中間値の定理

中間値の定理
  区間 $[a, b]$ 上で連続な関数 $f(x)$ が $ f(a) \lt f(b) $ を満たすとき、
を満たす任意の $D$ に対して、
となる $d$ が区間 $(a, b)$ の中に存在する。

証明
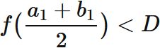
  関数 $f(x)$ が区間 $[a, b]$ 上で連続な関数であるとする。 このとき、
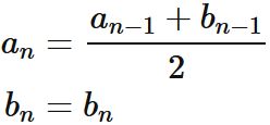
$$ \tag{1} $$ を満たす任意の $D$ に対して、 数列 $a_{n}$ と $b_{n}$ を以下のように定義する。
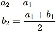
  はじめに $n=1$ のとき、
$$ \tag{2} $$ とする。このとき、
であり、 $(1)$ $(2)$ から
$$ \tag{3} $$ が成り立つ。
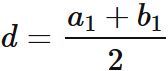
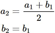
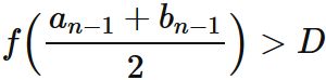
  続いて $n=2$ のとき、$D$ が
$$ \tag{4} $$ を満たす場合には、
$$ \tag{5} $$ とする(下図参考)。
一方
$$ \tag{6} $$ を満たす場合には、
$$ \tag{7} $$ とする。
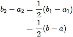
このとき、$(4)$ と $(6)$ のいずれの場合であっても、 $(5)$ $(7)$ から、
が成り立つ。 加えて、$(3)$ $(4)$ $(5)$ $(6)$ $(7)$ より、
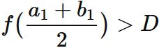
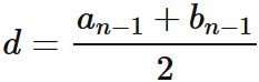
$$ \tag{8} $$ が成り立つ。 $ f(\frac{a_{1}+b_{1}}{2}) = D $ の場合には、
と置き、中間値の定理が証明されたことになるので、議論を終了する。
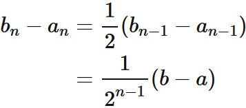
  以下同様な手続きによって数列 $a_{n}$ を定義する。 すなわち、 $D$ が
$$ \tag{9} $$ を満たす場合には、
$$ \tag{10} $$ とする。 一方、 $D$ が
$$ \tag{11} $$ を満たす場合には、
$$ \tag{12} $$ とする。 このとき、$(9)$ と $(11)$ のいずれの場合であっても、 $(8)$ $(10)$ から
$$ \tag{13} $$ であり、
$$ \tag{14} $$ が成り立つ ($(8)$ を参考。 $ f(a_{n-1}) \lt D \lt f(b_{n-1}) $ のもとで $(9) (10) (11) (12)$ から導かれる ) 。 $ f(\frac{a_{n-1}+b_{n-1}}{2}) = D $ の場合には、
と置き、中間値の定理が証明されたことになるので、議論を終了する。
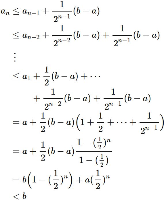
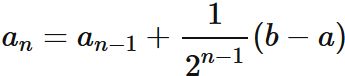
  このように定義した数列 $a_{n}$ は、 $(9)$ の場合、 $(13)$ から
$$ \tag{15} $$ であり、 $ (11) $ の場合、
$$ \tag{16} $$ であるので、
である。 したがって、 $a_{n}$ は単調増加数列である。
  また、$a_{n}$ は $(15)$ の途中式
と $(16)$ と 等比数列の和の公式から
$$ \tag{17} $$ が成り立つので、上に有界な数列である。
  以上から、$a_{n}$ は単調増加する上に有界な数列であるので収束する (実数の連続性の公理)。 そこで極限値を $d$ とすると、
$$ \tag{18} $$ である。 $(17)$ と $(18)$ と有界な数列の極限の性質から
である。 また、$a_{n}$ は単調増加数列であり、$a_{1} =a$ であることから、$a \leq a_{n}$ である。 よって、$(18)$ から \begin{eqnarray} a \leq d \end{eqnarray} である。したがって、 $$ a \leq d \leq b $$ $$ \tag{19} $$ である。 これと $f(x)$ が連続関数であることから、 \begin{eqnarray} \lim_{n \rightarrow \infty} f(a_{n}) &=& \lim_{a_{n} \rightarrow d} f(a_{n}) \\ &=& f(d) \end{eqnarray} $$ \tag{20} $$ である。 一方、$b_{n}$ の極限もまた $(13)$ から \begin{eqnarray} \lim_{n \rightarrow \infty} b_{n} &=& \lim_{n \rightarrow \infty} \Big( a_{n} + \frac{1}{2^{n-1}}(b-a) \Big) \\ &=& \lim_{n \rightarrow \infty} a_{n} \\ &=& d \end{eqnarray} であり、 $f(x)$ が連続関数であることから、 \begin{eqnarray} \lim_{n \rightarrow \infty} f(b_{n}) &=& \lim_{b_{n} \rightarrow d} f(b_{n}) \\ &=& f(d) \end{eqnarray} $$ \tag{21} $$ である。
  ところで、 $(14)$ と 有界な数列の極限の性質から \begin{eqnarray} \lim_{n \rightarrow \infty} f(a_{n}) \leq D \leq \lim_{n \rightarrow \infty} f(b_{n}) \end{eqnarray} が成り立つので、 $(20)(21)$ から \begin{eqnarray} f(d) \leq D \leq f(d) \end{eqnarray} である。すなわち、 \begin{eqnarray} f(d) = D \end{eqnarray} である。 $(19)$ より、$d$ は区間 $[a,b]$ の中にあるので、 次の結論を得る。すなわち、 区間 $[a, b]$ 上で連続な関数 $f(x)$ が $ f(a) \lt f(b) $ を満たすとき、 \begin{eqnarray} f(a) \lt D \lt f(b) \end{eqnarray} を満たす任意の $D$ に対して、 \begin{eqnarray} f(d) = D \end{eqnarray} となる $d$ が区間 $[a, b]$ の中に存在する。