行列多項式とフロベニウスの定理

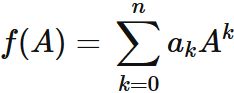
行列多項式
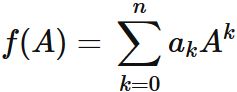
  $f(x)$ を多項式
とするとき、 正方行列 $A$ に対する行列多項式 $f(A)$ は
行列多項式
と定義される。ここで $A^{0}=I$ ($I$ は単位行列) とした。
具体例: (行列多項式計算)
  $f(x)$ が多項式
であるとき、 正方行列
に対する行列多項式 $f(A)$ は
行列多項式の計算例
である。
補助定理
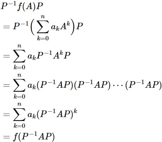
  $f(A)$ を正方行列 $A$ に対する行列多項式とすると、 任意の正則行列 $P$ に対して
が成り立つ。
証明
  $f(A)$ が行列多項式であるので、
と置く。 $P$ が正則行列であるので、
が成り立つことを用いると、
を得る。

フロベニウスの定理
  $n$ 次正方行列 $A$ の固有値を
とするとき、 行列多項式 $f(A)$ の固有値は、
フロベニウスの定理
である。 これをフロベニウスの定理 (Frobenius theorem) という。
証明
  任意の正方行列は三角化可能であるので、 $A$ には
フロベニウスの定理
を満たす正則行列 $P$ と、 対角成分が $A$ の固有値に等しい 上三角行列 $\Lambda$ が存在する。 $\Lambda$ を
フロベニウスの定理
と表す。ここで $\lambda_{1}, \lambda_{2},\cdots, \lambda_{n}$ は $A$ の固有値である。 また $f(A)$ を
と表す。これらと補助定理から
$$ \tag{1} $$ が成り立つ。ここで5個目の等号では上三角行列の積の性質を用いた。
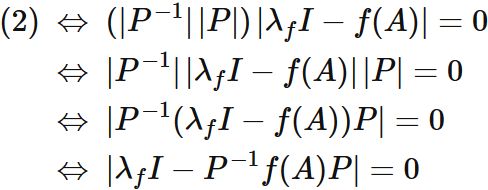
  $\lambda_{f}$ を $f(A)$ の固有値とすると、 $\lambda_{f}$ は固有方程式
$$ \tag{2} $$ の解である。ここで $I$ は単位行列である。 $P$ は正則行列であるので、
であり、 $|I|=1$ であることから、 積の行列式の性質により、
が成り立つことを用いると、 積の行列式の性質から、
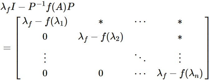
$$ \tag{3} $$ が成り立つ。 $(1)$ から
であるので、 上三角行列の行列式の性質により、
である。 これより、 $(3)$ は
と表されるので、
である。すなわち、$A$ の固有値が $\lambda_{i}$ であるとき、 $f(A)$ の固有値は $f(\lambda_{i})$ である。

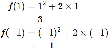
具体例: (固有値の導出)
  行列 $A$ が
であるとき、 フロベニウスの定理を用いて $f(A)$ は
の固有値を求める。
解答例
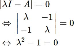
  $A$ の固有値 $\lambda$ は、固有方程式
の解であるから、
である。 したがって、 フロベニウスの定理から
の固有値は $f(+1)$ と $f(-1)$ である。 具体的には
である。


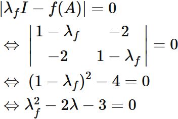
確認
  $f(A)$ の固有値を固有方程式から求めてみる。
であるので(行列多項式の計算例)、 固有方程式は、
である。 これより、
であるので、 フロベニウスの定理から求めた結果と一致する。