上三角行列/下三角行列の性質

上三角行列
  $n \times n $ の正方行列 $A$ の各成分を $a_{ij}$ と表すとき、
を満たす行列を上三角行列という。 行列で表すと、対角成分よりも下側の成分が $0$ である次のような形行列になる。
具体例: (上三角)
  以下の行列は上三角行列である。
  以下の行列は上三角行列ではない。
下三角行列
  $n \times n $ の正方行列 $A$ の各成分を $a_{ij}$ と表すとき、
を満たす行列を下三角行列という。 行列で表すと、対角成分よりも上側の成分が $0$ である次のような形行列になる。
具体例: (下三角)
  以下の行列は下三角行列である。
  以下の行列は下三角行列ではない。
上三角行列の積
  上三角行列同士の積は上三角行列になる。 しかも対角成分が個々の上三角行列の対角成分の積になる。 すなわち、
のとき、
の形の行列になる。

証明
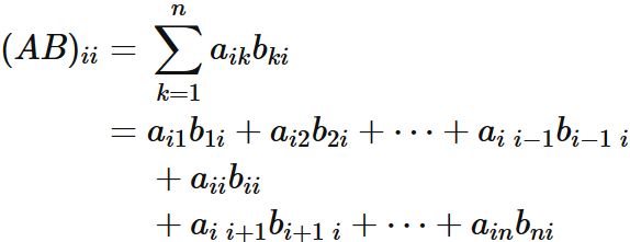
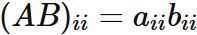
  行列 $A$ と $B$ を上三角行列とする。 行列 $AB$ の $i$ 行 $j$ 列成分 $AB_{ij}$ は、 行列の積の定義から
であるが、 $A$ が上三角行列であるので、
であり、 $B$ も上三角行列であるので、
である。 ゆえに、$ i>j $ の場合に
であるので、 $AB$ もまた上三角行列である。
  同じように
と表すと、 $A$ が上三角行列であるので、
であり、 $B$ も上三角行列であるので、
であるので、
である。 したがって、 $A$ と $B$ が上三角行列のとき、 $AB$ の対角成分は $A$ の対角成分と $B$ の対角成分の積に等しい。

下三角行列の積
  下三角行列同士の積は下三角行列になる。 しかも対角成分が個々の下三角行列の対角成分の積になる。 すなわち、
のとき、
の形の行列になる。

証明
  行列 $A$ と $B$ を下三角行列とする。 行列 $AB$ の $i$ 行 $j$ 列成分 $AB_{ij}$ は、 行列の積の定義から
であるが、 $B$ が下三角行列であるので、
であり、 $A$ も下三角行列であるので、
である。ゆえに $ i \lt j $ の場合に、
であるので、 $AB$ は下三角行列である。
  同じように
と表すと、 $A$ が下三角行列であるので、
であり、 $B$ も下三角行列であるので、
であるので、
である。 したがって、 $A$ と $B$ が下三角行列のとき、 $AB$ の対角成分は $A$ の対角成分と $B$ の対角成分の積に等しい。

上三角行列の行列式
  上三角行列の行列式は対角成分の積に等しい。すなわち
上三角行列の行列式
が成り立つ。

証明
  $A$ を $n \times n$ の上三角行列
とする。
  この行列の $1$ 列めの列ベクトルは、 第 $2$ 成分より下の成分が全て $0$ になっている (四角で囲った部分)。 このような行列の行列式は、 $1$ 行 $1$ 列の成分 (すなわち $a_{11}$) と、 もとの行列から $1$ 行と $1$ 列を取り除いた小行列の行列式の積に等しいことが知られている。 これより、
が成り立つ。
  上の式の右辺に現れた行列式は、 再び $1$ 列めの列ベクトルの第 $2$ 成分以降が $0$ になっている。 したがって同じように、
が成り立つ。 以上から
である。
  以下同様の考察を繰り返すと、
となる。
  したがって、 上三角行列 $A$ の行列式は対角成分の積に等しい。
補足:
  余因子展開を用いて同様の証明を行うことも可能であるが、 本サイトでは余因子展開を証明するときに、 $1$ 列めの列ベクトルの第 $2$ 成分以降が $0$ である行列式の性質を用いているので、 こちらを用いた。

