対数関数を解説 ~ 性質/公式 ~

対数関数の定義
  指数関数
は、 $a \gt 1$ の場合、 $y$ に関する単調増加関数である。 また、$a \lt 1$ の場合、$y$ の単調減少関数である。 ゆえに 逆関数が存在する。 これを
対数関数の定義
と表し、 を $a$ とする対数関数と呼ぶ。 また、$x$ を真数とよぶ。
  下の左図が $10$ を底とする指数関数、 右図が $10$ を底とする対数関数である。 互いに一方が他方の逆関数になっている。
例:   常用対数
底が $10$ の対数関数常用対数 (common logarithm) という。

具体例
  $x = 10^{y}$ であるので、 例えば、$x=100$ の場合、$y=2$ である。 すなわち、
である。$x=1000$ の場合、$y=3$ である。すなわち、
である。
  常用対数は $10$ 進数での桁数を表すときや、地震のマグニチュードなどで用いられる。

例:   二進対数
  底が $2$ の対数関数二進対数 (binary logarithm) という。

具体例
  $x = 2^{y}$ であるので、 例えば、$x=8$ の場合、$y=3$ である。 すなわち、
である。$x=16$ の場合、$y=4$ である。すなわち、
である。
  二進対数は情報理論でよく用いられる。

例:   自然対数
  底が $e$ (ネピアの定数) の対数関数自然対数 (natural logarithm) という。

補足
  $x = e^{y}$ であるので、 例えば、$x=e$ の場合、$y=1$ である。 すなわち、
である。自然対数は $ \log_{e}$ の代わりに $\ln$ という記号を用いることがある。
自然対数は理論物理学で用いられることが多い。

対数関数の図
$\log 1$
  $1$ の対数は $0$ である。 すなわち、
logarithm of a value of one
が成り立つ。
証明
  対数の定義より、 $\log_{a} 1 = y$ とすると、 $ a^{y} = 1 $ である。よって、 $y=0$ である (正確には指数関数の定義を用いる) 。

$\log_{a} a$
  底と真数が等しい対数の値は $1$ である。 すなわち、
が成り立つ。
証明
  対数の定義より、 $\log_{a} a = y$ とすると、 $ a^{y} = a $ である。よって、 $y=1$ である。

その他の性質
  $a \gt 1$ かつ $ b \gt 1 $ ならば、 \begin{eqnarray} \log_{a} b \gt 0 \end{eqnarray} が成り立つ。
証明
  \begin{eqnarray} \log_{a} b = x \end{eqnarray} とすると、 \begin{eqnarray} b = a^x \end{eqnarray} であり、$a \gt 1$ の場合 \begin{eqnarray} \left\{ \begin{array}{cl} b \lt 1 & (x \lt 0) \\ b = 1 & (x = 0) \\ b \gt 1 & (x \gt 0) \end{array} \right. \end{eqnarray} である。よって、 $b \gt 1$ の場合、$x \gt 0$ である。

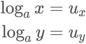
積の対数
  積 $xy$ の対数は、 $x$ の対数と $y$ の対数の和に等しい。 すなわち、
積の対数関数
が成立する。
証明
  底を $a$ とする対数関数をそれぞれ
と置くと、 対数関数の定義から、
であり、
が成り立つ。
  すると、 再び対数関数の定義の定義から $ u_x + u_y$ は、
と表される。 ゆえに、
が成立する。

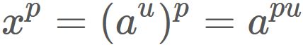
べき関数の対数関数
  べき関数 $x^{p}$ の対数関数は、 べきと対数関数の積になる。 すなわち、
冪の対数関数
が成立する。
証明
  底を $a$ とする対数関数 を
と置くと、 対数関数の定義から、
である。 よって、
が成り立つ。
  すると、 対数関数の定義から、 $pu$ が
と表されるので、
が成り立つ。

分数の対数関数
  分数 $x/y$ の対数関数は、 $x$ の対数関数と $y$ の対数関数の差に等しい。 すなわち、
分数の対数関数
が成立する。
証明
  はじめに
と表し、 右辺に対し、 積の対数関数の性質を用いると、
である。 ここで、 $\log_{a} y^{-1}$ が べき関数の対数関数の性質から、
と表せるので、
が成り立つ。

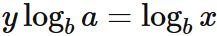
対数関数の底変換
  底が $a$ の対数関数 $\log_{a} x$ は、 底が $b$ の対数関数 $\log_{b} x$ によって、
対数関数の底変換の公式
と表される。
証明
  はじめに
と置く。 対数関数の定義から
である。 これより、
である。 対数関数の性質から、 左辺を
と表せるので、
が成立する。 $y = \log_{a} x$ であったので、 この式から、
を得る。

