ネイピア数とは?

定義と収束
  ネイピア数 (Napier's constant) $e$ は
ネピアの定数
と定義される。 オイラー数 (Euler's number) と呼ばれることもある。 以下では、 右辺の極限が収束することを証明する。
証明
  数列 $a_{n}$ を
と定義する。 $a_{n}$ が有界な単調増加数列であることを証明する。
単調増加性
  二項定理を用いると、
ネピア数の数列は単調増加
が成り立つので、 $a_{n}$ は単調増加数列である。
有界性
  二項定理を用いると、
と表されることから分かるように、
$$ \tag{1.1} $$ である。 また、 等比数列の和の公式を用いると、
ネピア数の数列は有界
$$ \tag{1.2} $$ が成り立つ。 $(1.1)$ $(1.2)$ より、
であるので、$a_{n}$は有界である。
結論
  以上から、$a_{n}$ は有界な単調増加数列であるので収束する (実数の連続性の公理)。

$e$ の意味: 連続複利
  ネイピア数
を理解するための著名な例の連続複利の問題を解説する。
証明
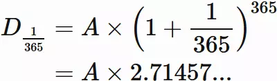
  1年間で100%の利息を受け取る口座に $A$ 円を預けたとする。 1年後の預金額を $D_{1}$ とすると、
$$ \tag{2.1} $$ である。 預金額は $2$ 倍になる。
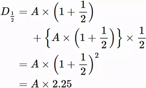
  続いて、利息は $\frac{1}{2}$ になるが、 半年ごとに ($\frac{1}{2}$ 年ごとに) 利息を受け取れる口座に $A$ 円を預けたとする。 このとき、半年後には預金額が
になる。 これを元金として、さらに半年後にもう一度利息を受け取れる。 したがって、 預金を始めてから1年後の預金額を $D_{\frac{1}{2}}$ とすると、
$$ \tag{2.2} $$ である。預金額は $2.25$ 倍になり、$D_{1}$ よりも増える。
  続いて、利息は $\frac{1}{3} $ とさらに減少するが、 4か月ごとに ($\frac{1}{3}$ 年ごとに) 3回利息を受け取れる口座に $A$ 円を預けたとする。 この口座では 4か月後に預金額が
になる。 これを元金として、さらに4か月後にもう一度利息を受け取れる。 預金を始めてから8か月後には預金額が
になる。 これを元金として、さらに4か月後に最後の利息を受け取れる。 この口座での1年後の預金額を $D_{\frac{1}{3}}$ とすると、
$$ \tag{2.3} $$ になる。預金額は約 $2.3703$ 倍になり、 $D_{2}$ よりも増える。
  このように、 1年後の預金額は受け取り期間を短くすればすれほど増えてゆくが、 どこまで増加するであろうか。 それを見るために、今まで議論を一般化し、 利息 $\frac{1}{n} $ を $n$ 回受け取れる口座に $A$ 円を預けたとする。 $1$ 年後の預金額 $D_{\frac{1}{n}}$ は $(2.1)$ $(2.2)$ $(2.3)$ から推測できるように、
である。例えば 毎日利息を受け取る場合には ($n=365$ の場合には)、
となる。 さらに $n$ を大きくするときに、 最終的にどの値になるかを求めることは、 $n \rightarrow +\infty$ の極限を求めることに相当する。 すなわち、
を求めることに相当する。 右辺の極限はネイピア数そのものである。 上で示したように この極限は収束する。 これは、 預金額の増加には限界があることを意味している。 その限界値が $e$ であり、
という値になる。 このようにネイピア数は、 利息を低くしながら利息を受け取る間隔短くしていった場合に、 どこまでの預金額を最終的に増額できるのかの限界値を表す。 このような問題は、 連続複利と呼ばれ、 金融理論の基礎問題の一つである。

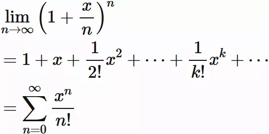
級数による表現
  ネイピア数は、
ネイピア数の級数
という級数によって表すことができる
証明
  二項定理により、
ネイピア数の級数
と表される。 これより、
$$ \tag{3.1} $$ が成り立つ。 $x=1$ の場合を考えることにより、
を得る。


