関数列の一様収束

本ページでは、 関数列・収束域・各点収束・一様収束の定義が具体例と共に記されています。 また、一様収束にまつわる基本的な性質に対して丁寧な証明が与えられています。
関数列
  順序のある関数の列
関数列といい、 $\{f_{n}\}$ または $ \{f_{n}(x) \} $ と表される。
  関数列 $\{ f_{n} \}$ が共通の定義域 $D$ を持つ (一つの集合 $D$ 上で定義される) とき、「$D$ 上の関数列 $\{ f_{n} \}$」と表される。
具体例
(1)  $-\infty \lt x \lt \infty$ 上の関数列
は関数列であり、
と表せる。

(2)   $0 \leq x \lt \infty$ 上で定義される関数列
は関数列であり、
と表せる。

収束域
  $D$ 上の関数列 $\{ f_{n} \}$ の $D$ 内の一点 $c$ での関数値 $\{ f_{n}(c) \}$ は数列となる。 このとき、 $D$ 内の点で $\{ f_{n} \}$ の関数値が収束する点の全体を収束域という。 すなわち、収束域 $A$ とは
である。
具体例
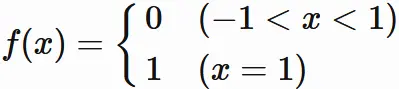
  $-\infty \lt x \lt \infty$ 上の関数列
は、 $-1 \lt x \lt 1$ で $0$ に収束し、 $x=1$ で $1$ に収束する (等比数列の極限を参考)。 よって、 $\{ f_{n} \}$ の収束域 $A$ は、
である。

各点収束
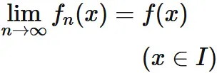
  $D$ 上の関数列 $\{ f_{n} \}$ の収束域 $A$ の各点 $x$ では、 数列 $\{ f_{n}(x) \}$ が収束する。 $\{ f_{n}(x) \}$ の極限値は $x$ ごとに異なるので、 $f(x)$ と表すことにすると、
である。 これを $A$ 上で $f_{n}$ は $f$ に各点収束するという。 $\epsilon$ 論法で表すと、 $A$ 上の点 $x$ と任意の正の数 $\epsilon$ に対して、 ある自然数 $N$ が存在し、 $N$ よりも大きな全ての自然数 $n$ に対して、
が成り立つ。
具体例
  $-\infty \lt x \lt \infty$ 上の関数列
収束域 $A$ は、
であり、 $-1 \lt x \lt 1$ で $0$ に収束し、 $x=1$ で $1$ に収束する。 よって、
と定義すると、 $A$ 上で
が成り立つ。 このように、 $A$ 上で $\{ f_{n} \}$ は $f$ に各点収束する。
  後で示すように、 $\{ f_{n} \}$ は $f$ に一様収束はしない。

一様収束
  区間 $I$ 上の関数列 $\{ f_{n} \}$ がある関数 $f$ に各点収束するとする。
  $\{ f_{n} \}$ が 区間 $I$ 内のある一点 $x_{1}$ において関数 $f$ に (一点) 収束するとは、 任意の正の数 $\epsilon$ に対して、 自然数 $N_{1}$ が存在し、 $N_{1}$ よりも大きな全ての自然数 $n$ に対して、
$$ \tag{4.1} $$ が成り立つことである。

  同じように、 区間 $I$ の別の点 $x_{2}$ で $\{ f_{n} \}$ が $f$ に (一点) 収束するとは、 任意の正の数 $\epsilon$ に対して、 自然数 $N_{2}$ が存在し、 $N_{2}$ よりも大きな全ての自然数 $n$ に対して、
$$ \tag{4.2} $$ が成り立つことである。

