コーシー・アダマールの定理

コーシー・アダマールの定理
  べき級数
において、 次の極限
確定するならば、 収束半径 $r$ は
コーシー・アダマールの定理 (Cauchy-Hadamard theorem)
である。 これを コーシー・アダマールの定理 (Cauchy–Hadamard theorem) という。
証明
  三つのケースに分けて証明を行い、最後にまとめを記す。
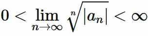
● 有限の場合
極限の
が収束し、 なおかつ
の場合を考える。 任意の $x$ に対して $\{|a_{n} x^{n}| \}$ は数列を成す。 この数列に対して、 コーシーの判定法 (収束) を適用すると、
が成り立つ。 ここで、
$$ \tag{1.1} $$ であることを用いると、
と書き直せる。 一般に 級数が絶対収束すれば収束するので、
$$ \tag{1.2} $$ が成り立つ。 以上から、
$$ \tag{1.3} $$ が成り立つ。
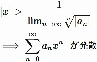
  一方逆に、
の場合、 $(1.1)$ から
である。これを $\epsilon$ 論法で表すと、 ある自然数 $N$ が存在し、 $N \leq n$ である全ての自然数 $n$ に対して、
が成り立つ。 よって、 $N \leq n$ である $n$ に対して (十分に大きな $n$ に対して)
が成り立つので、 数列 $\{ a_{n} x^{n} \}$ は $0$ に収束しない。したがって、級数 $ \sum a_{n} x^{n} $ は発散する (「 数列が $0$ に収束しない級数は発散する」を参考 )。 以上から
$$ \tag{1.4} $$ が成り立つ。
  以上 $(1.3)$ と $(1.4)$ から 級数 $\sum a_{n}x^{n}$ 収束半径 $r$ は
$$ \tag{1.5} $$ である。
● $0$ の場合
次に、
の場合を考える。 任意の $x$ に対して、
が成り立つ。よって、 コーシーの判定法 (収束) と $(1.2)$ から級数 $\sum a_{n}x^{n}$ が収束することが分かる。 このことが任意の $x$ について成り立つので、 収束半径
である。
● $\infty$ の場合
最後に、
の場合を考える。 $x \neq 0$ に対しては、
であるので、 コーシーの判定法 (発散) より、級数 $\sum a_{n}x^{n}$ は発散する。 また、明らかにこの級数は、$x=0$ で収束するので、 収束半径は、
である。
結論
以上まとめると、 級数 $\sum a_{n}x^{n}$ の収束半径 $r$ は、
である。 ただし、一行目は $\lim \sqrt[n]{|a_{n}|} $ が収束する場合に限る。 二行目について $\frac{1}{0} = \infty$ と表すことにし、 三行目について $\frac{1}{\infty} = 0$ と表すことにすると、 上記の結果は次のようにまとめられる。 すなわち、
確定するならば、 収束半径 $r$ は
である。