剰余定理・因数定理・組立除法

多項式の商と余り
  $f(x)$ を $n$ 次多項式
n次多項式
とする。 このとき、任意の数 $c$ に対して
多項式の商と余り
を満たす $n-1$ 次多項式 $g(x)$ と数 $r$ が存在する。 $g(x)$ のことを、$f(x)$ を $x-c$ で割ったときのといい、 $r$ をその余りという。
証明
  $n$ 次多項式
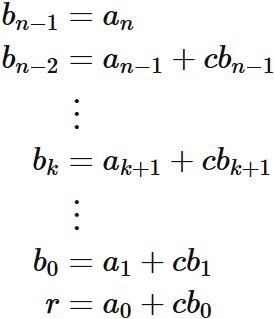
$$ \tag{1.1} $$ の係数 $ a_{k} $ $(k=0,1,2,\cdots, n)$ によって、 係数 $ b_{k} $ $(k=0,1,2,\cdots, n-1)$ と数 $r$ を
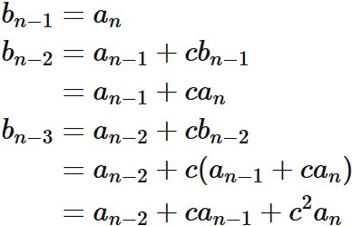
$$ \tag{1.2} $$ と定義する。 $ b_{k} $ は $k=n-1$ の場合から順に $ a_{k} $ によって一意に定義されたことになる。 例えば、
というように $a_{k}$ によって定義されている。 その $ b_{k} $ を用いて、$n-1$ 次多項式 $g(x)$ を
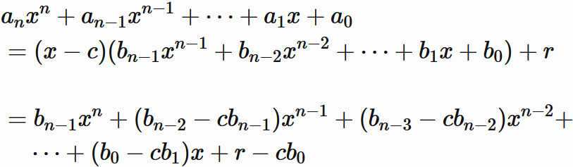
と定義すると、 $(1.1)$ と $(1.2)$ から
が成り立つ。 したがって、任意の $n$ 次多項式 $f(x)$ には 任意の数 $c$ に対して
を満たす $n-1$ 次多項式 $g(x)$ と数 $r$ が存在する。 係数 $b_{i} $ は組立除法の係数に用いられる。

具体例: (商と余り)
  多項式
と表せる。 したがって、$f(x)$ を $x-2$ で割ったときのは $x^2-4x+3$ であり、 余りは $4$ である。
組立除法
  多項式に対する組み立て除法 (synthetic division) とは、 $n$ 次多項式 $f(x)$ を $x-c$ で割ったときの商 $g(x)$ と余り $r$ を求める方法である。 すなわち、
組み立て除法
を満たす $n-1$ 次方程式 $g(x)$ と定数 $r$ を導出する方法である。
解説
  $n$ 次式 $f(x)$ が
$$ \tag{3.1} $$ であるとする。 また、 $n$ 次多項式 $f(x)$ を $x-c$ で割った商 を $g(x)$、余りを $r$ とする。 すなわち、
$$ \tag{3.2} $$ とする。 $g(x)$ は $n-1$ 次式であるので、
$$ \tag{3.3} $$ と置く (商と余りを参考)。 $(3.1)$ と $(3.3)$ を $(3.2)$ に代入すると
と表される。 この式が任意の $x$ に対して成り立つので、 両辺の係数は等しい。 すなわち、
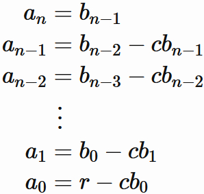
$$ \tag{3.4} $$ が成り立つ。 第 $1$ 式によって $b_{n-1}$ が求まる。 $b_{n-1}$ が求まったことにより、 第 $2$ 式
によって、$b_{n-2}$ が求まる。このように繰り返して行くと、 第 $n$ 式
によって、$b_{0}$ が求まる。 $b_{0}$ が求まったことによって、最後の第 $n+1$ 式
によって、余り $r$ が求まる。
  $b_{i}$ が求まったので、 $(3.3)$ から $g(x)$ が求められる。 このように商 $g(x)$ と余り $r$ を求める方法を組立除法という。

