級数の積分判定法

積分判定法
  $0$ 以上の値を持つ単調減少関数 $f(x)$ によって、数列 $\{ a_{n} \}$ が
と定義されている。 このとき、
積分判定法
が成り立つ。
  この関係は、 積分の収束判定を通じて級数の収束判定が可能な場合があり、 逆に級数の収束判定を通じて積分の収束判定が成される場合があることを表している。 このような判定法をを積分判定法 (Integral test for convergence)という。
証明
 
$ \int^{\infty}_{1} f(x) \mathrm{d} x \small が収束 \normalsize \hspace{3mm} \Longrightarrow \hspace{3mm} \sum_{n=1}^{\infty} a_{n} \hspace{3mm} \small が収束 \hspace{3mm} $ の証明

  $0$ 以上の値を持つ 単調減少関数 $f(x)$ によって、 数列 $\{ a_{n} \}$ を
$$ \tag{1} $$ と定義する。
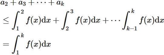
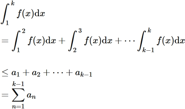
  区間 $[n-1, n]$ に注目すると、 $f(x)$ の単調減少性により、この区間で $ f(x) \geq f(n) $ が成り立つので (下図)、 $(1)$ より、
が成り立つ。
この関係が $n=2,3, \cdots, k$ に対して成り立つことから、
$$ \tag{2} $$ を得る。
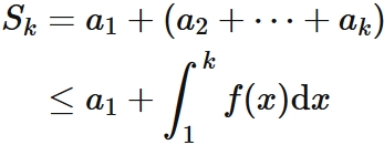
  ここで数列 $S_{k}$ を部分和によって、
$$ \tag{3} $$ と定義すると、$(1)$ より $a_{n}$ が $0$ 以上であることから、 $S_{k}$ は単調増加数列である。
  また、$(2)$ により $S_{k}$ には、
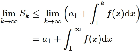
が成り立つ。 したがって、数列 $S_{k}$ の極限は
$$ \tag{4} $$ を満たす。 仮定により、右辺の積分は収束するので、 その収束先の値 (極限値) を $\alpha$ とすると、
と表される。 したがって、 $S_{k}$ は単調増加する数列であり、極限値が有限の値 $a_{1} + \alpha$ であるので、 任意の $k$ に対して、$ S_{k} \lt a_{1} + \alpha $ が成り立つ。 すなわち、 $S_{k}$ は上に有界な数列である。
  以上から、 $S_{k}$ は上に有界な単調増加数列であるので、 収束する。そこで 数列 $S_{k}$ の収束先の値 (極限値)を $\beta$ と表すと、
を得る。 この式は級数 $\sum_{n=1}^{\infty} a_{n}$ が有限な値 $\beta$ になることを表している。すなわち、収束することを表している。
$ \int^{\infty}_{1} f(x) \mathrm{d} x \small が収束 \normalsize \hspace{3mm} \Longleftarrow \hspace{3mm} \sum_{n=1}^{\infty} a_{n} \hspace{3mm} \small が収束 \hspace{3mm} $ の証明
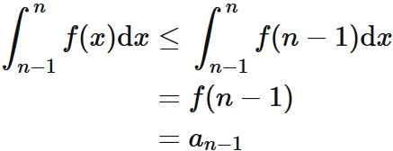
  $0$ 以上の値を持つ 単調減少関数 $f(x)$ によって、 数列 $a_{n}$ を $(1)$ のように定義する。 区間 $[n-1, n]$ に注目すると、 $f(x)$ の単調減少性により、この区間で $ f(n-1) \geq f(x) $ が成り立つので (下図)、 $(1)$ より、
が成り立つ。
この関係が $n=1,2, \cdots, k-1$ に対して成り立つことから、
$$ \tag{5} $$ を得る。
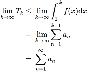
  ここで数列 $T_{k}$ を
と定義すると、$f(x)$ が $0$ 以上であることから、 $T_{k}$ は単調増加数列である。また、 $(5)$ により、
$$ \tag{6} $$ が成り立つ。 仮定により、右辺の級数は収束するので、その収束先の値 (極限値)と $\gamma$ と表すと、
である。 $T_{k}$ は単調増加する数列であり、 極限値が有限の値 $\gamma$ であるので、 任意の $k$ に対して、$ T_{k} \lt \beta $ が成り立つ。 すなわち、 $T_{k}$ は上に有界な数列である。
  したがって、$T_{k}$ は上に有界な単調増加数列であるので、収束する。 そこで、その極限値を $\delta$ と表すと、
である。 すなわち、右辺の積分は収束する。

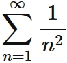
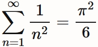
具体例 1 : バーゼル問題
  つぎの級数
は収束する。
証明
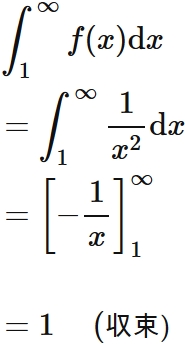
  積分判定法を用いる。 関数 $f(x)$ と数列 $a_{n}$ を
とすると、 $f(x)$ は $0$ 以上の単調減少数列であり、
が成り立つ。 また、
であるので、 積分判定法により、 級数
は収束する。

補足
この問題はバーゼル問題と呼ばれ、オイラーによって収束値が
と求められた。
一般化
  上記の積分判定法は単調減少関数 $f(x)$ に対して証明されたが、 同じような方法で単調増加関数に対しても証明可能である。 また、積分範囲を $\int_{1}^{\infty}$ としていたが、 関数 $f(x)$ が $x_{0} \leq x$ において、 $0$ 以上の値を持つ単調減少関数であり、 $ x_{0} \leq n $ を満たす全ての $n$ について、 数列 $\{ a_{n} \}$ が $ a_{n} = f(n) $ であれば、 同じような方法で積分判定法が証明される。

  以上から、次のように積分判定法が一般化できる。 すなわち、 $x_{0} \leq x$ の範囲で $0$ 以上の値を持つ単調関数 $f(x)$ によって、数列 $\{ a_{n} \}$ が
と定義されるとき、
が成り立つ。
  また、積分判定法の証明と同じやり方で、
も成り立つ。 実際、積分判定法の $(4)$ から分かるように、 級数が発散すれば積分も発散する。また、 $(6)$ から分かるように、 積分が発散すれば級数も発散する。
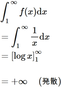
具体例 2 : 調和級数
  つぎの級数
は発散する。
証明
  積分判定法 (発散版)を用いる。 関数 $f(x)$ と数列 $a_{n}$ を
とすると、 $f(x)$ は $0$ 以上の単調減少数列であり、
が成り立つ。 また、
であるので、 積分判定法により、 級数
は発散する。