ガンマ関数の満たす性質

ガンマ関数の定義
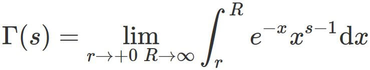
  正の数 $s$ に対して
ガンマ関数
によって定義される $s$ の関数をガンマ関数という。
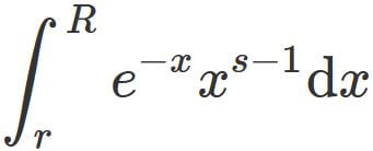
  より正確には、$0 \lt r \lt R$ に対して、 次の積分
の、$r \rightarrow 0$ かつ $R \rightarrow \infty$ の極限として定義される。 すなわち、
と定義される。
ガンマ関数の収束
  ガンマ関数
は収束する。
証明
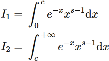
  積分
は、$1 \lt c \lt +\infty$ を満たす $c$ を使って、
と分けられる。ここで
である。 以下では、積分 $I_{1}$ と $I_{2}$ の収束を順に証明する。
積分 $I_{1}$ の収束
  $ s \geq 1$ の場合、 $I_{1}$ の被積分関数 $e^{-x}x^{s-1}$ は、 積分範囲 $[0,c]$ で連続な関数であるので、$I_{1}$ は積分可能である (有限な値になる)。 そこで、 $0 \lt s \lt 1$ の場合のみを考える。
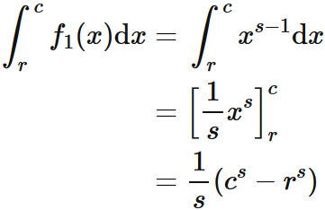
  この場合、被積分関数 $e^{-x}x^{s-1}$ は、 $x=0$ で発散する。したがって、 $I_{1}$ は 正確には広義積分によって、
と定義される。 ここで $ 0 \lt r \lt c$ である。
  積分範囲 $[r, c] $ において、 $e^{-x} \lt 1$ であるので、
が成り立つ。 この関係は、
と置くと、
と表される。 $f_{1}(x)$ を $I_{1}$ と同じ積分範囲で積分すると、 $s > 0$ であることから、
である。 したがって、 積分の極限が
と収束する (有限な値になる)。
  以上より、 関数 $f_{1}(x)$ は $I_{1}$ と同じ積分範囲において、
を満たし、 積分が収束するので、 $e^{-x}x^{s-1}$ の優関数である。 一般に、 優関数を持つ関数の積分は収束するので、 積分 $I_{1}$ は収束する (優関数と積分の収束については 補足を参考)。
積分 $I_{2}$ の収束
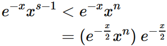
  積分範囲の下限 $c$ が $1$ より大きいので、 $1 \lt x$ のみで被積分関数 $e^{-x}x^{s-1}$ を考える。
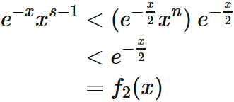
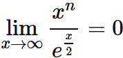
  $n$ を $s-1 \lt n$ を満たす自然数とする。 $1 \lt x$ であることから、
が成り立つ。 ここで、 $e^{-\frac{x}{2}}x^{n}$ の部分は、$x \rightarrow \infty$ の極限で $0$ に収束する。 すなわち、
である (証明は 指数関数と冪関数の比較を参考)。 従って、 十分に大きな $x$ に対して、
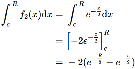
が成り立つ。 ここで関数 $f_{2}(x)$ を
と定義した。 この関数を $I_{2}$ と同じ積分範囲で積分すると、
であるので、 積分の極限が
のように収束する (有限な値になる)。
  以上より、 関数 $f_{2}(x)$ は $I_{2}$ と同じ積分範囲において、
を満たし、 積分が収束するので、 $e^{-x}x^{s-1} $ の優関数である。 一般に優関数を持つ関数の積分は収束するので、 積分 $I_{2}$ は収束する (優関数と積分の収束については 補足を参考)。
まとめ
  以上より、 積分を $I_{1}$ と $I_{2}$ が収束するので、 積分 $I$ は収束する。 すなわち、 ガンマ関数
は収束する。

補足:優関数定理
  区間 $(a, b \hspace{0.5mm}]$ で連続な関数 $h(x)$ と $k(x)$ が、 次の二つの性質

$(1)$   $0\leq h(x) \leq k(x)$
$(2)$   $$ \lim_{r \rightarrow a} \int^{b}_{r} k(x) \mathrm{d}x $$ が収束する。

を満たすとき、 $k(x)$ を $h(x)$ の優関数という。 このとき、積分 $$ \lim_{r \rightarrow a} \int^{b}_{r} h(x) \mathrm{d}x $$ は収束する。 これを優関数定理と呼ぶ。
ガンマの 1/2   $\Gamma (1/2)$
  $Γ(1/2)$ の値は
ガンマ関数1/2
である。
証明
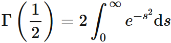
  定義より
である。 $x^{\frac{1}{2}} = s$ と置くと、$e^{-x} x^{-\frac{1}{2}}= e^{-s^2} s^{-1}$、 $\frac{\mathrm{d}x}{\mathrm{d}s} = 2s $ であるので、
と表せる。右辺の積分は、ガウス積分の公式によって、
である。よって
を得る。

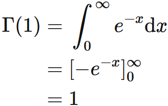
ガンマの 1   $\Gamma (1)$
  $Γ(1)$ の値は \begin{eqnarray} \Gamma(1) = 1 \end{eqnarray} である。
証明
  定義より、
ガンマ関数の1
である。

