行列の三角化

行列の三角化1 (正則行列)
  任意の正方行列 $A$ は三角化可能である。 すなわち、
行列の三角化
を満たす上三角行列 $\Lambda$ と正則行列 $P$ が存在する。 また、$\Lambda$ の対角成分は $A$ の固有値である。

証明
  $A$ を $n \times n$ の正方行列とし、 数学的帰納法を用いて証明する。
  $n=2$ の場合を考える。 すなわち、任意の $2 \times 2$ の正方行列 $A$ が三角化可能であることを証明する。
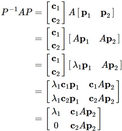
  $A$ の固有値の一つを $\lambda_{1}$ とし、 固有ベクトルを $\mathbf{p}_{1}$ と表す。
$$ \tag{1} $$ 一般に任意のベクトルを含む基底が存在するので、 $A$ の作用する $2$ 次元ベクトル空間には $\mathbf{p}_{1}$ を含む基底が存在する。 それを $\{\mathbf{p}_{1}, \mathbf{p}_{2} \}$ と表すと、 $ \mathbf{p}_{1}$ と $\mathbf{p}_{2}$ が線形独立であることから、 これらを列ベクトルとして持つ $2 \times 2$ の行列
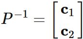
は、正則行列である (正則行列$\Longleftrightarrow$列が線形独立を参考)。 したがって、 $P$ には逆行列 $P^{-1}$ が存在する。 $P^{-1}$ の行ベクトルを $ \mathbf{c}_{1}, \mathbf{c}_{2}$ とすると、
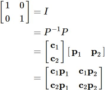
と表されるが、 $P^{-1}P=I$ ($I$ は単位行列) であることから、
であるので、
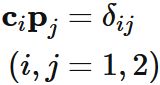
$$ \tag{2} $$ が成り立つ。ここで、$\delta_{ij}$ はクロネッカーのデルタである。 以上の $(1)$ と $(2)$ から
$$ \tag{3} $$ が成り立つ。
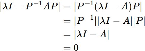
  ところで、行列の積の行列式の性質を用いると、
であり、 $A$ の固有値を $\lambda$ と表すと、 $\lambda$ は固有方程式
の解である。 これらから、
が成り立つが、 この式は $(3)$ を用いると、
と表される。 左辺は $2 \times 2$ の行列の行列式 であるので、
を得る。 これより、
である。すなわち、$A$ の固有値は $\lambda_{1}$ と $\mathbf{c}_{2} A \mathbf{p}_{2}$ である。 したがって、 $(3)$ 式の右辺の対角成分はともに $A$ の固有値である。 そこで、
と定義すると以下の結論を得る。 すなわち、 任意の $2 \times 2$ の行列 $A$ には、
を満たす正則行列 $P$ と 対角成分が $A$ の固有値に等しい上三角行列 $\Lambda$ が存在する。

  続いて $(k-1) \times (k-1)$ の任意の正方行列が三角化可能であることを仮定し、 $k \times k$ の任意の正方行列が三角化可能であることを証明する (以下では、便宜上 $n=2$の場合のこれまでの議論と同じ記号($A$ や $P$ など)を用いる)。
  任意の $k \times k$ の正方行列 $A$ の固有値の一つを $\lambda_{1}$ とし、 固有ベクトルを $\mathbf{p}_{1}$ と表す。
$$ \tag{4} $$ 一般に任意のベクトルを含む基底が存在するので、 $A$ の作用する $k$ 次元ベクトル空間には $\mathbf{p}_{1}$ を含む基底が存在する。 それを $\{\mathbf{p}_{1}, \mathbf{p}_{2}, \cdots, \mathbf{p}_{k} \}$ と表すと、 これらは互いに線形独立であるので、 これらを列ベクトルとして持つ $k \times k$ の行列
は、正則行列である (正則行列$\Longleftrightarrow$列が線形独立を参考)。 したがって、 $P$ には逆行列 $P^{-1}$ が存在する。 $P^{-1}$ の行ベクトルを $ \mathbf{c}_{1}, \mathbf{c}_{2}, \cdots, \mathbf{c}_{k}$ とすると、
と表されるが、 $P^{-1}_{k}P_{k}=I$ ($I$ は単位行列) であることから、
であるので、
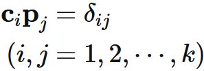
$$ \tag{5} $$ が成り立つ。 ここで、$\delta_{ij}$ はクロネッカーのデルタである。 以上の $(4)$ と $(5)$ から
$$ \tag{6} $$ が成り立つ。 ここで右辺の右下部分の $(k-1) \times (k-1)$ 行列を
とすると、$(6)$ は
$$ \tag{7} $$ と表される。ここで点線は見易くするための便宜上のものに過ぎない。また $*$ はどんな値であってもよいことを表している。
  帰納法の仮定より $\overline{A}_{k-1}$ には
$$ \tag{8} $$ を満たす正則行列 $\overline{P}_{k-1}$ と上三角行列 $\overline{\Lambda}_{k-1} $ が存在する。 $\overline{P}_{k-1}$ を用いて $k \times k$ 行列 $\tilde{P}_{k}$ を
$$ \tag{9} $$ と定義すると、 $\tilde{P}_{k}$ には逆行列
$$ \tag{10} $$ が存在する ($ \tilde{P}_{k}^{-1} \tilde{P}_{k} = \tilde{P}_{k} \tilde{P}_{k}^{-1} = I$ が成り立つ)。
  以上の $(7)$ $(8)$ $(9)$ $(10)$ により、
$$ \tag{11} $$ が成り立つ。 ここで、右辺に現れた行列を
と定義し、$P_{k}$ を
と定義すると、 $(11)$ は、
と表される。
  $ \overline{\Lambda}_{k-1} $ が $(k-1) \times (k-1)$ 次の上三角行列であることから、 $\Lambda_{k} $ は $k \times k$ の上三角行列である。 一方で、$P'_{k}$ と $\tilde{P}_{k}$ が正則行列であることから、 $P_{k}$ もまた正則行列である (逆行列の積を参考)。 したがって、 上式は $A_{k}$ が正則行列によって三角化可能であることを表す式である。
  以上のように、 $(k-1) \times (k-1)$ の任意の行列が三角化可能であることを仮定し、 $k \times k$ の任意の行列 が三角化可能であることが示されたので、 帰納法により、任意の $n \times n$ の行列 $A$ は三角化可能である。 すなわち、
$$ \tag{12} $$ を満たす上三角行列 $\Lambda$ と正則行列 $P$ が存在する。

