テイラー展開の性質と例

  テイラー展開を解説するための準備としてテイラーの定理の解説と証明を記す。
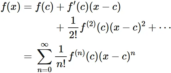
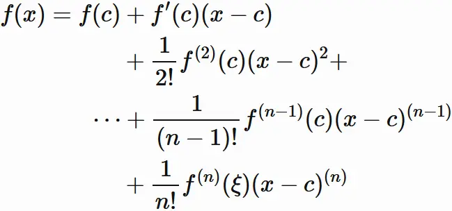
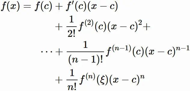
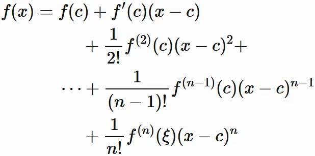
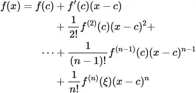
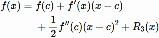
テイラーの定理
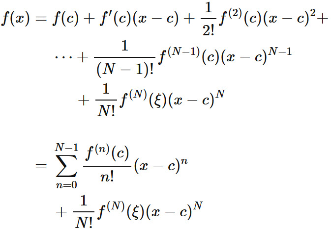
  関数 $f(x)$ が区間 $(a,b)$ で $n$ 階微分可能であるとき、 区間 $(a,b)$ に含まれる $c$ と 任意の $x \in (a,b)$ に対して、
テイラーの定理
を満たす $\xi$ が $c$ と $x$ の間に存在する。 これをテイラーの定理という。 また、最後の項は剰余項と呼ばれる。
解説
  テイラーの定理は、関数を多項式近似する式であることを説明する。
  関数 $f(x)$ の $x=c$ における接線 $f_{1} (x)$ は、
$$ \tag{1.1} $$ である。
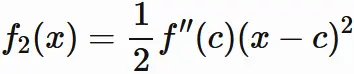
$f(x)$ と 接線 $f_{1}(x)$ の差を $R_{2} (x)$ とすると、 $(1.1)$ から
$$ \tag{1.2} $$ であり、 $f(x)$ は
と表される。 この式は $n=2$ の場合のテイラーの定理と第二項まで一致する。 この式から分かるように、 $R_{2}(x)$ を良い精度で近似する二次関数が求まれば、 $f(x)$ は二次関数で近似される。
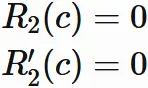
  そこで $R_{2}(x)$ の次の性質に着目する。 すなわち、 $R_{2}(x)$ が
を満たす。 これらは $R_{2}(c)$ が $x=c$ において $x$ 軸と接する関数であることを意味する (下図)。
$x=c$ において $x$ 軸と接する二次関数は一般的に
$$ \tag{1.3} $$ と表される。 この二次関数を $R_{2}(x)$ を近似する関数にしたい。 そこで、 $f_{2}(x)$ が $x=c$ において $R_{2}(x)$ と同じ二階微分を持つことを課すと、 すなわち、
を課すと、 $(1.2)$ と $(1.3)$ から
が得られる。 これと $(1.3)$ から
である。 このように得られた $f_{2}(x)$ は、 $x=c$ において $x$ 軸と接し、 同じ二階微分を持つという意味で $R_{2} (x)$ をよく近似する二次関数になっている。
  一方、 $f_{2}(x)$ は $R_{2} (x)$ と等しいわけではないので、 両者の違いを
と定義すると、 $f(x)$ は
と表される。 これは $n=3$ の場合のテイラーの定理と第三項まで一致する。
  このような考察を繰り返して行くと、
という式が現れる。 この式は第 $n$ 項までテイラーの定理と一致する。 これまでの考察から分かるように、 第 $n$ 項までの式は、関数 $f(x)$ を $n-1$ 次関数で近似した式と解釈される。
  ゆえにテイラーの定理は、 関数 $f(x)$ を $n-1$ 次関数で近似した式と $f(x)$ との差を表す $R_{n}(x)$ が、 $x$ と $c$ の間にある数 $\xi$ によって
と表されることを示す定理である。
  $R_{n}(x)$ は 関数 $f(x)$ と $n-1$ 次近似式との差分を表しており、 剰余項と呼ばれる。 以下に証明を記す。

