行列の積の行列式

  正方行列 $A$ と $B$ の積 $AB$ の行列式は、 それぞれの行列の行列式の積に等しい。すなわち、
行列の積の行列式
が成立する。

  証明

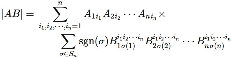
  $A$,$B$ を $n$ 次正方行列とする。 行列式の定義から、 積 $AB$ の行列式は、
である。 ここで $\sigma(\cdot)$ は置換であり、$S_{n}$ は置換集合である ( 詳しくは行列式の定義を参考 )。
  この式は、 積 $AB$ を成分で表すことによって、
と表せる。
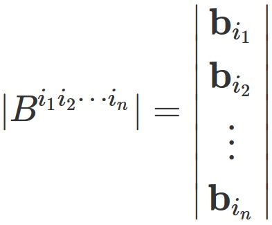
  ここで $n$ 次正方行列 $B^{i_{1} i_{2}\cdots i_{n}}$ を
と定義する。 $j$ 行 $k$ 列成分を表すと、
である。 これを用いると、 $(1)$ は
と表せる。
  ここで行列式の定義から、 右辺の $\sum_{\sigma \in S_{n}} \mathrm{sgn}(\sigma) (\cdots) $ の部分は、 $B^{i_{1} i_{2}\cdots i_{n}}$ の行列式に等しいことが分かる。
したがって、
と表せる。
  $i_{1}, i_{2}, \cdots ,i_{n}$ のいずれかが等しい場合 (例えば $i_{1}=i_{2}$ の場合)、 行列 $B^{i_{1} i_{2}\cdots i_{n}}$ は同一の行ベクトルを持つ行列になる。 一般に同一の行ベクトルを持つ行列の行列式は 0 であるから、$(2)$ 式の各項において $i_{1}, i_{2},\cdots, i_{n}$ のうちどれか一つでも同じものがある場合には、
である。
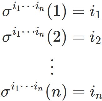
  よって、$(2)$ 式の総和には $i_{1}, i_{2},\cdots, i_{n}$ が全て異なる項だけが残る。 この場合 $i_{1}, i_{2},\cdots, i_{n}$ が $1,2,\cdots, n$ の順番の入れ替えによって表せるので、
を満たす置換 $\sigma^{i_{1}\cdots i_{n}}$ が存在する (例えば、 $\sigma^{i_{1} \cdots i_{n}}(1)=i_{1}$ は、 $1$ を $i_{1}$ にする写像、 $\sigma^{i_{1} \cdots i_{n}}(2)=i_{2}$ は、 $2$ を $i_{2}$ にする写像、 等々)。 これより $|AB|$ は、
と表せる。
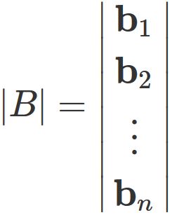
  ここで行列 $B^{i_{1} i_{2}\cdots i_{n}}$ の各行ベクトルを
と定義すると、 $B^{i_{1} i_{2}\cdots i_{n}}$ の行列式は、
と表せるが、 $\mathbf{b}_{i_{k}} $ は行列 $B$ の $i_{k}$ 番目の行ベクトルでもある。 また $i_{1}, \cdots, i_{n}$ のそれぞれは、 $1, \cdots, n$ のうちのどれか一つと一対一に対応する ( その対応関係が $\sigma^{i_{i} \cdots i_{n}}$ である) 。 ゆえに、 $B^{i_{1} i_{2}\cdots i_{n}}$ の行列式は、 $B$ の行列式
の行ベクトルを入れ替えたものであることが分かる。
  一般に行ベクトルを入れ替えた行列の行列式は、 入れ替えが奇数回の場合には、 もとの行列式と符号だけ異なり、偶数回の場合には、もとの行列式に等しい。 よって、 $|B^{i_{1} i_{2}\cdots i_{n}}|$ が $B$ の行ベクトルを偶数回の入れ替えたものである場合には、 $|B^{i_{1} i_{2}\cdots i_{n}}| = |B|$ であり、 奇数回の入れ替えたものである場合には、 $|B^{i_{1} i_{2}\cdots i_{n}}| = -|B|$ である。 したがって、 $(3)$ の総和を偶数回の入れ替えと奇数回の入れ替えに分けると、
と表せる。 ここで
とは、 $1,2,\cdots,n$ を偶数回入れ替えて得られる数 $i_{1}, i_{2},\cdots i_{n}$ に対する総和を表す。 奇数についても同様である。
  上の第一項において、$\sigma^{i_{1}\cdots i_{n}}$ は、 $1,2,\cdots,n$ を偶数回入れ替えて $i_{1}, i_{2},\cdots i_{n}$ にする写像であるので、 偶置換である。 一方で第二項においては、 $1,2,\cdots,n$ を奇数回入れ替えて $i_{1}, i_{2},\cdots i_{n}$ にする写像であるので、 奇置換である。 ゆえに上の式は、
と表せる。
  定義より置換符号は $\sigma'$ が偶置換の場合 $\mathrm{sgn}(\sigma')=1$、 奇置換の場合 $\mathrm{sgn}(\sigma')=-1$ である。 したがって 上の式は
とまとめられる。
  ここで、 右辺の $\sum_{\sigma' \in S_{n}} \cdots$ の部分は $A$ の行列式そのものである ( 行列式の定義を参考 )。 ゆえに、
を得る。