ダランベールの判定法とは?

ダランベールの判定法
ダランベールの判定法
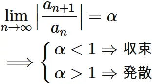
  数列 $\{ a_{n} \}$ から成る $\big| \frac{a_{n+1}}{a_{n}} \big|$ の極限が $\alpha$ に確定するとき、 すなわち、
ダランベールの判定法
であるとき、 級数
は、 $\alpha \lt 1$ ならば収束し、 $\alpha \gt 1$ ならば発散する。 これをダランベール判定法 (d'Alembert's ratio test) という。
証明
  以下の関係
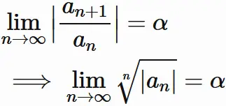
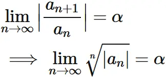
が成り立つ (「補助定理」を参考) ので、 コーシーの判定法により、 級数
は、 $\alpha \lt 1$ ならば収束し、 $\alpha \gt 1$ ならば発散する。

補助定理
  以下の関係が成り立つ。
ここで $\alpha$ は有限値または $\pm \infty$ である。
証明
 
を用いると、
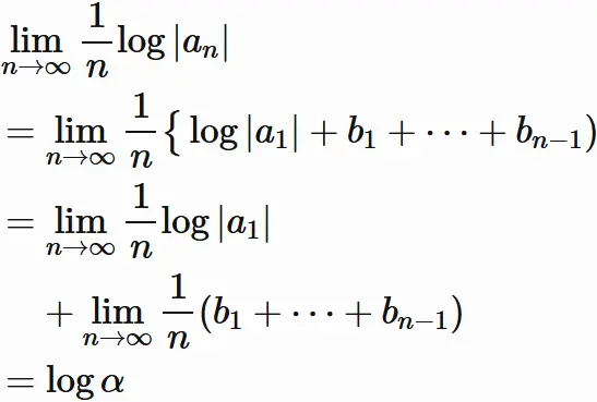
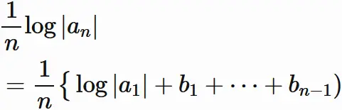
$$ \tag{2.1} $$ であるが、この中で $\frac{1}{n}\log |a_{n}|$ の部分は、
と表され、
と数列 $\{ b_{n} \}$ を定義すると、
$$ \tag{2.2} $$ と表される。 ここで分数の対数関数の性質から
であり、加えて
であるならば、 対数関数の連続性より、
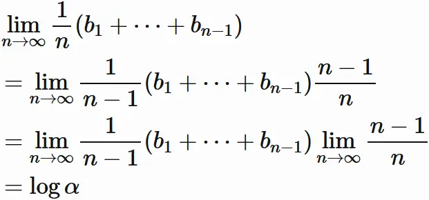
が成り立つ。 これと平均の極限の性質積の極限の性質から
が成り立つ。したがって、$(2.2)$ と和の極限の性質から
が成り立つ。 これと $(2.1)$ から
を得る。

具体例
  級数
ダランベールの判定法の例
が発散することをダランベールの判定法を用いて示す。
証明
  $\frac{ (n+1)^{n}}{n!} = a_{n}$ とおき、 ダランベールの判定法を適用する。
ダランベールの判定法の例
であるので、 ネイピアの定数の定義より、
ダランベールの判定法の例
である 。したがって、
ダランベールの判定法の例
は発散する。