コーシー判定法

コーシー判定法 (収束)
  $0$ 以上の値を持つ数列 $\{ a_{n} \}$ の $n$ 乗根の極限が確定し、 $1$ より小さいならば、 すなわち、
コーシーの判定法
であるならば、 $\{ a_{n} \}$ から成る級数
は収束する。 この収束判定法をコーシー判定法 (Cauchy's root test ) という。
証明
  はじめに
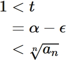
$$ \tag{1} $$ である仮定する。 $\alpha \lt 1$ であることから、
$$ \tag{2} $$ を満たす $t$ が存在する。 これより、
$$ \tag{3} $$ と定義すると、$\epsilon > 0$ である。
  $(1)$ より、$ \sqrt[n]{a_{n}}$ が $\alpha$ に収束するので、 この $\epsilon$ に対して、
$$ \tag{4} $$ を満たす整数 $N$ が存在する (数列の極限を参考)。 したがって、 $n> N$ であるならば、$(3)$ より、
が成り立つ。これより、
$$ \tag{5} $$ である。 また、$(2)$ より、$t \lt 1$ であることから、
$$ \tag{6} $$ (等比級数の収束を参考)。 したがって、 $(5)$ と $(6)$ と優級数定理とその補足により、

コーシー判定法 (発散)
  $0$ 以上の値を持つ数列 $\{ a_{n} \}$ の $n$ 乗根の極限が確定し $1$ より大きいならば、 すなわち、
であるならば、 $\{ a_{n} \}$ から成る級数
は発散する。
証明
    はじめに
$$ \tag{1} $$ である仮定する。 $\alpha > 1$ であることから、
$$ \tag{2} $$ を満たす $t$ が存在する。 これより、
$$ \tag{3} $$ と定義すると、$\epsilon > 0$ である。
  $(1)$ より、$ \sqrt[n]{a_{n}}$ が $\alpha$ に収束するので、 この $\epsilon$ に対して、
$$ \tag{4} $$ を満たす整数 $N$ が存在する (数列の極限を参考)。 したがって、 $n> N$ であるならば、$(2)$ と $(3)$ より、
が成り立つ。 これより、$n> N$ である全ての $n$ に対して、
$$ \tag{5} $$ であるので、
が成り立つ。 したがって、 $a_{n}$ は $0$ に収束しないので、 $a_{n}$ から成る級数
は発散する (各項が0に収束しない ⇒ 級数が発散を参考)。

補足
  より一般的には、$\sqrt[n]{a_{n}} \geq 1$ である項が無数に存在するならば(すなわち有限個でないならば)、 級数
は発散する。 なぜなら、$\sqrt[n]{a_{n}} \geq 1$ である項は、 $a_{n} \geq 1$ であるので、 このような項が無数にあるなばら、 $a_{n}$ の極限が $0$ にはならないからである。すなわち、
になるからである (各項が0に収束しない ⇒ 級数が発散を参考)。
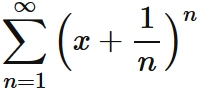
具体例 :
  次の級数
は、$x \lt 1 $ のときに収束することをコーシーの判定法によって確かめる。
解答例
 
と置くと、
であるので、コーシーの判定法により、$x \lt 1$ であるならば、 級数
は収束する。

べき級数への適用
  コーシー判定法をべき級数に適用すると、 その級数の収束半径が求まる。 これについては下記リンクを参考。