エルミート行列の性質

エルミート行列の定義
  正方行列 $H$ の随伴行列 $H^{\dagger}$ が $H$ 自身に等しいとき、 すなわち、
エルミート行列の定義
を満たすとき、 $H$ をエルミート行列という。
例:
  次の2つの行列
はエルミート行列である。
  随伴行列の定義に従って確かめてみると、
が成り立つ。
固有値が実数
  エルミート行列 $H$ の固有値 $\lambda$ は実数である。 すなわち
エルミート行列の固有値が実数
を満たす。
証明
  任意の正方行列には固有値と固有ベクトルが存在するので、 $n \times n$ のエルミート行列 $H$ にも固有値と固有ベクトルが存在する。 そこで $H$ の固有値 $\lambda$ の固有ベクトルを $\mathbf{u} $ と表すと、
が成り立つ。
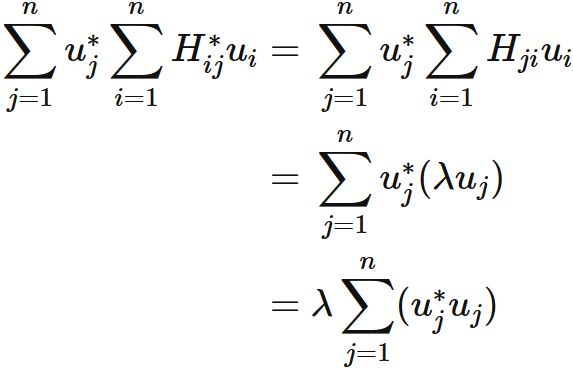
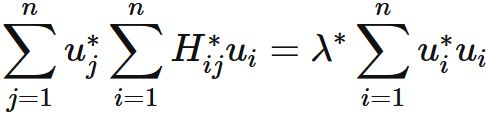
  行列 $H$ と 固有ベクトル $\mathbf{u}$ を成分によって、
と表し、 $(1)$ を成分ごとに表すと、
である ($i=1,2,\cdots,n$)。 これより、
が成り立つ ( $*$ は複素共役) ので、
である。 これを用いると、
が成り立つ。書き直すと、
である。
  ここで左辺に着目し、 $H^{\dagger} = H$ ( 各成分で $H_{ij}^{*} = H_{ji}$ ) であることと、 $(1)$ を用いると、
が成り立つ。 これより、
である。 書き直すと、
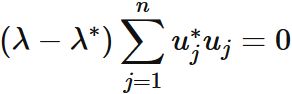
である。
  ここで和の部分は、$\mathbf{u}$ のノルムの二乗に等しい。 すなわち、
であるので、
である。 この式と、 $\mathbf{u} \neq 0$ により $\| \mathbf{u} \|^{2}\neq 0$ であることから、
である。したがって、 $ \lambda^{*} = \lambda $ を得る。 すなわち、 エルミート行列 $H$ の固有値 $\lambda$ は実数である。

異なる固有値の固有ベクトルが直交
  エルミート行列 $H$ の異なる二つの固有値 $\lambda_{i}$ と $\lambda_{j}$ の固有ベクトルをそれぞれ $\mathbf{u}_{i}$ と $\mathbf{u}_{j}$とする。 このとき、
異なる固有値の固有ベクトルが直交
が成り立つ。 すなわち、 異なる固有値を持つ固有ベクトルは直交する。
証明
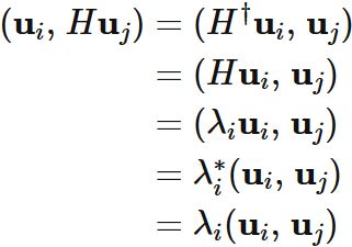
  エルミート行列 $H$ の異なる二つの固有値 $\lambda_{i}$ と $\lambda_{j}$ の固有ベクトルをそれぞれ $\mathbf{u}_{i}$ と $\mathbf{u}_{j}$とする。
内積と随伴行列の関係を用いると、 $H$ がエルミート行列であることから、
が成り立つ。 ここで四番目の等号では、複素内積の反線形性
を用いた。 また五番目の等号では固有値が実数であることを用いた。 一方で内積 $(\mathbf{u}_{i}, \hspace{0.5mm} H\mathbf{u}_{j}) $ は、
と表せる。ここでは、複素内積の線形性
を用いた。
  以上から、
が成り立つ。書き直すと、
である。 $\lambda_{i} \neq \lambda_{j}$ であるので、
異なる固有値の固有ベクトルが直交
である。 すなわち、 固有値の異なる固有ベクトルは直交する。

