交代級数の収束

交代級数
交代級数と収束性
  以下のように各項の符号が順に入れ替わる級数を交代級数 (alternating series) という。
交代級数
ここで $a_{i} \geq 0$ である。
  交代級数の各項が次第に小さくなり、すなわち
を満たし、
であるならば、 交代級数は収束する。
証明
    第 $n$ 項までの和を $S_{n}$ とする。すなわち、
とする。 このとき、$2n+2$ 項までの和 $S_{2n+2}$ は、 $2n$ 項までの和 $S_{2n}$ によって、
と表されるが、$a_{2n+1} \geq a_{2n+2}$ であるので、
が成立する。よって $S_{2n}$ は単調増加数列する。
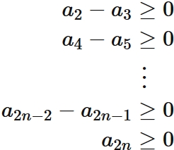
  また $S_{2n}$ は
と表されるが、括弧で囲まれた部分はすべて正であるので、すなわち
であるので、
が成立する。 ゆえに偶数項までの和 $S_{2n}$ は、上に有界な単調増加数列であるので、収束する。
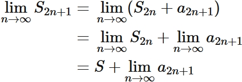
  その収束値を $S$ とする。 すなわち、
$$ \tag{1} $$ とすると、奇数項までの和 $S_{2n+1}$ は、
を満たす。 仮定より $\lim_{n\rightarrow \infty}a_{2n+1} = 0$ であるので、
$$ \tag{2} $$ が成立する。 よって、 奇数項までの和 $S_{2n+1}$ は、偶数項までの和と同じ極限値 $S$ に収束する。
  以上の$(1)$$(2)$ より、
を得る。 $S_{n}$ は交代級数の第 $n$ 項までの部分和であったので、 (問題の仮定を満たす) 交代級数が収束することが示された。

具体例:   (交代調和級数)
  交代調和級数
交代調和級数
は収束する。
解説
  $ a_{n} = \frac{1}{n} $ と置くと、 交代調和級数は、
と表される。 このとき、$a_{n}$ には
が成り立つので、 交代級数の収束条件を満たす。 したがって、 交代調和級数は収束する。
  実際、交代調和級数の収束値は、
であることが知られている。 これを確かめるためには、 $\log(1+x)$ のマクローリン展開
において、$x=1$ とすればよい。