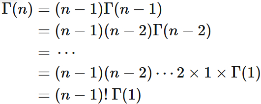
ガンマ関数の漸化式
  ガンマ関数は、 正の実数 $s$ に対して
ガンマ関数の漸化式
を満たす。
証明
  部分積分によって
と証明される。

ガンマ関数は階乗の一般化
$s$ が正の整数 $n$ の場合、
ガンマ関数は階乗の一般化
が成り立つ。 これより、ガンマ関数は階乗の一般化と見なされる。
証明
  ガンマ関数の漸化式を繰り返し用いると、
と表せる。
  上で示したように $\Gamma(1) = 1$ であるので、
ガンマ関数は階乗の一般化
である。

ガンマ関数は正
  $s>0$ の範囲でガンマ関数は正である。 すなわち
ガンマ関数は正
が成り立つ。
証明
  ガンマ関数を定義する非積分関数が積分領域において正であるので、 すなわち、
であるので、 ガンマ関数は正である。

ガンマ関数とベータ関数との関係
  ベータ関数はガンマ関数によって
と表される。
証明
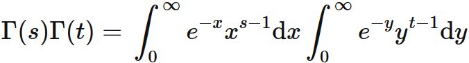
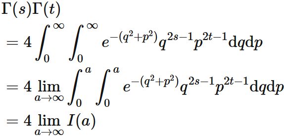
  ガンマ関数の定義から
である。 ここで $ q = \sqrt{x} $ と $ p = \sqrt{y}$ と置くと、
であるので、
と表される。
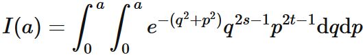
  ここで、
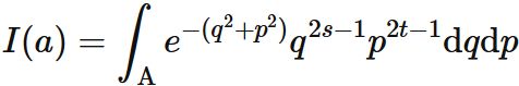
と積分 $I(a)$ を定義すると、
$$ \tag{1} $$ である。
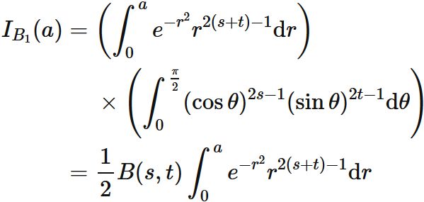
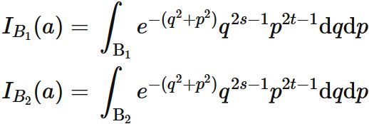
ここで三つの領域
を定義し (上図)、 積分 $I(a)$ が領域 $\mathrm{A}$ を範囲とする積分であることから、
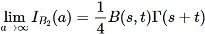
と表すことする。 また、$I(a)$ と同じ非積分関数を持ち、積分範囲が領域 $\mathrm{B}_{1}$ と領域 $\mathrm{B}_{2}$ である積分をそれぞれ
と定義する。
  このとき、 被積分関数が積分領域において正であり、 各領域には
の包含関係が成り立つことから、 不等式
$$ \tag{2} $$ が成り立つ。
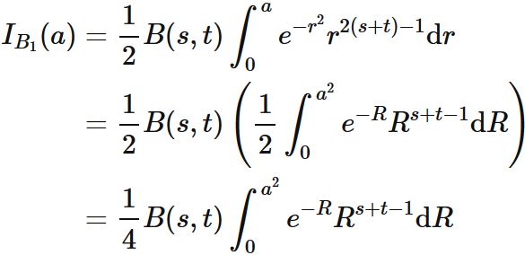
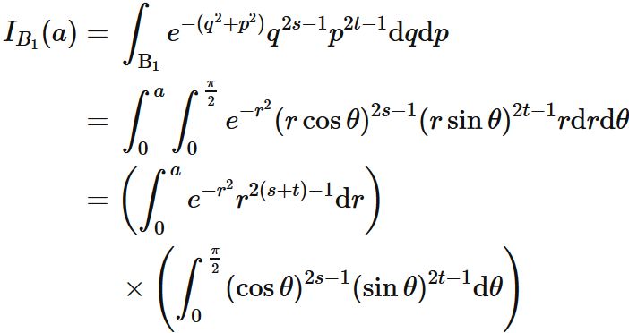
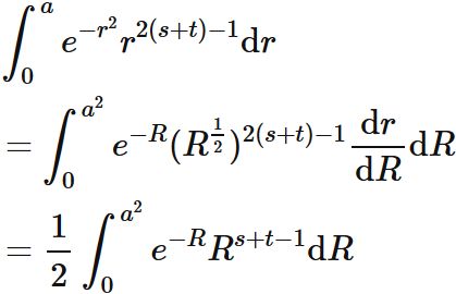
  ここで積分 $I_{B_{1}}(a)$ の積分変数 $(q,p)$ を極座標 $(r, \theta)$ によって
と表し、変数変換を行うと、
と表せるが、 ベータ関数の性質により、
であるので、
と表せる。 ここで 積分変数を $R=r^{2}$ と変換すると、
であることから、
である。 したがって、
であるので、
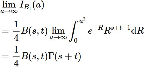
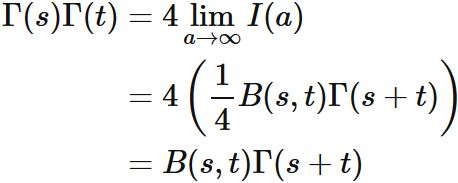
が成り立つ。最後の等号ではガンマ関数の定義を用いた。
  同様のやり方で
も示されるので、 $(2)$ と はさみうちの定理によって、
であること分かる。 これと $(1)$ から
が成り立つので、ベータ関数をガンマ関数によって
と表すことができる。