  $(4.1)$ が成り立つために必要な自然数 $N_{1}$ は、 $(4.2)$ が成り立つために必要な自然数 $N_{2}$ と一般的には異なる。 同じように、一点収束するために必要な自然数は、 区間 $I$ の各点ごとに異なる。
  これに対し、 もしも区間 $I$ の全ての点に対して共通の $N$ が存在し、 $N$ よりも大きな全ての自然数 $n$ に対して、
一様収束
が成り立つならば、 関数列 $\{ f_{n} \}$ は区間 $I$ で $f$ に 一様収束するという。
具体例
  関数列
と関数
に対して、

$(1)$   区間 $[0, c]$ $(c \lt 1)$ で $\{ f_{n} \}$ が $f$ に一様収束する。

$(2)$   区間 $I = [0,1]$ では、$\{ f_{n} \}$ が $f$ に一様収束しないことを示す。
一様収束の例の図

解答例
$(1)$
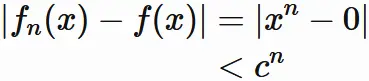
  区間 $[0, c]$ $(c \lt 1)$ の任意の $x$ に対して、
が成り立ち、 また、 $c \lt 1$ であるので、 任意の正の数 $\epsilon$ に対して、
を満たす自然数 $N$ が存在する。 したがって、
を満たす $N$ が存在するので、 関数列 $\{ f_{n} \}$ は区間 $[0, c]$ で 関数 $f$ に一様収束する。


$(2)$
  はじめに
であるので、 $x=1$ のとき、 任意の正の数 $\epsilon$ に対して、 自然数 $N$ が存在し、 $N$ よりも大きな全ての $n$ に対して、
が成り立つ ($x=1$ では一様収束しないとはいえない)。
  続いて $x=1$ を除いた 区間
$$ \tag{5.1} $$ を考える。 この範囲では、
であるので、 任意の正の数 $\epsilon$ に対して、 $N$ よりも大きな全ての $n$ に対して、
$$ \tag{5.2} $$ が成り立つためには ($\{ f_{n} \}$ が $f$ に一様収束するためには)、 $N$ よりも大きな全ての $n$ に対して、
$$ \tag{5.3} $$ が成り立つよう十分に $N$ が大きい必要がある。 ところが、 $(5.1)$ と対数関数の性質によって、
$$ \tag{5.4} $$ とすると分かるように、 ある $x$ に対して $(5.4)$ を成り立たせる十分に大きな $N$ であったとしても、 すなわち、 \begin{eqnarray} n \gt N \hspace{1mm} & \Rightarrow & \hspace{1mm} n \gt \frac{\log \epsilon}{ \log x} \end{eqnarray} $$ \tag{5.5} $$ が成り立つ $N$ であったとしても、 より $1$ に近い別の $x$ に対しては ($\log x$ が $0$ に近づくから)、 $(5.5)$ が 成り立たなくなる。 そのような $N$ と $x$ は $(5.2)$ を成り立たせない。 以上の議論は、 区間 $(5.1)$ 内の全ての $x$ に渡って、
を成り立たせる共通の $N$ が存在しないことを意味する。 言い換えると、 区間 $(5.1)$ で 関数列 $f_{n}$ は 関数 $f$ に一様収束しない。

一様収束: $\sup$ による表現
  以下の同値関係が成り立つ。
一様収束のsupによる表現
$$ \tag{6.1} $$
証明
($(6.1)$ の $\Longrightarrow$ の証明)
  区間 $I$ で $\{ f_{n} \}$ が $f$ に一様収束するならば、 任意の正の数 $\epsilon$ に対し、 ある自然数 $N$ が存在し、 全ての $x \in I$ に対して、 $N \lt n$ ならば、
が成り立つ。これが全ての $x \in I$ に対して成り立つことから、 $N \lt n$ ならば、
$$ \tag{6.2} $$ が成り立つ ($\sup$ の定義を参考) 。 任意の正の数 $\epsilon$ に対して、 $(6.2)$ を満たす自然数 $N$ が存在することが示されたので、
である。


($(6.1)$ の $\Longleftarrow$ の証明)
 
