単位行列の性質と公式 ~ 証明付 ~

単位行列の定義
  対角成分が $1$ で、それ以外の成分が $0$ である正方行列を単位行列という。 すなわち、$n \times n$ の行列 $I$ が
単位行列の定義
を満たすとき、$I$ を単位行列という。
具体例
  2行2列の場合の単位行列 $I_{2}$ は、
である。3行3列の場合の単位行列 $I_{3}$ は、
単位行列の例
である。4行4列の場合の単位行列 $I_{4}$ は、
である。

ベクトルとの積
  単位行列 $I$ をベクトル $\mathbf{x}$ に掛けても、 ベクトルは変化しない。すなわち、
単位行列とベクトルとの積
が任意のベクトルに対して成立する。
  この性質を単位行列の定義としてもよい。 具体例を以下に記す。一般的な証明はこちら
具体例
  2次元ベクトルを
と表すと、 2行2列の単位行列 $I_{2}$ が
であるので、 行列の積の定義から、
が成り立つ。 同じように、 3次元ベクトルを
と表すと、 3行3列の単位行列 $I_{3}$ が
であるので、 行列の積の定義から、
が成り立つ。

行列との積
  行列の左右から単位行列を掛けても、その行列は変わらない。 すなわち、
単位行列と行列との積
が成り立つ。
具体例
  2行2列の行列を
と表すと、 2行2列の単位行列 $I_{2}$ が
であるので、 行列の積の定義から、
が成り立つ。 同じように、 3行3列の行列を
と表すと、 3行3列の単位行列 $I_{3}$ が
であるので、 行列の積の定義から、
が成り立つ。

単位行列の行列式
  単位行列の行列式は 1 に等しい。 すなわち
単位行列の行列式
が成り立つ。
証明
  単位行列
対角行列であるので、行列式が対角成分の積に等しい。 したがって、

単位行列の逆行列など
  単位行列の逆行列は単位行列である。 すなわち、
単位行列の逆行列
が成り立つ。
証明
  単位行列の積の性質により、
が成り立つ。 したがって、
である (逆行列の定義を参考)。

  単位行列は逆行列を持つので、 正則行列である。 他にも単位行列は以下の行列でもある。

単位行列の固有値/固有ベクトル
  単位行列固有値は $1$ であり、 固有ベクトルは任意のベクトルである。 なぜなら、単位行列をベクトルに掛けても、そのベクトルが変わらないからである。 すなわち、 任意のベクトル $\mathbf{x}$ に対して、
単位行列の固有値
が成り立つからである。
クロネッカーのデルタによる表現
  単位行列の定義
クロネッカーのデルタの定義
を比べると分かるように、 単位行列の各成分は、
と表される。 この表現を用いると、 単位行列とベクトルの積の性質
と、単位行列と行列の積の性質
は、以下のように証明される。
証明
  $I^{(n)}$ を $n \times n$ の単位行列とし、 $\mathbf{x}$ を $n$ 次のベクトルとする。 このとき、 行列の積の定義より、
が $(i=1,2,\cdot, n)$ に対して成り立つ。 したがって、$I \mathbf{x}=\mathbf{x}$ である。
  同じように、$A$ を任意の $n \times m$ の行列とすると、
が成り立つ ($n \times n$ の単位行列と $m \times m$ の単位行列をともに $I$ と表していることに注意)。 したがって、$IA = AI = A$ である。

正規直交基底による表現
  $n$ 次元ベクトル空間上の単位行列 $I$ は、 任意の正規直交基底
によって、
と表される。ここで $T$ は転置を表す記号である。
証明
  $n$ 次元ベクトル空間上の単位行列 $I$ とは、対角成分が $1$ で、 その他の成分が $0$ の $n$ 次正方行列である。
基本ベクトル $\mathbf{e}_{i}$ $(i=1,2,\cdots,n)$ を
と定義すると、 これらは、
を満たすため、 正規直交基底を成す。 ここで $(\cdot, \cdot)$ は内積(ドット積)を表す記号である。 また、 単位行列 $I$ は、
$$ \tag{1} $$ と表される。
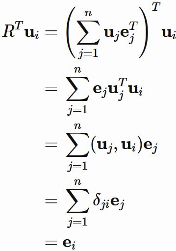
  ここで、任意の正規直交基底 $\mathbf{u}_{i}$ $(i=1,2,\cdots,n)$ によって、 行列 $R$ を
$$ \tag{2} $$ と定義する。 $\mathbf{u}_{i}$ は正規直交基底であるので、
$$ \tag{3} $$ を満たす。 これと $(1)$ と積の転置の性質により、
である。 これより、
$$ \tag{4} $$ も成り立つ (証明は 「直交行列は片方のみで定義できる」を参考)。
  $(2)$ と $(3)$ より、
$$ \tag{5} $$ が成立することから、$(1)$ と $(5)$ と転置行列の積の性質から
が成立する。 これと $(4)$ から、
が成立する。すなわち、 単位行列は任意の正規直交基底によって表される。


  この関係を $\mathbf{u}_{i}$ が完全系を成すと呼ぶこともある。