スターリングの公式の証明

目次
- スターリングの公式
- 補足
スターリングの公式
  自然数 $N$ が十分に大きい場合に、 $N$ の階乗の対数は
スターリングの公式
と近似できる。
  この近似をスターリングの公式 (Stirling's formula) という。

証明
  次の積分
スターリングの公式
$$ \tag{1} $$ に着目し、積分区間を幅が $\frac{1}{2}$ の区間に分けて
スターリングの公式
と表す。さらに右辺を奇数項と偶数項に分けてまとめると、
$$ \tag{2} $$ と表せる。 ここで被積分関数 $\log x$ は単調増加関数 であるので、 区間 $(n, n+\frac{1}{2}]$ において、
が成り立つ。これより、
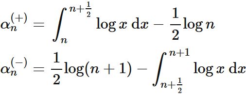
が成り立つ。 そこで、左辺と右辺の差によって、$\alpha^{(+)}_{n}$ を
と定義すると、 $\alpha^{(+)}_{n}$ は正の数である (下図参考)。
スターリングの公式の証明ための対数関数ローカル
同じように、 $\log x$ の単調増加関数であるので、 区間 $[n+\frac{1}{2}, n+1)$ において、
が成り立つ。 これより、
が成り立つ。 そこで、右辺と左辺の差によって、$\alpha^{(-)}_{n}$ を
と定義すると、$\alpha^{(-)}_{n}$ は正の数である (上図参考)。
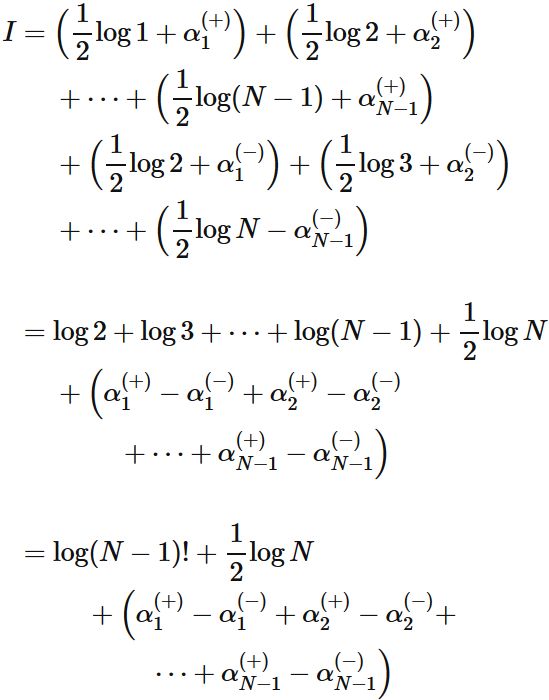
  $\alpha^{(+)}_{n}$ と $\alpha^{(-)}_{n}$ を用いると、 $(2)$ の 積分 $I$ を
と表せる。 この式をさらに
と書き直す。最後の等式では対数関数の積の性質を用いた。 一方 $(1)$ より積分 $I$ の値が
であることから
が成り立つ。最後の等号で $\delta_{N}$ を
と定義した。対数関数の性質を用いて、さらに整理すると、
となり、 これより
$$ \tag{3} $$ を得る。
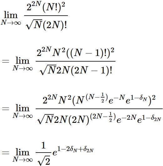
  この結果をウォリスの公式
に代入すると、左辺が
と表されることから
$$ \tag{4} $$ が成立する。
  下記補足で示すように $N \rightarrow \infty$ の極限で $\delta_{N}$ は収束するので、 極限を $\delta$ と定義すると、すなわち、
とすると、$(4)$ から
を得る。 この結果と $(3)$ から、十分に大きな $N$ に対して
という近似式が得られる。 この式から
を得るが、$N$ が十分に大きいことから、$\log \sqrt{2\pi}$ と $-1$ の項を無視し、 加えて
と近似することによって、
を得る。この近似式をスターリングの公式という。

