優級数定理 (比較判定法)

優級数定理 (比較判定法)
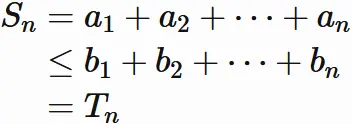
  各項が $0$ 以上である級数
正項級数という。 数列 $\{b_{n}\}$ が
$$ \tag{1.1} $$ を満たすとき、 $\{b_{n }\}$ による 級数
ならば、$S$ も収束する。 これを比較判定法 (または優級数定理) という。
証明
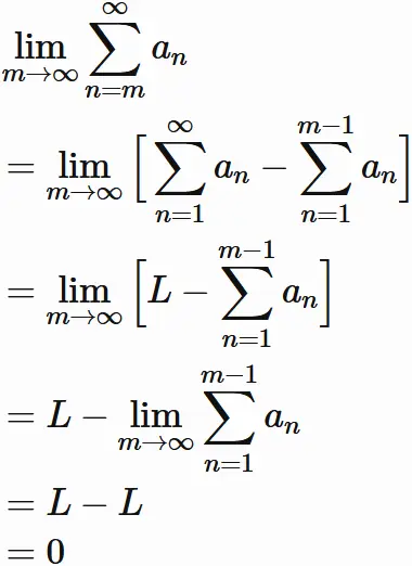
  数列 $S_{n}$ と $T_{n}$ を
と定義する。 この定義を用いると、 $S$ と $T$ はそれぞれ
と表される。 $a_{n+1} \geq 0$ であるので、
が成り立つ。 すなわち、 $S_{n}$ は単調増加数列である。 これより、
が成り立つ。 $(1.1)$ より、
が任意の $n$ について成り立つので、
が成り立つ。よって、
を得る。 これと $(1.2)$ より、 $S_{n}$ が有界な数列であることが分かる。
  以上から、 $S_{n}$ は有界な単調増加数列であるので、極限
は収束する (補足2を参考)。

:
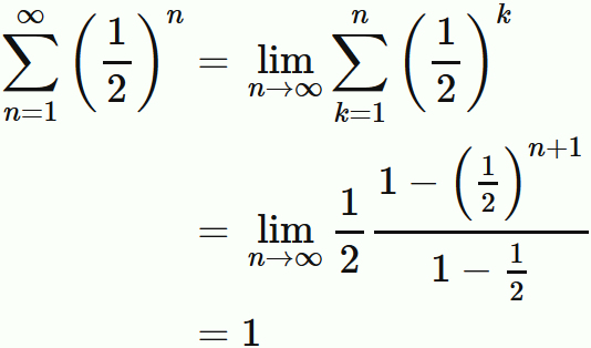
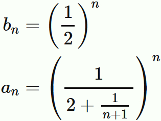
  等比級数
は交差 $\frac{1}{2}$ が $1$ よりも小さいので収束する。 実際に極限値は、
である。 ここで $2$ 行目の等号では等比数列の和の公式を用いた。
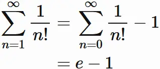
  この結果と優級数定理を用いると、 次の級数
が収束することが分かる。 なぜなら、
とすると、
が成り立ち、
が収束するので、 優級数定理によって、
もまた収束するといえる。
補足1:
  上記定理では、 全ての $n$ に対して \begin{eqnarray} 0 \leq a_{n} \leq b_{n} \end{eqnarray} が成り立つことを仮定したが、 そこまで仮定しなくても、 ある $N$ よりも大きな全ての $n$ に対して成り立っていれば証明される。
  実際、 級数を第 $N$ 項までの和とそれ以上のものに分けて、 \begin{eqnarray} \sum_{i=1}^{\infty} a_{n} = \sum_{i=1}^{N-1} a_{n} + \sum_{i=N}^{\infty} a_{n} \end{eqnarray} のように表したとき、 $\sum_{i=1}^{N-1} a_{n}$ の部分は有限な値になるので、 収束が問題となるのは、残りの $\sum_{i=N}^{\infty} a_{n}$ の部分のみである。 この部分に対して、 同様の議論を行えば上記定理が成り立つことが証明される。
補足2:
  有界な単調増加数列が収束することは実数の公理の一つであり、 微積分の出発点である。 その他の公理から微積分を構成することも可能であるが、 それらは互いに同値である。
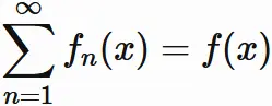
優級数判定法
  区間 $I$ 上の関数列 $ \{ f_{n}(x) \} $ と数列 $\{ a_{n} \}$ に対して、
$$ \tag{5.1} $$ が成り立ち、 なおかつ、級数
$$ \tag{5.2} $$ ならば、 部分和
$$ \tag{5.3} $$ から成る関数列 $\{ S_{m}(x) \}$ は、 区間 $I$ 上で一様収束する。 すなわち、 $(5.1)$ と $(5.2)$ を満たす数列 $\{ a_{n} \}$ が見つかれば、 関数項級数 $$\sum_{n=1}^{\infty} f_{n}(x)$$ の一様収束性が保証される。 ここで $$ \sum_{n=1}^{\infty} a_{n} $$ を 関数項級数 に対する優級数という.。
証明
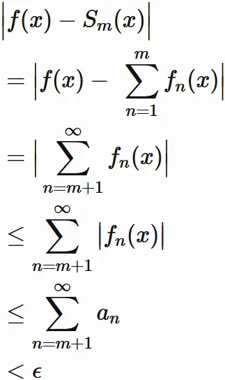
  $(5.1)$ より、 各 $x \in I$ において、
が収束する (比較法)。 したがって、
は収束する (「絶対収束⇒収束」を参考)。 そこで、
$$ \tag{5.4} $$ と表す。 ここで $(5.2)$ より、
とすると ($L$ は極限値)、
が成り立つ。 したがって、 任意の正の $\epsilon$ に対して、
$$ \tag{5.5} $$ を満たす $M$ が存在する。 すると、 $(5.3)$ $(5.4)$ と三角不等式と $(5.1)$ と $(5.5)$ より、 任意の $x \in I$ に対して、 $ M \lt m $ ならば
$$ \tag{5.6} $$ が成り立つ。
  以上のように、 任意の正の $\epsilon$ に対して、 区間 $I$ 上の全ての $x$ に渡って $(5.6)$ を成り立たせる (共通の) 自然数 $M$ の存在が確かめられたので、 区間 $I$ 上で $S_{m}(x)$ は $f(x)$ に一様収束する。
例題 (優級数判定法)
  次の関数列
から成る関数項級数
$$ \tag{6.1} $$ が $ x \gt 0 $ で一様収束することを優級数判定法によって示す。
解答例
 
$$ \tag{6.2} $$ が成り立ち、
$$ \tag{6.3} $$ が成り立つ。 ここで、$e$ はネイピアの定数である (「ネイピア数の級数による表現を参考」)。 $(6.2)(6.3)$ から $ \sum_{n=1}^{\infty}\frac{1}{n!} $ は $ \sum_{n=1}^{\infty} f_{n}(x) $ の優級数である。 よって、 $(6.1)$ は一様収束する (「優級数判定法」を参考)。