ユニタリー行列によって対角化可能
  任意のエルミート行列 $H$ は、 ユニタリー行列によって対角化可能である。 すなわち、
エルミート行列はユニタリー行列によって対角化可能
を満たす対角行列 $\Lambda$ とユニタリー行列 $U$ が存在する。

証明
  $n \times n$ のエルミート行列 $H$ がユニタリー行列によって対角化可能であることを数学的帰納法によって証明する。
$n=1$ の場合
  $n=1$ の場合は、 どんな行列も対角行列であるため明らかである。
$n=k$ の場合
  $k-1 \times k-1$ のエルミート行列が対角化可能であることを仮定し、 $k \times k$ のエルミート行列 $H$ が対角化可能であることを示す。
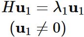
  $H$ の固有値を $\lambda_{1}$ とし、 大きさ $1$ の固有ベクトルを $\mathbf{u}_{1}$ とする。すなわち、
とする。 一般に $0$ でない任意のベクトルを含むように正規直交基底を構成することができることから、 $\mathbf{u}_{1}$ を含む正規直交基底が存在し、 それを
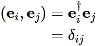
と表す。 正規直交基底を成すことから、
が成り立つ。 ここで $i,j = 1,2,\cdots,k$ であり、 $\delta_{ij}$ はクロネッカーのデルタ
である。 また内積を
と定義した ( $\mathbf{u}_{i}^{\dagger}$ は $\mathbf{u}_{i}$ の随伴 )。
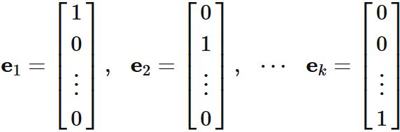
  また、 基本ベクトル $\mathbf{e}_{1}$, $\mathbf{e}_{2}$, $\cdots$, $\mathbf{e}_{k}$ を
と定義すると、 これらも正規直交基底を成す。 すなわち、
が成り立つ。
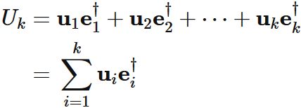
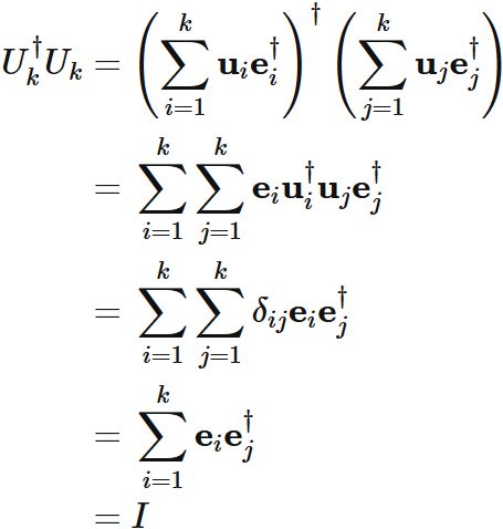
  これらを用いて行列 $U_{k}$ を
と定義すると、 積の随伴行列の性質から
が示される。ここで $I$ は単位行列である。 これより $ U_{k} U_{k}^{\dagger} = I $ も示されるので (ユニタリー行列は片側で定義可能を参考 )、
が成り立つ。 すなわち、 $U_{k}$ はユニタリー行列である。 また $U_{k}$ の定義から
