x

クロネッカーのデルタを解説 ~性質と使用例~

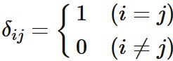
定義:
  $i, j = 1,2, \cdots, n$ とするとき、
クロネッカーのデルタ
で定義される関数をクロネッカーのデルタ (Kronecker delta) という。
  以下で簡単な具体例と使用例を記す。  
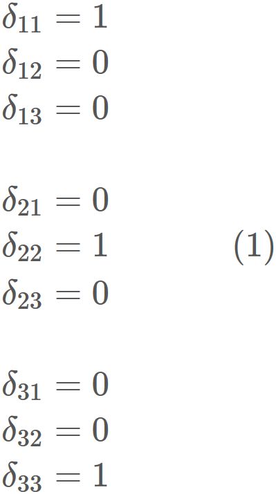
具体例 (n=3)
  クロネッカーのデルタは、 $i, j = 1,2, \cdots, n$ に対して
と定義される。 $n=3$ の場合には、
クロネッカーのデルタの例
である。
使用例3:   単位行列
  $i, j = 1,2,3$ として、 行列 $A$ の成分をクロネッカーのデルタによって、
単位行列
と定義する。 このとき、 $(1)$ によって $A$ の各成分は、
となる。 行列の形で表すと、
である。 ゆえに、 各成分がクロネッカーのデルタに等しい行列は単位行列である。
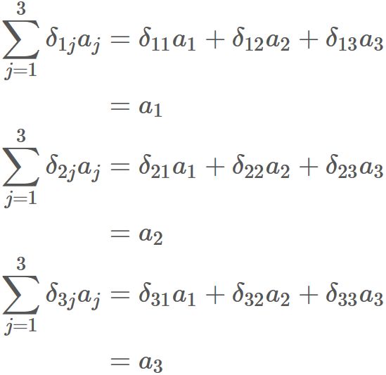
  ここで任意の3次元ベクトル $\mathbf{a}$ を
と表すと、 $(1)$ から
が成り立つ。 以上をまとめると、
と表せる。 これは、 ベクトルに単位行列を作用するとそのベクトルになるという
という関係式を各成分ごとに表したものである。
  同様に任意の 3x3 の行列 $B$ の各成分を
と表すとき、 $(1)$ を用いると、
が $i,k=1,2,3$ の全てに対して成り立つことが分かる。 これは、 行列に単位行列を作用するとその行列になるという
という関係式を各成分ごとに表したものである。
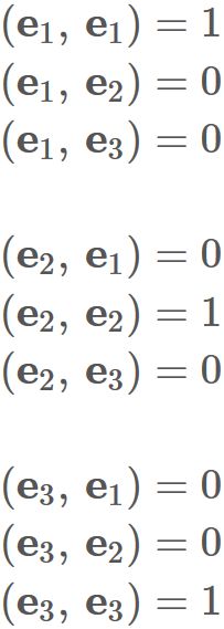
使用例2:   正規直交基底
  $\{ \mathbf{e}_{1}, \mathbf{e}_{2}, \mathbf{e}_{3} \}$ を3次元ベクトル空間の正規直交基底とする。 このとき
が成り立つ。 これらは $(1)$ により、
とまとめられる。
  したがって、 正規直交基底の定義はクロネッカーのデルタを用いて表されうる。
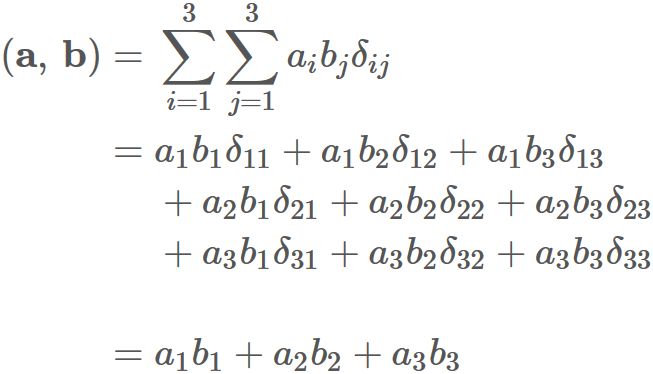
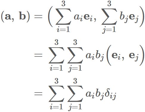
使用例3:   内積
  任意の3次元ベクトル $\mathbf{a}$ と $\mathbf{b}$ は、 正規直交基底 $\{ \mathbf{e}_{1}, \mathbf{e}_{2}, \mathbf{e}_{3} \}$ によって
と表すことができる。 これを用いると、 $\mathbf{a}$ と $\mathbf{b}$ の内積は、 $(2)$ により、
とクロネッカーのデルタを用いて表せる。
  この式に $(1)$ を用いると、
となり、 標準内積と等しいことが分かる。
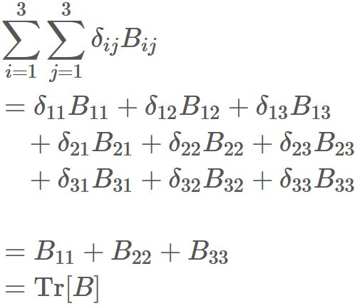
使用例4:   トレース
  任意の3x3の行列 $B$ の各成分にクロネッカーのデルタを掛けて、 全ての成分に渡って足し合わせると、 $B$ の トレース に等しくなる。 実際に $(1)$ を使って計算してみると、
となる。
  以上の性質は3次元の場合についてのみ証明されたが、 任意の有限次元の場合にも成立する。