級数の収束と発散

級数の定義
級数とは?
  数列 $\{ a_{n} \}$ の和を
と表すとき、 和の数を無限大にする極限、 すなわち、
級数の定義
級数といい、
と表される。
具体例 1:   (級数)
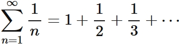
  以下はよく知られた級数

調和級数
等比級数
交代級数の一種
収束と発散とは?
  数列 $\{ a_{n} \}$ の和
の極限 (級数) が有限の値に等しいとき、 すなわち、
であるとき 、 級数が収束するといい、
などと表す。
  また、級数が収束しないとき発散するという。 発散する級数の中には、 級数が $+\infty$ になるものがある。このような級数は、
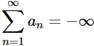
と表される ("+" は省略されることもある)。 同じように、発散する級数の中には、 級数が $-\infty$ になるものがある。このような級数は、
と表される。
  級数が収束する場合、 または $+ \infty$ になる場合、 または $- \infty$ になる場合、 級数の和が確定するという。
  したがって、級数は大きく分けて次の3つに分類される (下記例を参考)。

  • 収束する。
  • 発散し、和が確定する。
  • 発散し、和が確定しない。
具体例 2:   (収束・発散)
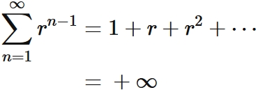
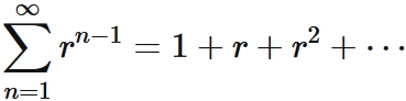
  $r \lt 1$ の場合、等比級数
であるので、収束する。 $r > 1$ の場合、等比級数
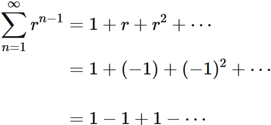
であり、収束しない (発散し、和が確定する)。 $r = -1$ の場合、等比級数
は収束しない (発散し、和が確定しない)。
$\sum a_{n}$ が収束 $\hspace{1mm} \Longrightarrow \hspace{1mm}$ $\lim a_{n} = 0$
  級数
が収束するならば、 数列 $ \{ a_{n} \}$ は $0$ に収束する。すなわち、
が成り立つ。
証明
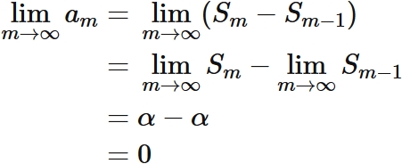
  数列 $a_{n}$ の和を
と表すと、
$$ \tag{1} $$ である。 仮定より、級数が収束するので、 極限値を $\alpha$ (有限の値) と置くと、すなわち、
とすると、 $(1)$ より、
を得る。ここで極限の和の性質を用いた。

補足
  上記の定理の対偶から次の関係を得る。 すなわち、 数列 $ \{ a_{n} \}$ が $0$ に収束しないならば、すなわち、
であるならば、 級数
発散する
  例えば、$r=1$ の場合の等比級数
は、各項の極限が
であるので発散する。
$\sum a_{n}$ が収束 $\hspace{1mm} \Longrightarrow \hspace{1mm}$ $\{ a_{n} \}$ が有界数列
  級数
収束するならば、 数列 $\{a_{n} \}$ は 有界な数列である。すなわち、 全ての $n$ に対して、
を満たす $M$ が存在する。
証明
  級数
が収束すると仮定する。 この場合、 上記で証明したように、 数列 $ \{ a_{n} \}$ は $0$ に収束する。すなわち、
が成り立つ。これより、
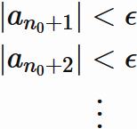
も成り立つ。これを $\epsilon$ 論法で表すと、 次のように言い表せる。すなわち、 任意の正の数 $\epsilon$ に対して、
を満たす $n_{0}$ が存在する (「数列の極限」を参考)。 したがって、
が成り立つので、$M$ を
と定義すると ($\max$ は $[\hspace{3mm}]$ の中の最大値)、 全ての $n$ に対して、
が成り立つ。このような $M$ が存在するので、 $\{ a_{n} \}$ は有界な数列である。

$\small \sum a_{n}$ が収束 $\hspace{1mm} \Longleftrightarrow \hspace{1mm}$ $ \small \lim_{m,n \rightarrow \infty} | \sum_{k=n}^{m} a_{k} | = 0$
  級数
収束するならば、
が成り立つ。
証明
  はじめに数列 $\{ a_{n} \}$ の総和を \begin{eqnarray} s_{n} = \sum_{k=1}^{n}a_{k} \end{eqnarray} と表すことにする。このとき、級数が
$$ \tag{1} $$ と表せるので、級数 ($(1)$ の左辺) が収束することは数列 $\{ s_{n} \}$ が収束することと同値である。 一般に数列が収束することと、その数列がコーシー列であることは同値であるので、 級数 ($(1)$ の左辺) が収束することは、$\{ s_{n} \}$ がコーシー列であることと同値である。つまり、まとめると、
$$ \tag{2} $$ が成り立つ。最後はコーシー列の定義を用いた。 また最後の式の左辺は、
と表せることから、$(2)$ より、
が成り立つ。最後に $m=l+1$ とすると、 $l \rightarrow \infty$ ならば $m \rightarrow \infty$ であるので、
が成り立つことが分かる。