が成り立つ。 ここで $i=1,2,\cdots, k$ である。
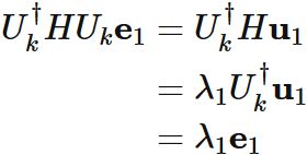
  これらの関係によって、
が成り立つ。 したがって、 基本ベクトル $\mathbf{e}_{1}$ は $U_{k}^{\dagger} H U_{k}$ の固有値 $\lambda_{1}$ の固有ベクトルである。
  このことと $\mathbf{e}_{1}$ が
であることから、 行列 $U_{k}^{\dagger} A U_{k}$ は、 次の形を持つ行列でなくてはならない。
すなわち、1 列の 2 行以降の成分が全て $0$ でなくてはならない。
  ところで、 $H$ がエルミート行列であることから、 積の転置行列の性質により、
が成立する。よって、$U_{k}^{\dagger} H U_{k}$ もまたエルミート行列である。 この事から $U_{k}^{\dagger} H U_{k}$ は、 次の形を持つ行列でなくてはならないことが分かる。
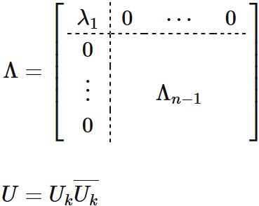
ここで、
の部分は、$k-1$ 次正方行列であり、 $U_{k}^{\dagger} H U_{k}$ がエルミート行列であることから、 この部分もまたエルミート行列である。 そこで、この部分を $H_{k-1}$ と置くと、
と表され、$H_{k-1}^{\dagger} = H_{k-1}$ が成立する。 ここで点線は、便宜上のものに過ぎない。
  帰納法の仮定により、 任意の $k-1$ 次のエルミート行列が対角化可能であるとしたので、 $H_{k-1}$ は対角化可能である。 すなわち、
を満たす $k-1$ 次のユニタリー行列 $U_{k-1}$ と対角行列 $\Lambda_{k-1}$ が存在する。 この $U_{k-1}$ を使って、
を定義すると、
が成り立つので、 $\overline{U_{k}}$ はユニタリー行列であり、 これによって、
が成り立つ。この式は、 行列 $\Lambda$ と $U$ を
と定義すると、
と表されるが、 $\Lambda_{k-1}$ が $k-1$ 次の対角行列であることから、 $\Lambda$ は $k$ 次対角行列であり、 $U_{k} $ と $\overline{U_{k}}$ がユニタリー行列であることから、 $U$ もまたユニタリー行列である (ユニタリー行列の積を参考)。 したがって、 上式は $k \times k$ 次のエルミート行列 $H$ がユニタリー行列 $U$ によって対角化されることを表す式である。