が成り立つとする。 これと全ての $x \in I$ に対して、
が成り立つ ($\sup$ の定義を参考) ことから、
が成り立つ。 これを $\epsilon$ 論法で表すと、 任意の正の数 $\epsilon$ に対して、 ある自然数 $N$ が存在し、 $N \lt n$ であるならば、 全ての $x \in I$ に対して、
が成り立つことを表している。 よって、 $\{ f_{n} \}$ が区間 $I$ で $f$ に一様収束する。

一様収束 ⇒ 各点収束
  関数列 $\{ f_{n} \}$ が区間 $I$ 上で関数 $f$ に一様収束するならば、 $I$ 上で各点収束する。すなわち、
が成り立つ。
解説
  区間 $I$ で $\{ f_{n} \}$ が $f$ に一様収束するので、 任意の正の $\epsilon$ に対して、 区間 $I$ の全ての点で共通の $N$ が存在し、 $N$ よりも大きな全ての自然数 $n$ に対して、
が成り立つ。 したがって、この $N$ を用いると、 $I$ の各点において
$$ \tag{7.1} $$ を成り立つ。 言い換えると、 $I$ の各点で $(7.1)$ を成り立たせる自然数 $N$ が存在する。 よって、
である。

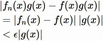
連続関数との積も一様収束
  区間 $I$ 上で 関数列 $\{ f_{n} \}$ が関数 $f$ に一様収束するならば、 連続関数 $g$ との積 $\{ f_{n}g \}$ は $fg$ に一様収束する。
証明
  区間 $I$ で $\{ f_{n} \}$ が $f$ に一様収束するので、 任意の正の $\epsilon$ に対して、 区間 $I$ の全ての点で共通の 自然数 $N$ が存在し、 $N$ よりも大きな全ての自然数 $n$ に対して、
が成り立つ。 これより、
が成り立つ。 $g(x)$ は区間 $I$ で連続であるので、 $|g(x)|$ もまた区間 $I$ で連続である。 よって、 $|g(x)|$ には最大値と最小値が存在する (「最大値・最小値の定理」を参考)。 それを $M$ と表すと、
$$ \tag{8.1} $$ が成り立つ。 $\epsilon$ が任意の正の数なので、 $\epsilon M$ もまた任意の正の数である。 その任意の数に対して、 区間 $I$ の全ての点で共通の 自然数 $N$ が存在し、 $N$ よりも大きな全ての自然数 $n$ に対して、 $(8.1)$ が成り立つので、 区間 $I$ で $\{ f_{n}g \}$ は $fg$ に一様収束する。

関数項級数の一様収束
  関数列 $\{ f_{n} (x) \}$ の和
が区間 $I$ で関数 $S(x)$ に一様収束するとは、 次のように定義される。すなわち、 任意の正の数 $\epsilon$ に対して、 区間 $I$ の全ての点 $x$ に共通の $N$ が存在し、 $n \gt N$ であるならば、
が成り立つ。このとき、関数列 $\{ f_{n}(x) \}$ の関数項級数
が $S(x)$ に一様収束するという。
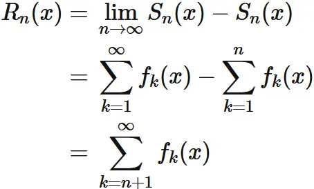
  一様収束すれば各点収束するので、 区間 $I$ 内の任意の点で、
が成り立つ。そこで剰余項
を定義すると、 関数項級数の一様収束性は次のように表される。 すなわち、 任意の正の数 $\epsilon$ に対して、 区間 $I$ の全ての点 $x$ に共通の $N$ が存在し、 $n \gt N$ であるならば、
が成り立つ。
  剰余項は、
と表される。
優級数判定法
  区間 $I$ で 関数列 $\{ f_{n} (x) \}$ と正の数列 $\{c_{n}\}$ の間に
$$ \tag{10.1} $$ が成り立ち、 かつ、$c_{n}$ からなる級数
が収束するならば、 関数項級数
は区間 $I$ で一様収束する。
証明
  証明は、「優級数判定法」を参考。