ウォリスの公式の証明

  次の関係をウォリスの公式 (Wallis formula) と呼ぶ。
ウォリスの公式
以下に、証明を記す。
証明
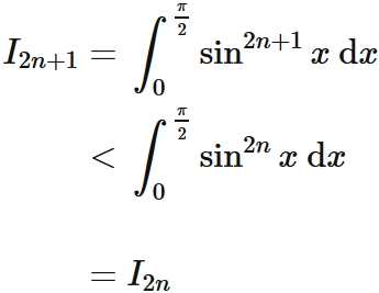
  $n$ を自然数として、
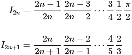
$$ \tag{1} $$ と置くと、 この積分は ウォリスの積分公式 によって、
であることが知られている。これより
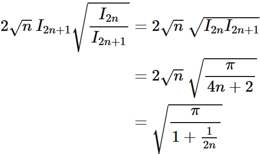
が成り立つ。 この式から、
$$ \tag{2} $$ が成り立つことが分かる。 ところで 領域 $( 0 \lt x \lt \frac{\pi}{2} )$ では $0 \lt \sin x \lt 1$ であるので、
である。したがって、
が成り立つ。 同様に $I_{2n} \lt I_{2n-1}$ も成り立つことから、
である。 右辺は ウォリスの積分公式 によって
と表せることから、
が成り立つ。 この不等式の右辺の $n \rightarrow \infty$ における極限値は $1$ であるので、すなわち、
であるので、はさみうちの定理により、 .
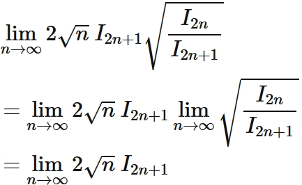
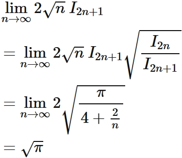
が成り立つ。 これと積の極限の性質から、 $(2)$ の左辺は
である。 したがって、 $(2)$ から
$$ \tag{3} $$ が成立する。 ここで左辺の $I_{2n+1}$ に対して再び ウォリスの積分公式を適用すると
と表せる。これと $(3)$ から、
を得る。 この関係をウォリスの公式 という。