  以上より、 帰納法によって、エルミート行列がユニタリー行列によって対角化可能であることが示された。

固有ベクトルが正規直交基底
  任意のエルミート行列 $H$ の固有ベクトルによって 正規直交基底を構成することが出来る。
証明
  $n \times n$ の行列 $H$ の固有値を $\lambda$ とし、 $\lambda$ を固有値とする固有ベクトルを $\mathbf{u}$ と表す。
これより、
が成り立つが、 これは $0$ ベクトルでない解を持つ同次連立一次方程式である。 一般に 同次連立一次方程式が $0$ ベクトル以外の解を持つことと、 係数行列の行列式 $0$ であることは同値であるので、 係数行列 $\lambda I - H$ の行列式は $0$ である。 すなわち、
が成り立つ。 ここで $I$ は単位行列ある。 これを $H$ の特性方程式 (charasteristic equation) という。
  この特性方程式は $n$ 次方程式であるので、 代数学の基本定理によって複素数の範囲で $n$ 個の解を持つ。 それらを
とすると、 因数定理により特性方程式を
と表せる。
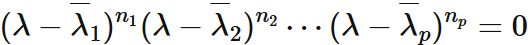
  解 $ \lambda_{1}, \cdots, \lambda_{n} $ が $p$ 通りの異なる値を持つとし(下の補足を参考)、 それらを $\overline{\lambda}_{1} \cdots \overline{\lambda}_{p}$ と表すことにする。 また、各 $\overline{\lambda}_{i}$ の重複度を $n_{i}$ とすることにする。 こうすると、 特性方程式を
と表すことが出来る。 このとき、 重複度の合計は解の総数 $n$ に等しいので、
が成り立つ(下の補足を参考)。
  ところで、 $H$ はエルミート行列であるので、 対角化可能であり、 対角化可能な行列の各固有値の固有空間の次元は、 その固有値の重複度に等しい。 すなわち、 $\overline{\lambda}_{i}$ の固有空間を $E_{\overline{\lambda}_{i}}$ と表すと、
が成り立つ。 これは固有値 $\overline{\lambda}_{i}$ を持つ任意の固有ベクトル $\overline{\mathbf{u}}_{i}$ が、 $E_{\overline{\lambda}_{i}}$ に属する $n_{i}$ 個の線形独立なベクトル
の線形結合によって表せることを意味する。すなわち、
と表せることを意味する。 ここで $c_{\overline{\lambda}_{i}, 1}, c_{\overline{\lambda}_{2}, 2} \cdots c_{\overline{\lambda}_{i}, n_{i}}$ は、 線形結合の係数である。
  $ \mathbf{t}_{\overline{\lambda}_{i}, 1}, \cdots, \mathbf{t}_{\overline{\lambda}_{i}, n_{i}} $ は 互いに独立なベクトルであるので、 グラムシュミットの直交化法によって、 互いに直交する大きさ $1$ のベクトル
を生成することができる。 ここで $\delta_{jk}$ はクロネッカーのデルタである。
  グラムシュミットの方法によると、 各 $ \mathbf{v}_{\overline{\lambda}_{i}, j}$ は $ \mathbf{t}_{\overline{\lambda}_{i}, 1} , \cdots, \mathbf{t}_{\overline{\lambda}_{i}, n_{i}} $ の線形結合によって定義されるので、 固有空間 $E_{\overline{\lambda}_{i}}$ に属する。 各固有空間ごとに並べると、
であるが、
であるので、 同じ固有値に属するもの同士は直交する。 また、$H$ がエルミート行列であることから、 異なる固有値に属する固有ベクトルもまた直交する。 すなわち、
が成り立つ。 したがって、 表1 に表されているベクトルは互いに直交し合う固有ベクトルである。
  ところで、 表1 に表されているベクトルの総数 は、
であるが、 $(1)$ より、これは $n$ に等しい。 したがって、 表1 に表されているベクトルは $n$ 個の互いに直交し合う固有ベクトルである。
  また、 これらはグラムシュミットの方法によって生成されたベクトルであるので、 大きさ $1$ のベクトルである。 したがって、 表1 に表されているベクトルは $n$ 個の互いに直交し合う大きさ$1$ の固有ベクトルである。
  $n$ 次元ベクトル空間の中の $n$ 個の互いに直交する大きさ $1$ のベクトルは、 そのベクトル空間の正規直交基底を成す。 したがって、 表1 に表されているベクトルは正規直交基底である。 以上から、 $H$ の固有ベクトルによって構成される正規直交基底が存在することが示された。
補足
  特性方程式が $7$ 次方程式であり、 解が
である場合、 この解の中には、 $1,4,-2,3$ の $4$ 通りの異なる値がある。
  因数定理によって特性方程式は、
と表すことができ、 解 $1$ と $-2$ が重解であり、 $4$ と $3$ が重解ではない。 また、 解 $1,4,-2,3$ の重複度はそれぞれ $2,1,3,1$ である (重複度とは同じ値の解の個数)。
  重複度の合計は、
となり、解の総数と一致する。

$B^{\dagger}B$ はエルミート行列
  任意の正方行列 $B$ によって、
を定義すると、 $H$ はエルミート行列である。
証明
  任意の正方行列 $B$ によって、、
を定義すると、 随伴行列の性質から、
が成り立つ。
  したがって、$H$ はエルミート行列である。

$B^{\dagger}+B$ はエルミート行列
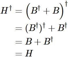
  任意の正方行列 $B$ によって、
を定義すると、 $H$ はエルミート行列である。
証明
 
とする。 随伴行列の性質から、
が成り立つ。
  したがって、$H$ はエルミート行列である。

ユニタリー行列を生成
  任意のユニタリー行列 $U$ には、
ユニタリー行列はエルミート行列の指数関数
が成り立つエルミート行列 $H$ が存在する。