べき級数と収束半径

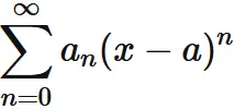
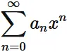
べき級数
  関数列 $ \{ a_{n}(x-a)^{n} \} $ による関数項級数
べき級数
$$ \tag{1.1} $$ を $x=a$ を中心とするべき級数 (冪級数, power series) または整級数という。 $x-a=y$ とすると、 \begin{eqnarray} \sum_{n=0}^{\infty}a_{n}y^{n} \end{eqnarray} $$ \tag{1.2} $$ と $y=0$ を中心とするべき級数になる。 $(1.2)$ から $(1.1)$ に戻すことは容易なので、 以下では、 $0$ を中心とするべき級数
0を中心とするべき級数
だけを議論する。 $a_{n}$ を係数列という。
具体例 (べき級数)
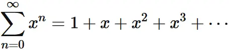
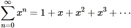
例1: 幾何級数
べき級数の例

例2: 指数関数

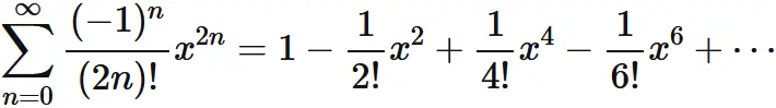
例3: 三角関数 (cos)

例4: 多項式
は、
のときのべき級数
である。
$x=r_{0}$ で収束
⇒   $[-c,\hspace{0.5mm} c] \hspace{1mm} (c \lt |r_{0}|)$ で一様収束
べき級数
$$ \tag{3.1} $$ するならば、
は $[-c,\hspace{0.5mm} c] \hspace{1mm} (0 \lt c \lt |r_{0}|)$ で一様収束する。
証明
  $(3.1)$ より、数列 $\{ a_{n} r_{0}^{n} \}$ は $0$ に収束する (「級数が収束 ⇒ 数列が $0$ に収束」を参考)。 よって、 $\{ a_{n} r_{0}^{n} \}$ は有界列である (「収束列 ⇒ 有界列」を参考)。 よって、$\{ a_{n} r_{0}^{n} \}$ には下限 $L$ と 上限 $U$ が存在する。 すなわち、
である。ここで、 $|L|$ と $|U|$ の大きいほうを $M$ と表すと、すなわち、
とすると、
$$ \tag{3.2} $$ が成り立つ。 ここで、$c$ を
を満たす数とすると、 $(3.2)$ より
$$ \tag{3.3} $$ が成り立つ。 $0 \leq p \lt 1$ であるから、 等比級数の性質により、
$$ \tag{3.4} $$ $(3.3)$ $(3.4)$ より、比較判定法によって、
は $[-c,\hspace{0.5mm} c] \hspace{1mm} (0 \lt c \lt |r_{0}|)$ で一様収束することが分かる。

$x=r_{0}$ で収束
⇒   $(-r_{0},\hspace{1mm} r_{0}) $ 内の任意の閉区間で一様収束
  べき級数
$$ \tag{4.1} $$ するならば、
は $(-r_{0},\hspace{1mm} r_{0}) $ 内の任意の閉区間で一様収束する。
証明
  区間 $(-r_{0},\hspace{1mm} r_{0}) $ 内の任意の閉区間を $[a,\hspace{0.5mm} b ] $ とすると、
が成り立つ。また、 $ |\frac{-r_{0}+a}{2} |$ と $ | \frac{b+r_{0}}{2} | $ の大きい方を $c$ とすると、
$$ \tag{4.2} $$ が成り立つ。 これと 上の議論から
するならば、
$$ \tag{4.3} $$ は $[-c,\hspace{0.5mm} c] $ で一様収束する。 $(4.2)$ より $[a,b] \in [-c,\hspace{0.5mm} c] $ であるから、 級数 $(4.3)$ は区間 $[a,b]$ で一様収束する。

