絶対収束と条件収束

絶対収束と条件収束の定義と具体例、および一部の性質 (絶対収束 ⇒ 条件収束) を丁寧な証明を付けて紹介するページです。
絶対収束
  級数
級数
$$ \tag{1} $$ の各項を絶対値にした級数
が収束するとき、 級数 $(1)$ が絶対収束するという
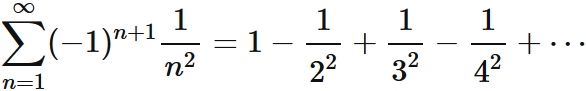
具体例 1:   (交代級数)
  級数
絶対収束の例
は絶対収束する。
解説
  級数
$$ \tag{1} $$ の各項を絶対値にした級数
は収束することが知られている (証明は積分判定法を参考)。 したがって、 $(1)$ は絶対収束する級数である。

絶対収束 $ \hspace{1mm} \Longrightarrow \hspace{1mm} $ 収束
  級数
絶対収束するならば収束する。
証明
  級数
$$ \tag{1} $$ が絶対収束すると仮定し、 この級数が収束することを示す。
  そこで、 数列 $b_{n}$ を $a_{n}$ が $0$ 以上の時には $a_{n}$ に等しく、 $0$ 未満のときには $0$ に等しい数列として定義する。 また、 数列 $c_{n}$ を $a_{n}$ が $0$ 以上の時には $0$ に等しく、 $0$ 未満のときには $-a_{n}$ に等しい数列と定義する。すなわち、
$$ \tag{2} $$ とする。 これより、
$$ \tag{3} $$ と
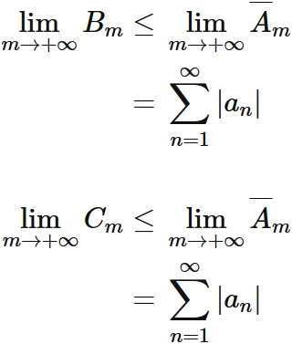
$$ \tag{4} $$ が成り立つ。 ここで、それぞれの数列の部分和を
と定義すると、$(3)$ から
$$ \tag{5} $$ が成り立つ。 また、$a_{n}$ の絶対値の部分和を
とすると、 $(4)$ から
が成り立つ。 これより、
であるが、$(1)$ が絶対収束することから、$\sum_{n=1}^{\infty} |a_{n}|$ が収束するので、 その極限値を $ \alpha $ とすると、
である。すなわち、 数列 $B_{m}$ と $C_{m}$ は上に有界な数列である。 また、$(2)$ より
であることから、$B_{m}$ と $C_{m}$ は単調増加数列である。
  以上より、$B_{m}$ と $C_{m}$ は上に有界な単調増加数列であるので収束する。 そこで、それぞれの極限値を $\beta$ と $\gamma$ とする。 すなわち、
とすると、 $(5)$ から
を得る。右辺の $\beta-\gamma$ は有限の値であるので、 この式は $\sum_{n=1}^{\infty} a_{n}$ が収束することを表している。 以上より、絶対収束する級数は収束する。

条件収束
  級数
$$ \tag{1} $$ は収束するが、絶対収束はしないとき、 すなわち、
が収束しない(発散する)とき、 級数 $(1)$ が条件収束するという
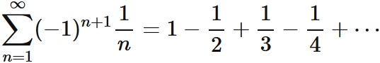
具体例 2:   (交代調和級数)
  級数
は条件収束する。
解説
  級数
$$ \tag{1} $$ は交代調和級数と呼ばれ、収束することが知られている (証明は交代級数を参考)。 一方で、 $(1)$ の各項を絶対値にした級数
は、 調和級数と呼ばれ、発散することが知られている (証明は積分判定法を参考)。 したがって、 $(1)$ は条件収束する級数である。