ケーリー・ハミルトンの定理

ケーリー・ハミルトンの定理
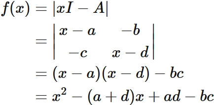
  行列 $A$ の固有多項式を \begin{eqnarray} f(x) = |xI - A| \end{eqnarray} とし、$f(x)$ の行列多項式を $f(A)$ と表す。 このとき、 \begin{eqnarray} f(A) = O \end{eqnarray} が成り立つ ($O$ は全ての成分が $0$ の行列)。 これをケーリー・ハミルトンの定理(Cayley–Hamilton theorem)という。
証明
  $A$ に対する固有多項式 $f(x)$ は、 $A$ の固有値
によって
と因数分解できる (固有多項式の因数分解を参考)。 ここで $C$ は定数である。 これより、 行列多項式 $f(A)$ は
である。 ところで、 任意の正方行列は三角化可能であるので、 行列 $A$ には、
$$ \tag{1} $$ を満たす上三角行列 $T$ と正則行列 $P$ が存在する。 このとき、$T$ の対角成分には $A$ の固有値が並ぶ 。 すなわち、$T$ は
$$ \tag{2} $$ の形をした行列である。
  $P$ が正則行列であること ($PP^{-1} = I$) と $(1)$ を用いると、
が成り立つ。
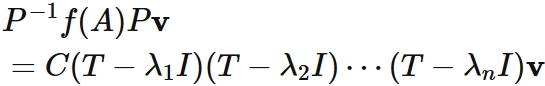
  これより、任意のベクトル
に $P^{-1}f(A)P$ を作用すると、
であるが、 この中の $( T -\lambda_{n}I) \mathbf{v}$ の部分が $(2)$ より、
と、第 $n$ 成分が $0$ のベクトルになるので、
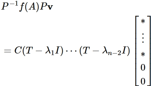
である。同じように右辺の最後の部分が $(2)$ より、
と、第 $n-1$ 成分と第 $n$ 成分が $0$ のベクトルになる。 これより、
である。
  以下同様に繰り返すと、
を得る。 $\mathbf{v}$ は任意のベクトルであるので、
が成り立つ ($O$ は全ての成分が $0$ の行列)。 これより、 .
である。

例:   $2 \times 2$ の行列の場合
  行列
には、
が成り立つ。
解答
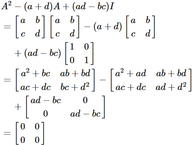
  $A$ に対する固有多項式は、
である。 したがって、 ケーリー・ハミルトンの定理により、 $f(A) = O$ が成り立つ。すなわち、
が成り立つ。
  実際に、計算してみると、
である。