$x=r_{0}$ で収束
⇒   $(-r_{0},\hspace{1mm} r_{0}) $ 内で絶対収束
  べき級数
$$\tag{5.1} $$ するならば、 $(-r_{0},\hspace{1mm} r_{0}) $ 内の任意の点で絶対収束する。
証明
  上の議論と $(5.1)$ より、
$$ \tag{5.2} $$ は $(-r_{0},\hspace{0.5mm} r_{0})$ の任意の閉区間で一様収束する。 $(-r_{0},\hspace{1mm} r_{0}) $ の任意の点を $c$ とすると、
が成り立つので、
$$ \tag{5.3} $$ である。 よって、 べき級数 $(5.2)$ は 区間 $ \big[ \frac{-r_{0}+c}{2}, \hspace{0.5mm} \frac{c+r_{0}}{2} \big] $ で一様収束する。 一様収束するならば各点収束するので、 $(5.2)$ は区間 $ \big[ \frac{-r_{0}+c}{2}, \hspace{0.5mm} \frac{c+r_{0}}{2} \big] $ で各点収束する。 よって $(5.2)$ は $x=c$ で収束する ( $\because (5.3)$ )。 言い換えると、
は、$x=c$ で絶対収束する。

  上の議論より、 級数 \begin{eqnarray} \sum_{n=0}^{\infty}a_{n}x^{n} \hspace{1mm} \small \mathrm{が} \hspace{2mm} \normalsize x=r_{0} \hspace{2mm}\small で収束する \end{eqnarray} ならば、 \begin{eqnarray} \sum_{n=0}^{\infty}a_{n}x^{n} \end{eqnarray} は $(-r_{0},\hspace{1mm} r_{0}) $ 内の任意の点で絶対収束する。 一般にある級数が絶対収束するならばその級数は収束するので、 \begin{eqnarray} \sum_{n=0}^{\infty}a_{n}x^{n} \end{eqnarray} は $(-r_{0},\hspace{1mm} r_{0}) $ の各点で収束する。
収束半径
  上の議論より、 べき級数
が $x=r_{0}$ で収束するならば、 $(-r_{0},\hspace{1mm} r_{0}) $ で収束する。
したがって、 もしも $r_{0}$ よりも絶対値が大きい値 $x=r_{1}$ で収束することが分かれば、 より大きな範囲 $(-r_{1},\hspace{1mm} r_{1}) $ で収束することが分かる。よって、 $r_{0}$ や $r_{1}$ よりも大きく、その値よりも大きくなると収束しないという限界の値が分かれば、 議論がまとまる。
  そこで、次のような概念を定義する。すなわち、 \begin{eqnarray} |x| \lt r \end{eqnarray} ならば、 べき級数が収束し、 \begin{eqnarray} |x| \gt r \end{eqnarray} ならば収束しない。 このような $r$ を収束半径 (radius of convergence) という。
  収束半径が $r$ のべき級数は、 $ |x| \lt r $ の範囲で収束し、 $ |x| \gt r $ の範囲で収束しない。 $x=r$ で収束するかどうかは分からず、 個々のべき級数によって収束したりしなかったりする。
  したがって、 収束半径 $r$ のべき級数は、 大きくてもせいぜい $|x| \leq r $ の範囲で収束する。 これは、 べき級数が収束する $|x|$ の上限が $r$ であることを意味する。 そこで、収束半径を
と表すこともある。
具体例 (収束半径)
  等比級数
は、$x$ の違いによって、以下のように振る舞う。
このように等比級数が収束するのは、$|x| \lt 1$ の範囲である。 よって、等比級数の収束半径は $1$ である。
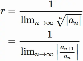
収束半径の求め方 (コーシー)
  べき級数
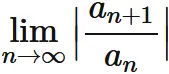
において、 次の極限
確定するならば、 収束半径 $r$ は
コーシー判定法
である。 これを コーシー・アダマールの定理 (Cauchy–Hadamard theorem) という。 証明は以下のリンクを参考。
収束半径の求め方 (ダランベール)
  べき級数
において、 次の極限
確定するならば、 収束半径 $r$ は
ダランベールの判定法で収束半径
である。
証明
  ダランベールの判定法の補助定理から、
確定するならば、
が成り立つ。 これとコーシー・アダマールの定理から、 収束半径 $r$ は
である。