  最後に、 三角化された行列の対角成分がもとの行列 $A$ の固有値であることを証明する。 $\Lambda$ は上三角行列であるので、
$$ \tag{13} $$ と置く。
  $P$ は正則行列であるので、 行列の積の行列式の性質を用いると、
が成り立つ。 $A$ の固有値を $\lambda$ と表すと、 $\lambda$ は固有方程式
の解である。 $(12)$ とこれらから、
が成り立つ。 上式は $(13)$ を用いると、
と表される。 上三角行列の行列式が対角行列の積に等しいことを用いると、 \begin{eqnarray} (\lambda - \lambda_{1} ) (\lambda - l_{2}) \cdots (\lambda - l_{n}) = 0 \end{eqnarray} である。 これより、 \begin{eqnarray} \lambda = \lambda_{1}, \hspace{1mm} l_{2}, \cdots, l_{n} \end{eqnarray} である。すなわち、$A$ を三角化した行列 $\Lambda$ の対角成分は $A$ の固有値に等しい。

行列の三角化2 (ユニタリー行列)
  任意の正方行列 $A$ はユニタリー行列によって三角化可能である。 すなわち、
ユニタリー行列による三角化
を満たす上三角行列 $\Lambda$ とユニタリー行列 $U$ が存在する。

証明
  任意の正方行列 $A$ は正則行列によって三角化可能である。 すなわち、
$$ \tag{1} $$ を満たす上三角行列 $\Gamma$ と正則行列 $P$ が存在する (行列の三角化(正則行列)を参考)。 $P^{-1}$ が正則行列なので 上三角行列とユニタリー行列の積に分解可能である (QR分解の証明を参考) 。 すなわち、
を満たすユニタリー行列 $U$ と上三角行列 $L$ が存在する。 これと積の逆行列の性質およびユニタリー行列の逆行列の性質から
である。 これらを $(1)$ に代入すると、
であるが、 これより、
が成り立つ。
  ここで、 $L \Gamma L^{-1}$ は上三角行列の積であるので、 上三角行列である。そこで、
と置くと、$\Lambda$ は上三角行列であり、
が成り立つ。 このように、 任意の正方行列 $A$ には上式を満たす上三角行列 $\Lambda$ とユニタリー行列 $U$ が存在する。

行列のSchur分解
  任意の正方行列 $A$ はユニタリー行列 $V$ と上三角行列 $\Lambda$ によって
と分解できる。 これを行列の シューア分解 (Schur decomposition) という。

証明
  任意の正方行列 $A$ には
を満たす上三角行列 $\Lambda$ とユニタリー行列 $P$ が存在する ((行列の三角化(ユニタリー行列)を参考)。 これより、
であるが、 $U^{\dagger}$ もユニタリー行列であるので、 $ U^{\dagger} = V $ とすると、
である。 このように 任意の正方行列 $A$ はユニタリー行列 $V$ と上三角行列 $\Lambda$ によって分解されうる