証明
  $x=c$ の場合、明らかに
が成り立つ。 そこで以下では、 $x \neq c$ の場合のみを考察する。
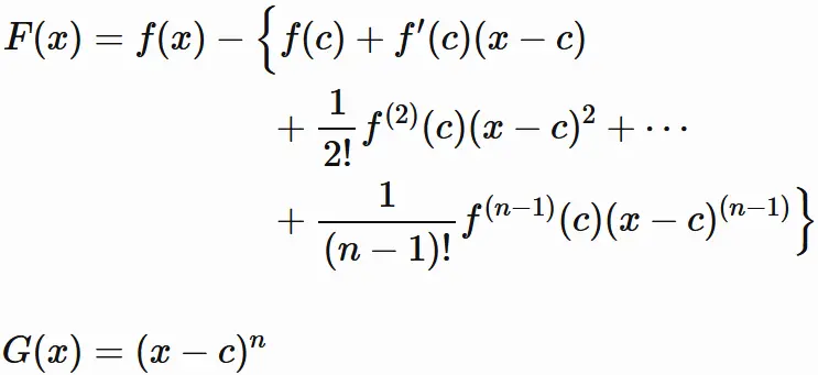
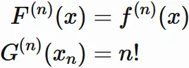
  関数 $F(x)$ と $G(x)$ をそれぞれ
$$ \tag{1.4} $$ と定義し、 $a \lt x \lt c \lt b$ の場合の証明を行う。
  $f(x)$ が区間 $(a,b)$ で $n$ 階微分可能であることから、 これよりも内側の区間 $[x,c]$ において関数 $F(x)$ は連続でかつ微分可能である (微分可能ならば連続を参考)。 $G(x)$ もこの区間で連続かつ微分可能であるので、 コーシーの平均値の定理 により
$$ \tag{1.5} $$ を満たす $x_{1}$ が区間 $(x, c)$ の中に存在する。
$(1.4)$ より、 $F(c)=G(c)=0$ であるので、 $(1.5)$ から
$$ \tag{1.6} $$ を得る。
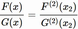
  同じように、 $f(x)$ が区間 $(a,b)$ で $n$ 階微分可能であることから、 これよりも内側の区間 $[x_{1},c]$ において関数 $F'(x)$ は連続かつ微分可能である。 $G'(x)$ もこの区間で連続かつ微分可能であるので、 コーシーの平均値の定理 により
を満たす $x_{2}$ が区間 $(x_{1}, c)$ の中に存在する ($F^{(2)}$ と $G^{(2)}$ は二階微分) 。
$F'(c)=G'(c)=0$ であることから、
$$ \tag{1.7} $$ である。 以上の $(1.6)$ と $(1.7)$ から
を得る。 ここで $x_{2}\in(x, c)$ である。
  同様の手続きを $F^{(n)}$ が現れるまで繰り返すことによって
$$ \tag{1.8} $$ を満たす $x_{n}\in(x, c)$ が存在することが示される。 $(1.4)$ より
であることから、 $(1.8)$ から
を得る。 ここで $x_{n} = \xi$ とすると、 $(1.4)$ から
となる。 ここで $\xi \in (x,c)$ ($\xi$ は $x$ と $c$ の間の数) である。 以上より $a \lt x \lt c \lt b$ の場合に、テイラーの定理が証明された。
  $a \lt c \lt x \lt b$ の場合も、 同様の考察によって証明される。