連続性
対数関数連続関数である。
証明
  指数関数が連続関数であるので、 その逆関数である対数関数もまた連続関数である (「$f^{-1}$の連続性」を参考)。

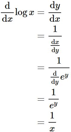
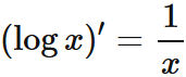
対数関数の微分
  底が $e$ の対数関数 $\log {x}$ の微分は、
である $(x > 0)$。
証明
  $x = e^{y}$ の逆関数が $y= \log x$ であるので、 逆関数の微分によって
である。

対数関数 log の積分
  対数関数 log の積分は、
対数関数の積分
である。
証明
  対数関数の微分
であることから、 $x \log x$ の微分は
である。 これより、
を得る。

対数関数の単調性
  底が $1$ より大きい場合、 対数関数は単調増加関数である。 すなわち、 \begin{eqnarray} f(x) &=& \log_{a} x \hspace{5mm} (a \gt 1) \end{eqnarray} とするとき、 \begin{eqnarray} f(x) \lt f(x+h) \hspace{5mm} (h \gt 0) \end{eqnarray} が成り立つ。
証明
  分数の対数関数の性質から \begin{eqnarray} && f(x+h) - f(x) \\ &&= \log_{a} (x+h) - \log_{a} x \\ &&= \log_{a} \frac{x+h}{x} \\ &&= \log_{a} \left( 1+\frac{h}{x} \right) \end{eqnarray} であり、 $h>0$ であるので \begin{eqnarray} 1+\frac{h}{x} \gt 1 \end{eqnarray} であるので、 \begin{eqnarray} \log_{a} \left( 1+\frac{h}{x} \right) \gt 0 \end{eqnarray} が成り立つ ($b > 1$ ならば $\log_{a} b > 0$ を用いた)。 よって、 \begin{eqnarray} f(x+h) \gt f(x) \end{eqnarray} が成り立つ。
対数関数は単調増加の図
図は、底が $e$ の対数関数(赤線)と、 底が $10$ の対数関数(青線)である。 単調増加している様子が見て取れる。

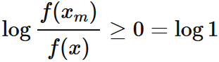
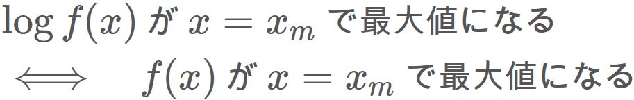
$\log f(x)$ が最大になるとき、$f(x)$ も最大になる
  正の関数 $f(x)$ の対数 $\log f(x)$ が $x=x_{m}$ で最大値をとるならば、 もとの関数 $f(x)$ もまた $x=x_{m}$ で最大になる。 また、その逆も成立する。 すなわち、 $f(x)>0$ であるとき、
が成立する。

証明
  はじめに、 \begin{eqnarray} && \log f(x) \hspace{1mm} が \hspace{1mm} x=x_{m} \hspace{1mm} で最大値 \\ && \Longrightarrow \hspace{5mm} f(x) \hspace{1mm} が \hspace{1mm} x=x_{m} \hspace{1mm} で最大値 \end{eqnarray} を証明する。
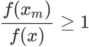
  正の関数 $f(x)$ の対数関数 $\log f(x)$ が $x=x_{m}$ で最大になると仮定する。 すなわち、任意の $x$ に対して、
が成立すると仮定する。 分数の対数関数の性質を用いると、
が成り立つことが分かるので、 $\log$ が単調増加関数であることから、
である。 これと $f(x) > 0$ であることから、
を得る。 これは関数 $f(x)$ が $x=x_{m}$ で最大になることを表している。
  続いて \begin{eqnarray} && \log f(x) \hspace{1mm} が \hspace{1mm} x=x_{m} \hspace{1mm} で最大値 \\ && \Longleftarrow \hspace{5mm} f(x) \hspace{1mm} が \hspace{1mm} x=x_{m} \hspace{1mm} で最大値 \end{eqnarray} を証明する。
  そこで、任意の正の $x$ に対して、
が成立すると仮定する。 $f(x) > 0$ であるので、
が成り立ち、 $\log$ が単調増加関数であることから、
である。この式は 分数の対数関数の性質を用いると、
と表せる。 これは $\log f(x)$ が $x=x_{m}$ で最大になることを表している。