下三角行列の行列式
  下三角行列の行列式は対角成分の積に等しい。すなわち
下三角行列の行列式
が成り立つ。

証明
  $A$ を $n \times n$ の下三角行列
とする。 転置行列の行列式の性質から、
が成立する。
  右辺は、 上三角行列の行列式であるので、 対角成分の積に等しい。 よって、
である 。
  以上から、
を得る。 すなわち、 下三角行列 $A$ の行列式は対角成分の積に等しい。

上三角行列の逆行列
  上三角行列
の逆行列 $A^{-1}$ は、 対角成分が $A$ の対角成分の逆数に等しい上三角行列である。 すなわち、
上三角行列の逆行列
の形をした行列である。

証明
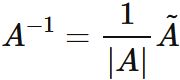
  $A$ の余因子行列を $\tilde{A}$ とすると、 $A$ の逆行列 $A^{-1}$ は余因子行列を行列式で割ったものに等しい。 すなわち、
$$ \tag{1} $$ が成り立つ (証明は余因子行列と行列式の関係を参考)。
  余因子行列の $i$ 行 $j$ 列成分 $\tilde{A}_{ij}$ は
$$ \tag{2} $$ と定義される。 ここで、$M_{ji}$ は 行列 $A$ から $j$ 行と $i$ 列を取り除いた小行列
であり、$|M_{ji}|$ は $M_{ji}$ の行列式である ($(2)$ では $a_{ij}$ と $|M_{ji}|$ の添え字が逆になっていることに注意)。
  行列 $A$ が上三角行列である場合に、 余因子行列 $\tilde{A}$ の下三角の部分を考える。 すなわち、$i > j$ の場合の $\tilde{A}_{ij}$ を考える。 $\tilde{A}_{ij}$ は $A$ から $j$ 行と $i$ 列を取り除いた小行列 $ M_{ji} $ によって $(2)$ のように定義されるが、 $A$ が上三角行列
である場合には、 $ M_{ji} $ は対角成分に 必ず $0$ が現れる次のような形の上三角行列になる。
四角で囲った部分が 値が $0$ の対角成分である。 このことは、$5$ 行 $5$ 列などの例で確かめると分かり易い。 例えば 以下の上三角行列
から $2$ 行 と $4$ 列を取り除いた小行列 $M_{24}$ は、
であり、 対角成分に $0$ が現れる上三角行列になる。
  このように、 行列 $A$ が上三角行列であり、 なおかつ $i > j$ の場合には、 小行列 $M_{ji}$ が $0$ の対角成分を持つ上三角行列になる。 したがって、 上三角行列の行列式の性質から、 $M_{ji}$ の行列式は、
である。ここで $M_{ji}$ の対角成分を $(M_{ji})_{kk}$ のように表し、 その中のどれかが $0$ であることを用いた。
  これと $(2)$ から
であるので、 $(1)$ から、
である。 ここで $A^{-1}$ の $i$ 行 $j$ 列成分を $(A^{-1})_{ij}$ と表した。
  以上から、 $A$ が上三角行列である場合、 $A$ の逆行列 $A^{-1}$ の下三角部分にある成分 ($i>j$ の成分)は $0$ であること示された。 ゆえに、 $A^{-1}$ は上三角行列である。
  そこで $A^{-1}$ を
と置くと、 上三角行列の積の性質から、
であるので、対角成分において
が成り立つ。 これより、$A^{-1}$ は
と表される行列である。 すなわち、$A^{-1}$ は対角成分が $A$ の対角成分の逆数に等しい上三角行列である。

下三角行列の逆行列
  下三角行列
の逆行列 $A^{-1}$ は、 対角成分が $A$ の対角成分の逆数に等しい下三角行列である。 すなわち、
下三角行列の逆行列
の形をした行列である。

証明
  上三角行列の逆行列と同様。

上三角行列の固有値
  上三角行列
の固有値 $\lambda$ は $A$ の対角成分のいずれかに等しい。

証明
  $A$ の固有値を $\lambda$ とすると、 $\lambda$ は固有方程式
$$ \tag{1} $$ の解である。 ここで $\lambda I - A$ は
の形をした上三角行列であるので、 上三角行列の行列式の性質により
である。これより $(1)$ は
と表されるので、
である。すなわち、上三角行列 $A$ の固有値は $A$ の対角成分のいずれかである。

下三角行列の固有値
  下三角行列
の固有値 $\lambda$ は、 $A$ の対角成分のいずれかに等しい。

証明
  上三角行列の固有値と同様。