組み立て除法の例題
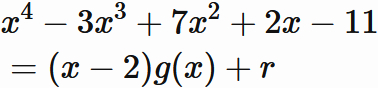
  多項式
組み立て除法の例
を $x-2$ で割ったときの商と余りを 組立除法によって求めよ。
解説
  $f(x)$ を $x-2$ で割ったときの商を $g(x)$ とし、余りを $r$ とする。すなわち、
とする。 $g(x)$ を
と置き、 右辺を展開すると、
である。 この関係が任意の $x$ について成立するので、 両辺の係数は等しい。すなわち、
が成立する。一番上の式から順に解くことにより、
が得られる。 これより、商 $g(x)$ と余り $r$ は
である。

補足: 組み立て除法の解の一意性
  組立除法によって、商と余りは一意に求まる。
証明
  組立除法で導いた係数の関係 $(3.4)$
は、 ベクトルと行列によって
と表すことが出来る。 この式は、
と置くと、
$$ \tag{5.1} $$ と表される。 $A$ は下三角行列であるので、 行列式は対角成分の積に等しい。 したがって
である。 $A$ の行列式が $0$ ではないことから、 $A$ には逆行列が存在するので、
と表せる。
  したがって、$\mathbf{g}$ は $A$ と $\mathbf{f}$ によって一意に求まる。 $\mathbf{g}$ が一意に求まれば、 $b_{i}$ と $r$ が求まるので、 商 $g(x)$ と 余り $r$ が一意に求まる ($(3.3)$ を参考)。 すなわち、 組立除法によって、 商と余りが一意に求まる。

剰余定理
  多項式 $f(x)$ を $(x-c)$ で割った余りは $f(c)$ である。
証明
  $f(x)$ を $n$ 次多項式とする。 このとき、 任意の数 $c$ に対して
が成り立つ $n-1$ 次多項式 $g(x)$ と数 $r$ が存在する (多項式と余りを参考)。
  これより、
である。 すなわち、 $f(x)$ を $(x-c)$ で割ったときの余りは $f(c)$ である。

具体例: (剰余定理)
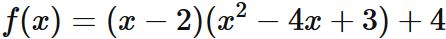
  多項式
であるので、 剰余定理により、$f(x)$ を $(x-2)$ で割った余りは $4$ である。
  実際、$f(x)$ は
と表せるので、 $(x-2)$ で割った余りが $4$ になる多項式である。
因数定理
  多項式 $f(x)$ が $(x-c)$ で割り切れる (余りが $0$ になる) ための必要十分条件は、 $f(c)=0$ である。
証明
  $f(x)$ を $n$ 次多項式とする。 このとき、 任意の数 $c$ に対して
$$ \tag{8.1} $$ を満たす $n-1$ 次多項式 $g(x)$ と数 $r$ が存在する。
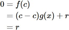
  まず $f(c)=0$ と仮定すると、 $(8.1)$ から
が成り立つので、$r=0$ である。 したがって、$f(x)$ は $(x-c)$ で割り切れる。
  逆に、$f(x)$ が $(x-c)$ で割り切れると仮定する。 すなわち、
と表せると仮定する。 すると、ただちに
である。
  以上から、 $f(x)$ が $(x-c)$ で割り切れるための必要十分条件は $f(c)=0$ である。

具体例: (因数定理)
  多項式
であるので、 因数定理により、 $f(x)$ を $x-2$ で割り切れる (余りが $0$ ) 多項式である。
  実際 $f(x)$ は、
と表せるので、余りは $0$ である。
多項式の因数分解 : (因数定理の応用)
  任意の $n$ 次多項式は、 複素数 $\lambda_{i}$ $(i=0,1,\cdots,n)$ によって
と表せる ($C$ は定数)。
証明
  任意の $n$ 次方程式には必ず複素数の範囲に解が存在する (代数学の基本定理)。 その解を $\lambda_{1}$ とする。すなわち、
とする。これより因数定理によって、 $f(x)$ を
$$ \tag{10.1} $$ と表せる。 ここで $f_{1}(x)$ は $n-1$ 次多項式である。 代数学の基本定理によると、 $f_{1}(x)$ にも必ず複素数の範囲に解が存在するので、 その解を $\lambda_{2}$ とする。すなわち、
とする。 これより因数定理によって、 $f_{1}(x)$ を
と表せる。 ここで $f_{2}(x)$ は $n-2$ 次多項式である。 これを $(10.1)$ に代入すると、
と表せる。
  このような操作を繰り返すと、
という形になる。 ここで $f_{n-1}(x)$ は一次多項式である。 これを
と置くと、
と表される。
  この形を以って代数学の基本定理と呼ぶこともある。