  続いてテイラーの級数の定義とテイラー展開との関連性について述べる。
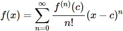
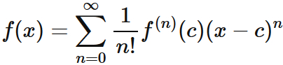
テイラー級数
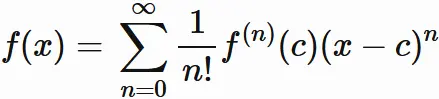
  $x=c$ において無限回微分可能な関数 $f(x)$ によって定義される次の級数
テイラー級数
テイラー級数という。
テイラー展開
  $x=c$ において 無限回微分可能な関数 $f(x)$ がテイラー級数に等しいとき、 すなわち、
テイラー展開
が成り立つとき、 $f(x)$ は $x=c$ においてテイラー展開可能であるという。 また 右辺を $f(x)$ の $x=c$ におけるテイラー展開 (Taylor expansion) という。
  テイラー展開可能性については、以下の解説を参考。
解説
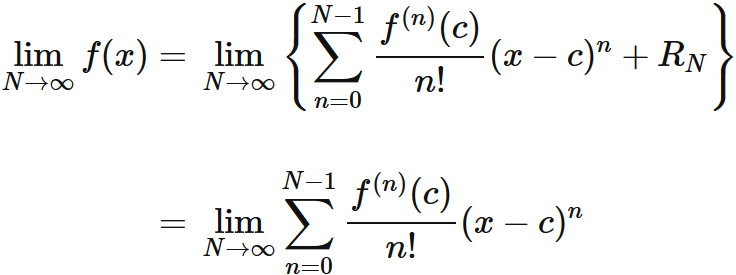
  テイラーの定理テイラー級数、およびテイラーの展開可能な条件について簡潔に述べる。 テイラーの定理
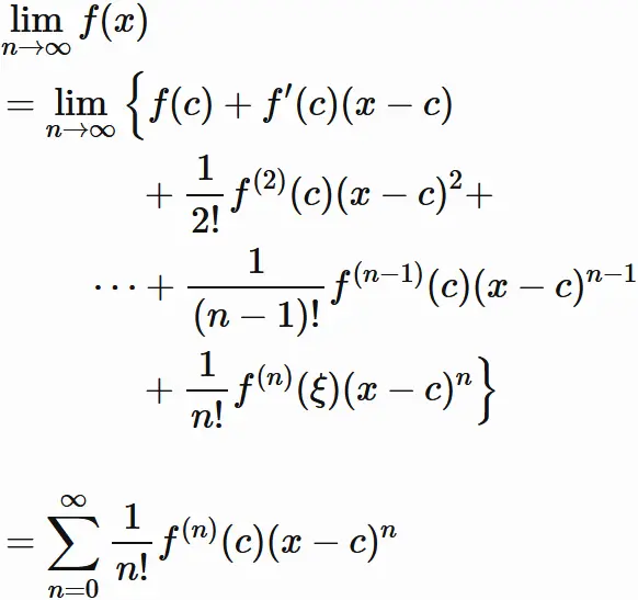
$$ \tag{3.1} $$ において、 もしも剰余項が $n \rightarrow \infty$ の極限で
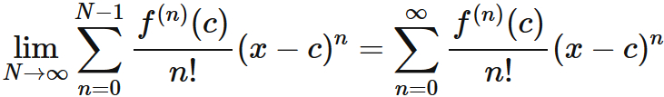
$$ \tag{3.2} $$ となるならば、 $(3.1)$ の $n \rightarrow \infty$ の極限は、テイラー級数に等しい。 すなわち、
が成り立つ。 左辺は $n$ に依らないので、
$$ \tag{3.3} $$ と表してよい。
  このように、 関数 $f(x)$ をテイラーの定理によって表したときに、 $n \rightarrow \infty$ の極限で剰余項が $0$ に収束する場合に (つまり $(3.2$) が成り立つ場合に)、 $f(x)$ はテイラー級数に一致する。 このとき、 $f(x)$ はテイラー展開可能であるといい、 $(3.3)$ の右辺を $f(x)$ のテイラー展開という。



次の例では、実際にテイラー展開可能性を確認したうえで、 テイラー展開を表している。
例 1
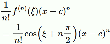
  $f(x)=\cos x$ についてテイラー展開可能であることを確認した上で、 実際にテイラー展開を表す。
 
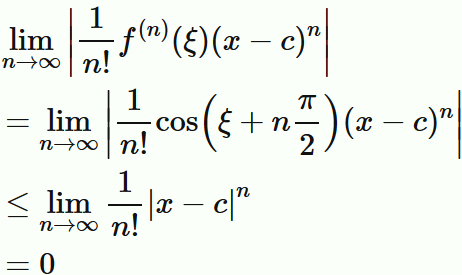
であるので、 剰余項は
である。 剰余項の絶対値の $n \rightarrow \infty$ の極限を考えると、
が任意の $x, c \in (a,b)$ に対して成り立つ (最後の等式については補足を参考)。 これより $f(x)=\cos x$ はテイラー展開可能である。
  実際に $x=0$ におけるテイラー展開を表してみると、
であることから、
である。