補足:   総和 $\delta_{N}$ の収束について
  上で定義した総和
$$ \tag{1} $$ が $N \rightarrow \infty$ の極限で収束することを証明する。 ここで各項は
$$ \tag{2} $$ である。
  $\alpha^{(+)}_{n} > 0$ かつ $\alpha^{(-)}_{n} > 0$ であるので (上の証明を参考)、 $(1)$ は正の項 ($\alpha^{(+)}_{n}$) と負の項 ($-\alpha^{(-)}_{n}$) が交互に現れる総和である。 このような総和の $N \rightarrow \infty$ の極限を交代級数と呼ぶ。
 
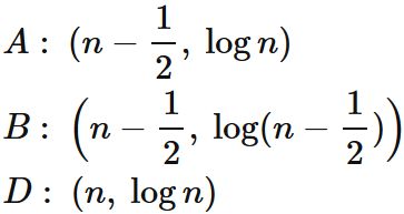
  各項の大きさを比較するために、幾つかの点を定義する(下図参考)。 点 $A$、点 $B$、点 $D$ をそれぞれ座標値が
の点とする。 点 $D$ における $\log x$ の接線と $x= n-\frac{1}{2}$ との交点を $C$ とし、 $x= n+\frac{1}{2}$ との交点を $H$ とする。
スターリングの図2
点 $E$、点 $G$、点 $I$、点 $J$ をそれぞれ座標値が
の点とし、 点 $D$ と点 $J$ を通る直線と $x= n+\frac{1}{2}$ との交点を $F$ とする (上図参考)。
  $(2)$ より、
であるので、 $\alpha^{(-)}_{n-1}$ は曲線 $DB$ と線分 $BA$ と線分 $AD$ で囲まれる領域の面積である。 曲線 $DB$ は関数 $\log x$ 上の曲線であり、 $\log x$ が上に凸な関数 (傾きが次第に小さくなる関数) であることから、 $\alpha^{(-)}_{n-1}$ は $\triangle DCA $ よりも大きい。 それを、
$$ \tag{3} $$ と表す。 $\triangle DCA$ と $\triangle DHE$ は合同な三角形なので、互いの面積は等しい。 それを
$$ \tag{4} $$ と表す。 $(2)$ より、 $\alpha^{(+)}_{n}$ は曲線 $DG$ と線分 $GE$ と線分 $ED$ とで囲まれる領域の面積である。 曲線 $DG$ は関数 $\log x$ 上の曲線であり、 $\log x$ が上に凸な関数 (傾きが次第に小さくなる関数) であることから、 $ \alpha^{(+)}_{n}$ の面積は $\triangle DHE$ よりも小さい。 それを
$$ \tag{5} $$ と表す。 また、$\log x$ が上に凸な関数であることから (または図から分かるように)、 $\alpha^{(+)}_{n}$は $\triangle DFE$ の面積よりも大きい。 それを
$$ \tag{6} $$ と表す。 $\triangle DFE$ と $\triangle JFI$ は合同な三角形なので、 互いの面積は等しい。 それを
$$ \tag{7} $$ と表す。 $(2)$ より、 $\alpha^{(-)}_{n}$ は曲線 $JG$ と線分 $GI$ と線分 $IJ$ と で囲まれる領域の面積である。 曲線 $JG$ が関数 $\log x$ 上の曲線であり、 $\log x$ が上に凸な関数であることから (または図から分かるように)、 $\alpha^{(-)}_{n}$ の面積は $\triangle JFI$ の面積よりも小さい。 それを
$$ \tag{8} $$ と表す。
  以上の$(3)(4)(5)(6)(7)(8)$ により、
が成り立つ。これより、
$$ \tag{9} $$ を得る。
  また $(2)$ と対数関数の性質により、
であるから、$n \rightarrow \infty$ の極限において
$$ \tag{10} $$ となる。ここで
を用いた。 同様に
$$ \tag{11} $$ となる。 以上の $(9)$ と $(10)$ と $(11)$ の性質を持つ交代級数は一般に収束するので、$\delta_{N}$ は収束する。