等比数列と等比級数

等比数列の定義
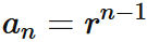
  数列 $a_{n}$ の一般項が
等比数列
と表される数列を等比数列という。 ここで $n=1,2\cdots$ であり、 $a$ 初項といい、$r$ を公比という。 具体的に表すと、
である。
等比数列の例:
  1. 初項 $2$ で、公比が $3$ の等比数列の一般項は、
と表される。具体的に表すと、
である。
  2. 初項 $3$ で、公比が $-\frac{1}{2}$ の等比数列の一般項は、
と表される。具体的に表すと、
である。
等比数列の極限
  初項が $1$、公比が $r$ の等比数列
の極限は、
である。

  場合分けをする。
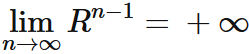
(i) $r > 1$ の場合
  $r=1+ \delta $ と置くと、$\delta>0$ であり、 二項定理により、
と表されるが、$\delta > 0$ であるので、 右辺の第3項以降の和は正の値である。 すなわち、
であるので、
が成り立つ。
  この大小関係と $1 + (n-1) \delta$ の極限が
であることから、
である。
(ii) $r = 1$ の場合
(iii) $-1 \lt r \lt 1$ の場合
  $r=0$ の場合、
である。
  $r \neq 0$ の場合、$|r| \lt 1$ であるので、
とすると、 $R > 1$ であり、 $ R = 1 + d $ とすると、$d>0$ である。 このとき、 二項定理により、
と表されるが、 右辺の第3項以降の和は正の値である。 すなわち、
であるので、
が成り立つ。
  この大小関係と $1 + (n-1) d$ の極限が
であることから、
である。 これより、
である。したがって、
である。
(iv) $r \leq -1$ の場合
  この場合、
であるので、収束もしなければ、発散もしない (極限が $+\infty$ または $-\infty$ に確定するときに発散するという)。

等比数列の和
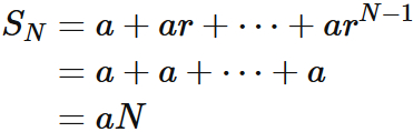
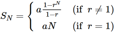
初項が $a$、公比が $r$ の等比数列の和を
と定義すると、 $S_{N}$ 自身も数列を成し、
である。
証明
  $r = 1$ の場合、
である。
  $r \neq 1$ の場合、
であるので、
である。 これらより、
である。 これを $S_{N}$ について表すと、
を得る。

等比数列の和の例題
  1. 初項 $2$ で、公比が $3$ の等比数列の第 $N$ 項までの和は、
である。
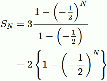
  2. 初項 $3$ で、公比が $-\frac{1}{2}$ の等比数列の第 $N$ 項までの和は、
である。
等比級数
  初項が $1$、公比が $r$ の等比数列の和
の $N \rightarrow \infty$ の極限
等比級数という。
  等比級数には、
が成り立つ。
証明
  等比数列の和を用いると、
である。これを場合分けして考える。
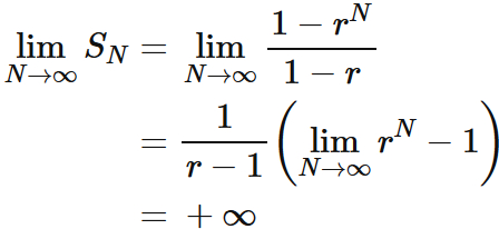
(i) $r > 1$ の場合
  この場合、
であるので (等比数列の極限を参考)、 $r-1 > 0$ であることから、
である。
(ii) $r = 1$ の場合
  この場合、
であるので、
(iii) $-1 \lt r \lt 1$ の場合
  この場合、
であるので (等比数列の極限を参考)、
である。
(iv) $r \leq -1 $ の場合
  この場合、$r^{N}$ の極限は確定しないので、
もまた確定しない (等比数列の極限を参考)。

等比級数の例
  初項 $1$ で、公比が $\frac{1}{2}$ の等比級数は、
である。