単調増加 ⇒ 逆関数の存在

単調増加/減少関数
  変数が大きくなるに連れて値が大きくなる関数、 すなわち、
単調増加関数
が成り立つ関数を(狭義)単調増加関数 (monotonically increasing function) という。
  反対に、 変数が大きくなるに連れて値が小さくなる関数、 すなわち、
単調減少関数
が成り立つ関数を(狭義)単調減少関数 (monotonically decreasing function) という。
  また、単調増加関数と単調減少関数のことを単調関数 (monotonic function) と呼ぶ。
例: 単調関数
1. 関数
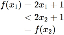
は単調増加関数である。 なぜなら、$x_{1} \lt x_{2}$ のとき、
が成り立つからである (下図が $f(x)$ )。
2. 指数関数
は単調増加関数である。 なぜなら、 $e^{x} > 0$ かつ $0 \lt e^{x} \lt 1$ $(x \lt 0)$ であるので、 $x_{1} \lt x_{2}$ のとき、
が成り立つからである (下図が $f(x)$ )。
以下の単調増加関数に関する議論は単調減少関数に対しても成り立つ。
$f$ が単調増加 $\Longrightarrow$ 逆関数 $f^{-1}$ の存在
  区間 $[x_{1}, x_{2}]$ で定義される関数 $f(x)$ が連続関数であり、 なおかつ単調増加関数であるならば、 $f(x)$ には区間 $[f(x_{1}), f(x_{2})]$ で定義される逆関数 $f^{-1}$ が存在する。

証明
  $x_{1} \lt x_{2}$ とし、 区間 $[x_{1}, x_{2}]$ で定義される関数 $f(x)$ が連続かつ単調増加関数であるとする。 単調増加性により、
が成り立つので、 中間値の定理によって 任意の $y \in [f(x_{1}), f(x_{2})]$ に対して、
$$ \tag{1} $$ を満たす $x \in [x_{1}, x_{2}]$ が存在する。
  区間 $[x_{1}, x_{2}]$ に含まれる $x$ でない任意の数を $x'$ とすると、 $f (x)$ の単調増加性により、 $x \lt x'$ であれば
が成り立ち、 $x > x'$ であれば
が成り立つので、
である。したがって、 $(1)$ を満たす $x$ は唯一つである。
  以上から、 区間 $ [f(x_{1}), f(x_{2})]$ に含まれる任意の $y$ には、 $(1)$ を満たす $x$ が区間 $ [x_{1}, x_{2}]$ の中に唯一つ存在する ($y$ を指定すると、一つ値 $x$ が定まる)。 したがって、 区間 $ [f(x_{1}), f(x_{2})]$ を定義域とし、 区間 $ [x_{1}, x_{2}]$ を値域とする $y$ の関数が存在する。 これを $y=f(x)$ の逆関数といい、
と表す。

例: 逆関数
 
1. 関数
連続かつ単調増加関数であるので、逆関数が存在し、実際に表すと、
である ($f(x)=y$ と置いて "$x= \hspace{3mm} $" の形で解くと求められる。下図が $f^{-1}(x)$)。
2. 指数関数
連続かつ単調増加関数であるので、逆関数が存在する。 それを
と表す。 これを対数関数という (下図が $f^{-1}(x)$)。
$f$ が単調増加 $\Longrightarrow$ $f^{-1}$ も単調増加
  連続関数 $y=f(x)$ が単調増加関数であるならば、 逆関数 $f^{-1}(x)$ もまた単調増加関数である。

証明
  二つの異なる実数を $x_{1}$, $x_{2}$ とする。
$$ \tag{1} $$ $f(x)$ が単調増加関数であるので、
が成り立つ。 これの対偶は、
である。 一般に $a > b$ ならば $a \geq b$ であることと $(1)$ を用いると、
$$ \tag{2} $$ が成り立つ。 ここで、
と置くと、$f(x)$ が 連続かつ単調増加する関数であることから、 逆関数 $f^{-1}$ が存在
である。 これらを用いると、$(2)$ は
と表される。 これは逆関数 $f^{-1}(y)$ が単調増加関数であることを表している。

例: 逆関数も単調増加
 
1. 関数
は単調増加関数であり、 これの逆関数
もまた単調増加関数である。
2. 指数関数
は単調増加関数であり、 これの逆関数
は対数関数であり、単調増加関数である (証明は対数関数の単調増加性を参考)。
$f^{-1}$ の連続性
  単調増加する連続関数 $f(x)$ の逆関数 $f^{-1}(y)$ は連続関数である。

証明
  関数 $f(x)$ が連続かつ単調増加する関数であるとする。 また、証明を簡潔にするため $f(x)$ は定義域と値域が実数全体であるとする。
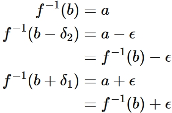
  任意の正の数 $\epsilon$ を間隔とする 3つの数を
とし、
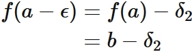
$$ \tag{1} $$ と表す。 $f$ は単調増加関数であるので、
が成り立つ。 したがって、
と $\delta_{1}$ を定義すると、 $\delta_{1}$ は正の数であり、 $(1)$ から
$$ \tag{2} $$ である。 同様に、 $f$ が単調増加関数であることから、
が成り立つので、$\delta_{2}$ を
と定義すると、 $\delta_{2}$ は正の数であり、 $(1)$ から
$$ \tag{3} $$ である。
  関数 $f$ は連続かつ単調増加する関数であるので、逆関数が存在する。 これを $f^{-1}$ と表すと、 $(1)$ と $(2)$ と $(3)$ から
$$ \tag{4} $$ である。ここで 正の数 $\delta$ を
と定義すると ($\min[\cdot, \cdot]$ は括弧の中の数の最小値を表す記号)、
である。 これと $f^{-1}$ の単調増加性と $(4)$ から
$$ \tag{5} $$ が成り立つ。
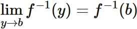
  任意の正の $\epsilon$ に対して $(5)$ を満たす正の数 $\delta$ が存在することが確かめられたので、
である。すなわち、$f^{-1}$ は連続関数である。

上の証明では、 $f(x)$ が実数全体で定義される関数であることを前提条件としたが、 $f(x)$ がある閉区間で定義されていたとしても、 ほとんど同じように $f^{-1}$ の連続性を証明することが可能である。