項別微分と項別積分 ~微分/積分と極限の交換~

連続関数列が $f$ に一様収束  $\Rightarrow$   $f$ が連続
  連続関数列
$$ \tag{1.1} $$ が区間 $I$ 上で関数 $f$ に一様収束するならば、 $f$ は連続関数である。
証明
  区間 $I$ 上で関数列 $f_{n}$ が 連続であるので、 任意の正の数 $\epsilon$ に対して、 正の数 $\delta$ が存在し、
$$ \tag{1.2} $$ が成り立つ。
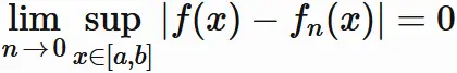
  また、区間 $I$ で $f_{n}$ が $f$ に一様収束するので、 任意の正の数 $\epsilon$ に対して、 ある自然数 $N$ が存在し、
$$ \tag{1.3} $$ が成り立つ (以降 $n$ は $n \gt N$ を満たすとする)。 $a \in I$ であるので、 $(1.3)$ より、
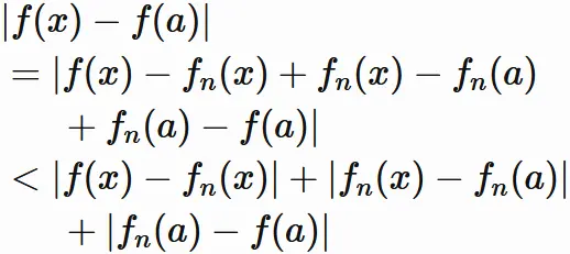
$$ \tag{1.4} $$ が成り立つ。 また、三角不等式から
$$ \tag{1.5} $$ が成り立つ。 以上の $(1.5)$ $(1.2)$ $(1.3)$ $(1.4)$ から、
$$ \tag{1.5} $$ が成り立つ。 $\epsilon$ が任意の正の数であるので、 $3 \epsilon$ もまた任意の正の数である。 任意の正の数 $(3 \epsilon)$ に対して、 $(1.5)$ を成り立たせる正の数 $\delta$ が存在することが示されたので、 $f(x)$ は $a$ で連続である。

積分と極限の交換
  連続関数列
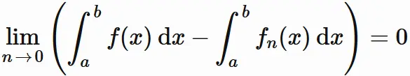
$$ \tag{2.1} $$ が区間 $I$ 上で関数 $f$ に一様収束するならば、
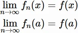
$$ \tag{2.2} $$ が成り立つ。 一様収束性より $f_{n}$ は $f$ に各点収束する、 すなわち
$$ \tag{2.3} $$ が成り立つので、 $(2.2)$ を
積分と極限の交換
$$ \tag{2.4} $$ と表せる。 このように、極限と積分を交換できる。
証明
  区間 $I$ で関数列 $f_{n}$ が連続であり、 関数 $f$ に一様収束することから、 $f$ は区間 $I$ 上で連続関数である ($(1.1)$ 付近を参考)。 したがって、$f$ は区間 $I$ 上で積分可能である。

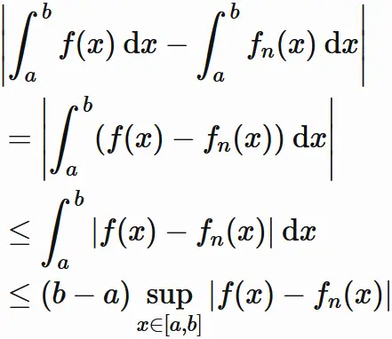
(1)  $a \lt b$ の場合
が成り立つ (最後の不等号については下図を参考)。
関数列 $f_{n}$ が関数 $f$ に一様収束することから、
が成り立つ (「一様収束のsup表現」を参考) 。 これらより、
が成り立つ。 ここから、
であり (「絶対値の極限が0」を参考)、
である。 $(2.3)$ より、
と表される。すなわち、積分と極限を交換できる。

微分と極限の交換
  区間 $I$ を定義域に含む $\mathrm{C}^{1}$ 級関数列を
$$ \tag{3.1} $$ とする。この関数列がある関数 $f$ に $I$ の各点で収束するとする。 また、 $(3.1)$ の微分
$$ \tag{3.2} $$ がある関数 $g$ に一様収束するとする。 このとき、 $f$ は $\mathrm{C}^{1}$ 級関数であり、
微分と極限の交換
$$ \tag{3.3} $$ が成り立つ。 すなわち、 微分と極限を交換できる。
証明
  $f_{n}$ は$\mathrm{C}^{1}$ 級関数であるので、 微分可能である。よって、
$$ \tag{3.4} $$ が成り立つ。 $f_{n}$ は区間 $I$ で $f$ に各点収束するので、
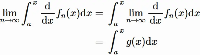
$$ \tag{3.5} $$ が成り立つ。 また、$ \frac{\mathrm{d}}{\mathrm{d}x}f_{n}$ が $g$ に一様収束することから、 極限と積分が入れ替えでき
$$ \tag{3.6} $$ が成り立つ。 $(3.4)$ を $n \rightarrow \infty$ とし、 $(3.5)$ $(3.6)$ を用いると、
$$ \tag{3.7} $$ が成り立つことが分かる。
  ところで、 $f_{n}$ が$\mathrm{C}^{1}$ 級関数であるので、 $ \frac{\mathrm{d}}{\mathrm{d}x}f_{n}$ は連続関数である。 また、 $ \frac{\mathrm{d}}{\mathrm{d}x}f_{n}$ は $g$ に一様収束するので、 $g$ は連続関数である (「連続関数列が一様収束 ⇒ 連続」を参考)。 したがって、 \begin{eqnarray} g(x) = \frac{\mathrm{d}}{\mathrm{d}x} \int^{x}_{a} g(x) \mathrm{d}x \end{eqnarray}
$$ \tag{3.8} $$ が成り立つ (微積分学の基本定理)。 $(3.7)$ と $(3.8)$ より、
$$ \tag{3.9} $$ が成り立つ。 $g(x)$ が連続なので、 $\frac{\mathrm{d}}{\mathrm{d}x}f(x)$ は連続である。 したがって、$f$ は $\mathrm{C}^{1}$ 級関数である。 また、 $\frac{\mathrm{d}}{\mathrm{d}x}f_{n}(x)$ は $g(x)$ に一様収束するので、
$$ \tag{3.10} $$ が成り立つ (「一様収束 ⇒ 各点収束」を参考)。 以上の $(3.5) (3.9) (3.10)$ より、
が成り立つ。すなわち、微分と極限を入れ替えできる。

