ウォリス積分

目次
- ウォリス積分 ($ \int \sin^n \mathrm{d}x, \int \cos^n \mathrm{d}x$)
- 例題1:   ($n$ が偶数の場合 )
- 例題2:   ($n$ が奇数の場合 ) 

ウォリス積分
  次の積分が成立する。$n$ が偶数のとき、
ウォリス積分 偶数の場合
$n$ が奇数のとき、
ウォリス積分 奇数の場合
これらを ウォリスの積分 (Wallis' integral) という。
  ここで、
を用いた。
証明
$\int \sin^n \mathrm{d}x $ の場合
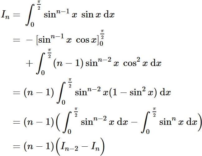
  はじめに
と置く。
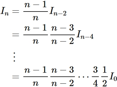
  $\sin^{n}x = \sin^{n-1}x \hspace{1mm} \sin x$ と分けて部分積分をすると、
これより、次の漸化式を得る。
$$ \tag{1} $$   $n$ が偶数の場合、この漸化式から
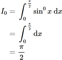
ここで $I_{0}$ は
であるので、
を得る。
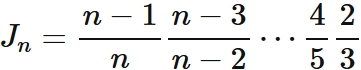
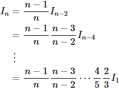
  $n$ が奇数の場合、漸化式 $(1)$ から
ここで $I_{1}$ は
であるので、
を得る。
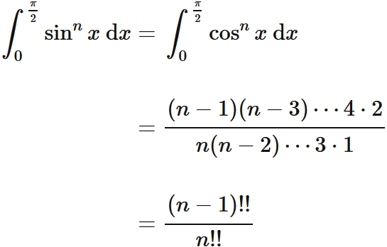
  以上の結果を double factorial の記号
$$ \tag{2} $$ を用いて表すと、$n$ が偶数の場合
$n$ が奇数の場合
である。
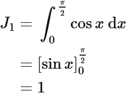
$\int \cos^n \mathrm{d}x $ の場合
  同じ方法で $\cos$ の場合も示される。
と置く。
  $\cos^{n}x = \cos^{n-1}x \hspace{1mm} \cos x$ と分けて部分積分をすると、
これより、次の漸化式を得る。
$$ \tag{3} $$   $n$ が偶数の場合、この漸化式から
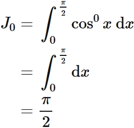
ここで $J_{0}$ は
であるので、
を得る。
  $n$ が奇数の場合、漸化式 $(3)$ から
ここで $J_{1}$ は
であるので、
を得る。
  以上の結果を double factorial の記号 $(2)$ を用いて表すと、 $n$ が偶数の場合
$n$ が奇数の場合
を得る。

例:   $n$ が偶数の場合
 

解答例
  偶数の場合のウォリスの積分公式を用いると、
を得る。$\cos$ の積分に場合も同様。

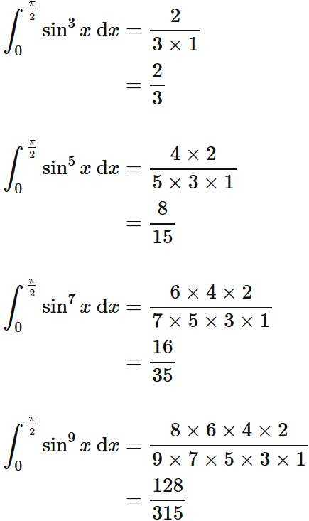
例:   $n$ が奇数の場合
 

解答例
  奇数の場合のウォリスの積分公式を用いると、
を得る。$\cos$ の積分に場合も同様。