代数学の基本定理の証明

  $n$ 次方程式
代数学の基本定理
には、複素数の範囲に少なくとも一つの解がある。ここで $a_{n} \neq 0$ である。 これを代数学の基本定理 (fundamental theorem of algebra) という。
  以下に証明を記す。

  証明

  $a_{n} = 1$ とする (後で $a_{n} \neq 1$ の場合を取り上げる)。すなわち
とする。ここで
と置くと、$x\neq 0$ の場合、$|f(x)|$ を
と表せる。ゆえに
が成り立つ。 これより $|x|$ を十分に大きくすることによって、 定数 $a_{0} = |f(0)|$ よりも $|f(x)|$ を大きくすることが可能である。 よって、
$$ \tag{1} $$ を満たす $R >0$ が存在する。 ここで $R \lt |x|$ とは、 複素平面において原点を中心とする半径 $R$ の円の外側の領域である。一方で、 $|x| \leq R$ とは、同じ円の内側の閉領域を指す。
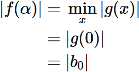
この閉領域において $|f(x)|$ は連続であるので、 $|f(x)|$ は閉領域のどこかに最小値を持つ (連続関数の最大値・最小値の定理)。 そこで $|f(x)|$ が閉領域内の $x=\alpha$ において最小になるとする。 すなわち、
とする。 このとき $x=0$ は、$|x| \leq R$ の領域内にあるので、
$$ \tag{2} $$ が成立する。
  $(1)(2)$ により、 $|f(\alpha)|$ は $R \lt |x|$ の領域内のどんな $|f(x)|$ よりも小さい。 一方で $|f(\alpha)|$ は、残りの $R\geq|x|$ の領域の最小値であるから、 $|f(\alpha)|$ は複素数全体に渡る $|f(x)|$ の最小値である。すなわち、
である。
  以下では、 $f(\alpha) \neq 0$ と仮定し、矛盾が現れることを示すことによって、 $|f(\alpha)| = 0$ であることを証明する。
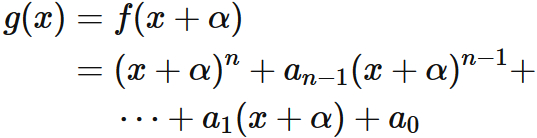
  はじめに関数 $g(x)$ を
と定義する。 このとき $|g(x)|$ は $|f(x)|$ を複素数面内で並進させただけの関数であるので、 $|f(x)|$ と同じ最小値を持つ。すなわち、
が成り立つ。 最後の等号では $ g(x) $ の定義を用いた。
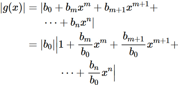
  $g(x)$ は複素係数 $b_{i}$ $(i=0,1,\cdots,n)$ によって
$$ \tag{3} $$ と表せる。 このとき、$g(0) = b_{0}$ であるので、
が成立する。 ここで $|f(\alpha)| \neq 0$ であるという仮定から、
である。
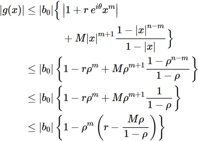
  $(3)$ の $g(x)$ の係数 $b_{1},b_{2},\cdots$ のうち、$0$ にならない最低次の次数を $m$ とする。すなわち、
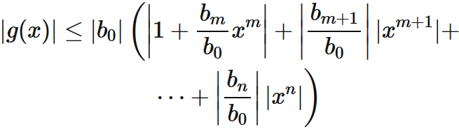
とする。 このとき $|g(x)|$ は
と表せる。 二つ目の等号では $|b_{0}| \neq 0$ を用いた。 これと三角不等式によって、
が成り立つ。 ここで
のうちの最大値を $M$ とすると、上の不等式から
が成立する。 右辺の一部を等比数列の和の公式によって
と整理すると、
と表せる。 ここで $b_{m}/b_{0} = r \hspace{1mm}e^{i \theta}$ と表すと、この不等式は
と表されるが、任意の複素数 $x$ に対して成立するので、
の場合にも成立する。ここで $\rho$ は
$$ \tag{5} $$ を満たすとする ($r$ がどんな値であっても上の二つの不等式を満たす $\rho$ は存在する)。 このとき、
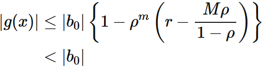
が成立するので、
が成り立つ。 ここで $3$ つめの不等号では $(5)$ の $0 \lt \rho \lt 1$ により $1-\rho^{n-m} \lt 1$ が成り立つことを用いた。 ここで
であることから、 $ \rho^{m} \left(r - \frac{M\rho}{1-\rho} \right) $ は $\rho$ を $0$ に近づけることによって、いくらでも $0$ に近い値をとることができる。 したがって、
が満たす $\rho$ が存在する。 このような $\rho$ に対して
が成立する。
  しかし、これは $| b_0 |$ が $|g(x)|$ の最小値であることに矛盾する。ゆえに
である。したがって、$|f(x)|$ の最小値は $0$ である。
  以上から、関数 $f(x)$ には、
を満たす複素数 $\alpha$ が存在する。 言い換えると、 方程式 $f(x) = 0$ は、少なくとも一つの解 $\alpha$ を持つ。
  $a_{n} \neq 1$ の場合には、
が成立するので、$a_{n}=1$ の場合の上の議論がそのまま適用できる。
  以上より、$f(x)=0$ を満たす $x$ が存在することが示された。 すなわち、任意の $n$ 次方程式
には、どこかに 少なくとも一つの解が複素数の範囲に存在する。


  $n$ 個の解を持つこと

  $n$ 次の次数が $1$ の $n$ 次多項式を
と置くと、上の議論より、
を満たす複数数 $\alpha_{0}$ が存在する。 よって、 因数定理により、 $f(x)$ は $x-\alpha_{0}$ で割り切れる。 すなわち、
と表せる。 ここで $q_{1}(x)$ は $n-1$ 次式である。
  $f(x)$ のときと同じように、$q_{1}(x)$ にも $q_{1}(\alpha_{1})=0$ を満たす $\alpha_{1}$ が存在する。 よって、 再び因数定理によって
と表せる。ここで $q_{2}(x)$ は $n-2$ 次式である。
  これらより、
と表せる。
  この操作を繰り返すと、$f(x)$ が
と表される。
  ゆえに $f(x)$ には $n$ 個の解がある。 $n$ 次の係数が $1$ でない場合も同様に示される。