このように、 関数がテイラー展開可能かどうかを判定するためには、 その関数の剰余項の極限が $0$ になるかどうかを見ればよい。 その一方で、 次の定理はさらに見通しのよい方法を与える。
テイラー展開可能性
  関数 $f(x)$ が区間 $( c-r, c+r )$ で無限回微分可能であり、 この区間の全ての $x$ において
を満たす連続関数 $g(x)$ があるとき $f(x)$ は $x=c$ でテイラー展開可能である。すなわち、
と表せる。
証明
  区間 $(c-r, c+r)$ を $I$ と表し、 関数 $f(x)$ が区間 $I$ で無限回微分可能であり、 この区間の全ての $x$ において
を満たす連続関数 $g(x)$ が存在すると仮定する ($n=0,1,2,\cdots$ )。
  $f(x)$ が区間 $I$ において無限回微分可能であることから、 テイラーの定理によって、
を満たす $c$ と $x$ の間にある数 $\xi$ が存在する。
  最後の項(剰余項)を
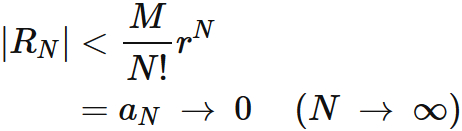
と表すと、 $R_{N}$ の絶対値は
を満たす。
  右辺の $ |f^{(N)}(\xi)| $ に着目する。 $\xi$ は $x$ と $c$ の間の数であるので、 区間 $I$ に含まれる。 ゆえに、仮定から
を満たす連続関数 $g(x)$ が存在する。
  $g(x)$ は区間 $I$ で定義される連続関数であるので、 $I$ の内部に含まれる閉区間 $[\xi-\alpha, \xi+\alpha]$ において連続関数である ($\alpha$ は十分に小さな値)。 ゆえに $g(x)$ は、この閉区間の中に最大値を持つ (連続関数の最大値・最小値の定理)。 その最大値を $M$ とすると
である。 これより、
が成り立つ。
  ところで $x \in I$ であるので ($ c-r \lt x \lt c+r $ を満たすので)、
である。 ゆえに
が成立する。
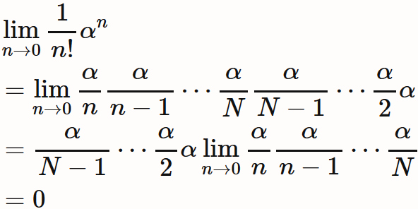
  ここで数列 $a_{N}$ を
と定義すると、 この数列には
の関係がある。 十分に大きな $N$ に対しては、$\frac{r}{N} \lt 1$ であることから、 $N \rightarrow \infty $ の極限において、$a_{N}$ はゼロに収束する (補足1 参考)。 すなわち、

である。 これより
となる。 したがって
である。
  これより、
を得る。
  左辺の $f(x)$ は $N$ に依らないので、 上の式は、
と表せる。 右辺の極限を
と略記することにより、
と表せる。 これは $x=c$ でのテイラー展開そのものである。

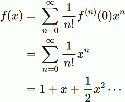
例 2
  関数 $f(x) = e^{x}$ とする。 $ f^{(n)}(x) = e^{x} $ であるので、
が成り立つ。 右辺の $e^{x}$ は連続関数であるから、上の定理によって $f(x)$ はテイラー展開可能であることが分かる。
  実際に $x=0$ においてテイラー展開してみると、 $ f^{(n)}(0) = 1 $ であるので、
となる。
マクローリン展開
  $x=0$ におけるテイラー展開
マクローリン展開という。
  上の $f(x) = e^{x}$ の例は、 $f(x)$ のマクローリン展開である。
補足1:
  任意の正の実数 $\alpha$ に対して、
が成り立つことを証明する。
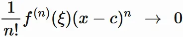
  はじめに $\alpha$ よりも大きな自然数を $N$ とする (このような自然数が存在することは実数のアルキメデス性 (証明略) によって保障される)。 このとき $n > N$ であるならば、
と表した時の右辺の後半の
の部分は定数であり、 前半の
の部分は、$n \rightarrow 0$ の極限で $0$ になる。 したがって、
が成り立つ。
© 2015 理数アラカルト