補足
  解析学では $(3.1)$ が指数関数 $e^{x}$ の定義として用いられる。

$e$ は無理数
  $e$ は無理数であることを背理法によって証明する。
証明
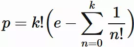
  $e$ が有理数であり、 二つの正の整数 $j$ と $k$ によって、
ネイピア数は無理数の背理法
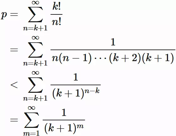
$$ \tag{4.1} $$ と表せると仮定する。 $k$ とネイピア数を用いて $p$ を
$$ \tag{4.2} $$ を定義する。
  はじめに $p$ が整数であることを示す。 $(4.1)$ $(4.2)$ より
である。 ここで、第一項の $ j(k-1)!$ は整数である。 また、第二項は総和は
と表せることから分かるように、どの項も整数である。 ゆえに $p$ は整数である。
  続いて $p \gt 1$ を示す。 $(4.2)$ に $e$ の級数による表現を代入すると、
$$ \tag{4.3} $$ と表せる。 $k$ は正の整数であるから、 $p \gt 1$ である。
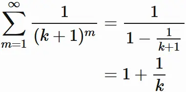
  続いて $p \lt 2$ を示す。 $(4.3)$ より、
が成り立つ。 最後の等号では $n-k=m$ と置いた。 等比級数の公式を用いると、 $\frac{1}{k+1} \lt 1$ であることから、
と表せるので、
である。 以上から、
  • $p$ は整数
  • $1 \lt p \lt 2$
という矛盾した結論を得る。したがって、 背理法により、 $p$ が有理数であるという仮定が誤っていると結論づけられる。 ゆえに、 $p$ は無理数である。

幾つかの表現
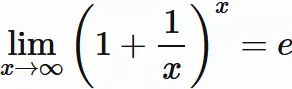
  ネイピア数 $e$ は、 数列 $ \left( 1 + \frac{1}{n} \right)^{n} $ の極限によって定義されるが、 実関数 $f(x) = \left( 1 + \frac{1}{x} \right)^{x}$ の極限を用いて表しても良い。 すなわち、
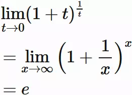
$$ \tag{5.1} $$ が成り立つ。 また、 \begin{eqnarray} e = \lim_{t \rightarrow 0}(1+t)^{\frac{1}{t}} \end{eqnarray} $$ \tag{5.2} $$ と表すこともできる。
● $(5.1)$ の証明
  数列 $\left( 1+ \frac{1}{n+1} \right)^{n}$ の極限は、 ネイピア数 $e$ に等しいことが次のように示される。
ここで、 数列の積の極限が極限の積に等しいことを用いた。 また、 最後の等号では $m=n+1$ と置いた。 これより、 任意の正の数 $\epsilon$ に対して、
を満たす自然数 $N_{1}$ が存在する。 同じように、 数列 $\left( 1+ \frac{1}{n} \right)^{n+1}$ の極限は、 ネイピア数 $e$ に等しいことが次のように示される。
ここで、 2行目と3行目が等しいことを示すときに、 数列の積の極限が極限の積に等しいことを用いた。 これより、 任意の正の数 $\epsilon$ に対して、
を満たす自然数 $N_{2}$ が存在する。 従って、
を満たす自然数を $N$ とすると、
$$ \tag{5.3} $$ が成り立つ。 このような $N$ に対し、 $ N+1 \lt x $ を満たす任意の実数を $x$ とする。 $x$ には、
$$ \tag{5.4} $$ を満たす自然数 $n$ が存在する。 $(5.4)$ から
が成り立つ。 これより、
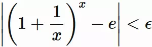
が成り立つので、 関数 $ \left| \left( 1+ \frac{1}{x} \right)^{x} -e \right| $ は、 不等式
を満たすか、 不等式
を満たすかのどちらかであるが、 いずれの場合であっても、 $(5.3)$ から
$$ \tag{5.5} $$ が成り立つ。
  以上の $(5.4)$ と $(5.5)$ から、 任意の正の数 $\epsilon$ に対して、
が成り立つ整数 $N$ が存在することが示された。 したがって、
が成り立つ実数 $x'$ 存在する ($ x \gt x' \gt N+1$ を満たす実数 $x'$ ) 。 したがって、
を得る。


● $(5.2)$ の証明
  $\frac{1}{t}=n$ とすると、 $t \rightarrow 0$ ならば $n \rightarrow \infty$ なので、
が成り立つ。

$\Big(1-\frac{1}{n} \Big)^{n} \rightarrow \frac{1}{e}$
  次の関係
が成り立つ。
  証明
  ネイピアの定数の定義極限の性質より、
最後の部分で $m+1 = n$ とすると、
であるので、
が成り立つ。 以上から
を得る。