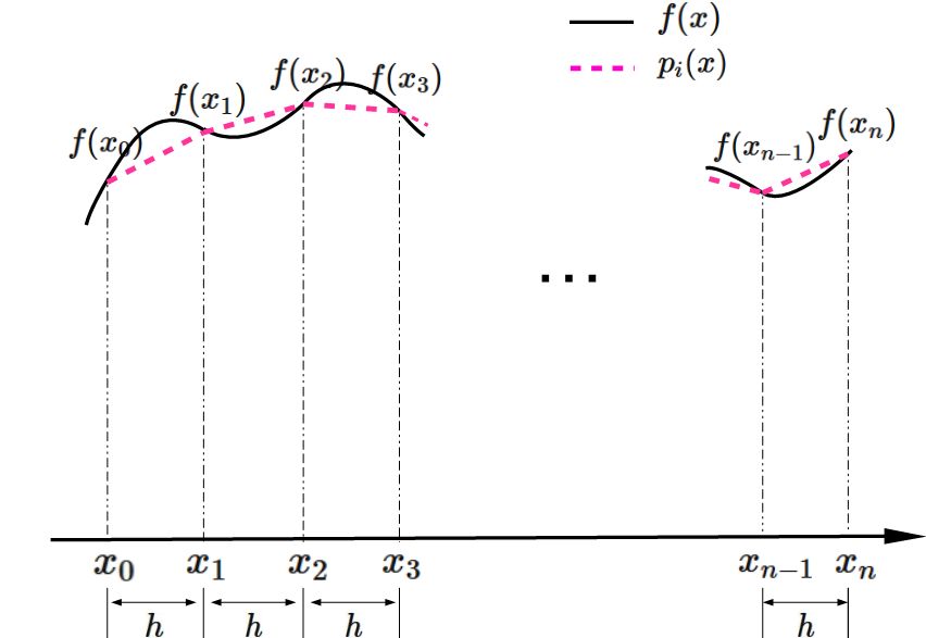
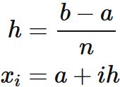
  積分区間 $[ a,\hspace{1mm} b]$ を $n$ 個の小区間に等分割し、 各小区間に対して、台形公式を適用し、 積分 $I$ の近似値を求める。
  各区間の幅 $h$ は
である。ここで
とすると、 各 $x_{i}$ は小区間の境界である。
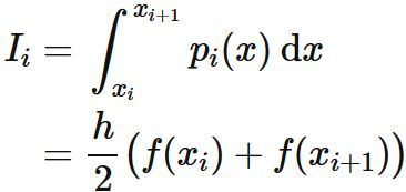
積分 $I$ を 小区間 $[ x_{i}, \hspace{1mm} x_{i+1}]$ に分割し、 それぞれの小区間の積分を近似する台形公式を $I_{i}$ とすると、
である。ここで $p_{i}(x)$ は二点
を通る直線である。
  これより、 積分 $I$ を各区間に分割し、 それぞれ対して台形公式による近似を行うと、
である。 最後の式は、 被積分関数 $f(x)$ の各 $x_{i}$ における値 (すなわち $f(x_{i})$) さえ分かれば、 積分 $I$ の近似値求められることを表している。

合成シンプソン公式
  積分
の積分区間を偶数 $n$ 個に等分割して、 連なる $2$ 個ずつの各小区間に対してシンプソン公式を適用して得られる以下の公式
合成シンプソン公式・シンプソン積分
合成シンプソン公式 (またはシンプソン積分)という。ここで
である。
解説
  積分区間 $[ a,\hspace{1mm} b]$ を偶数 $n$ 個の小区間に等分割し、 連なる $2$ 個ずつの小区間に対して、 シンプソン公式を適用し、 積分 $I$ の近似値を求める。
  各区間の幅 $h$ は
である。ここで
とすると、 各 $x_{i}$ は小区間の境界である。
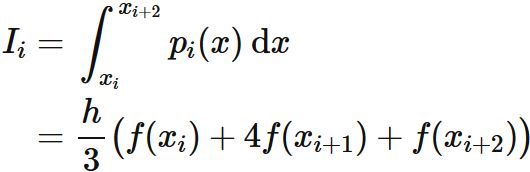
積分 $I$ を 小区間 $[ x_{i}, \hspace{1mm} x_{i+1}]$ と $[ x_{i+1}, \hspace{1mm} x_{i+2}]$ を合わせた区間 $[ x_{i}, \hspace{1mm} x_{i+2}]$ に分割し、 この区間の積分を近似する台形公式を $I_{i}$ とすると、
である。ここで $p_{i}(x)$ は $3$ 点
を通る二次関数である。
  これより、 積分 $I$ を分割し、 それぞれ対してシンプソン公式による近似を行うと、
である。 最後の式は被積分関数 $f(x)$ の各 $x_{i}$ における値 (すなわち $f(x_{i})$) さえ分かれば、 積分 $I$ の近似値求められることを表している。

ニュートン・コーツの公式
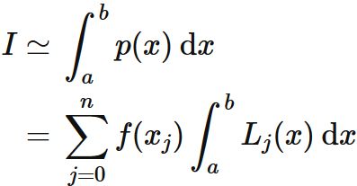
  積分
の被積分関数 $f(x)$ を積分区間内の $n+1$ 個の点を通る $n$ 次関数 $p(x)$ で近似し、 $I$ の近似値を求める公式
ニュートン・コーツの公式
ニュートン・コーツの公式という。 ここで、$L_{j}(x)$ は $n$ 次関数
ニュートン・コーツの公式
であり、
ニュートン・コーツの公式
である。
  ニュートン・コーツの公式の公式の $n=1$ の場合が台形公式であり、 $n=2$ の場合がシンプソンの公式である。
解説
  積分
ニュートン・コーツの公式
の被積分関数 $f(x)$ を $n+1$ 点
ニュートン・コーツの公式
$$ \tag{1} $$ を通る $n$ 次関数で近似し、 その積分によって $I$ の近似値を与える公式をニュートン・コーツ公式という(下図)。 ニュートン・コーツ公式を求める。
  $n+1$ 点を通る $n$ 次関数 $p_{x}$ はラグランジュの補間によって、
である。 ここで $L_{j}(x)$ は $n$ 次関数
である。 これより、
とニュートン・コーツの公式が求まる。
  $n=1$ の場合、
台形公式が求まる。 同じように $n=2$ の場合にはシンプソンの公式が求まる。