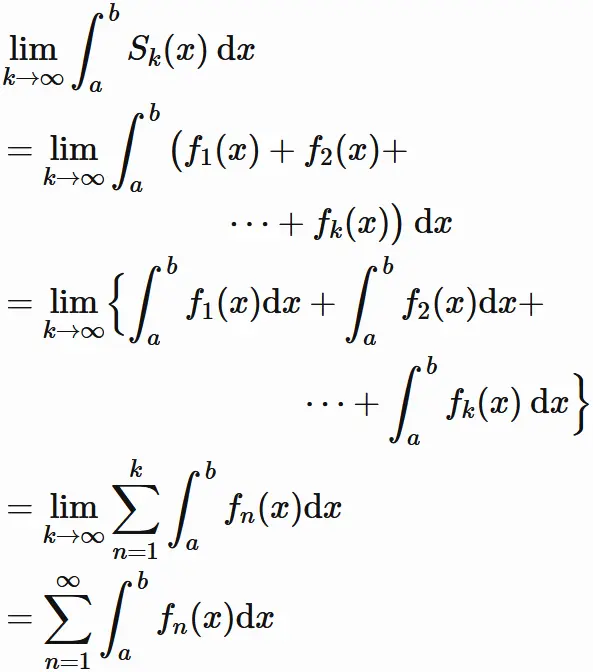
関数項級数
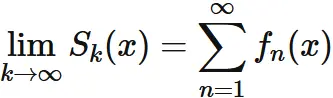
  関数列 $\{ f_{n} \}$ の和
の極限
関数項級数といい、
関数項級数
$$ \tag{4.1} $$ と表す。
関数項級数の連続性
  連続関数列
$$ \tag{5.1} $$ による関数項級数
が区間 $I$ 上で関数 $S$ に一様収束するならば、 $S$ は連続関数である。
証明
  関数列 $(5.1)$ の和
もまた関数列である。 $(5.1)$ が連続であるので、 $S_{k}(x)$ もまた連続である (「和も連続」を参考)。 したがって、 $S_{k}(x)$ は連続関数列である。 よって、 区間 $I$ で $S_{k}$ がある関数 $S$ に一様収束するならば、 $S$ は連続関数である (「連続関数列が $f$ に一様収束 ⇒ $f$ が連続 」を参考)。

項別積分
  連続関数列
$$ \tag{6.1} $$ による関数項級数
が区間 $I$ 上で関数 $S$ に一様収束するならば、
項別積分
$$ \tag{6.2} $$ が成り立つ。 すなわち、和と積分の交換できる。 これを項別積分という。
証明
  関数列 $(6.1)$ の和
もまた関数列である。 $(6.1)$ が連続であるので、 $S_{k}(x)$ もまた連続である (「和も連続」を参考)。 したがって、 $S_{k}(x)$ は連続関数列である。 よって、 区間 $I$ で $S_{k}$ がある関数 $S$ に一様収束するならば、
が成り立つ (「積分と極限の交換」を参考)。 左辺を $(4.1)$ に従って、
と表す。 右辺は、
と表される。 よって、
が成り立つ。

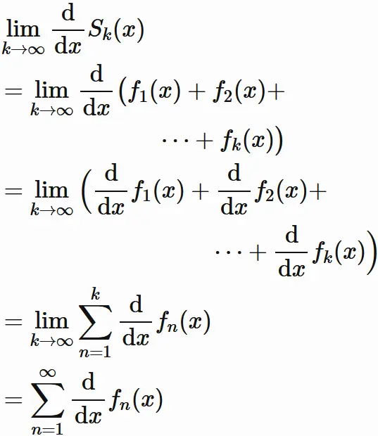
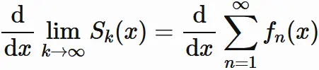
項別微分
  連続関数列
$$ \tag{7.1} $$ による関数項級数
が区間 $I$ 上で関数 $S$ に一様収束するならば、
項別微分
$$ \tag{7.2} $$ が成り立つ。 すなわち、和と微分の交換が可能になる。 これを項別微分という。
証明
  関数列 $(7.1)$ の和
もまた関数列である。 $(7.1)$ が連続であるので、 $S_{k}(x)$ もまた連続である (「和も連続」を参考)。 したがって、 $S_{k}(x)$ は連続関数列である。 よって、 区間 $I$ で $S_{k}$ がある関数 $S$ に一様収束するならば、
が成り立つ (「微分と極限の交換」を参考)。 左辺を $(4.1)$ に従って、
と表す。 右辺は、
と表される (「和の微分」を参考) 。 よって、
が成り立つ。