べき関数と指数関数の比較

  変数 $x$ が大きくなるに連れてべき関数 $x^{n}$ よりも、 指数関数 $e^{x}$ の方が幾らでも大きな値をとる。 すなわち、
べき関数と指数関数の比較
が成り立つ。
証明
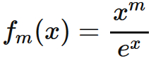
  $m=1,2,\cdots$ に対して、 関数 $f_{m}(x)$ を
と定義すると、
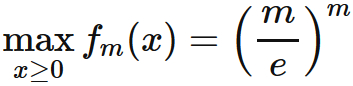
であるので、 $x>0$ において
である。したがって、$f_{m}(x)$ の増減表を書くと、
となるので、 $f_{m}(x)$ の $x \geq 0$ の範囲での最大値は、
である。
  一方 $f_{m}(x) \geq 0$ $(x \geq 0)$ でもあるので、 $f_{m}(x)$ は \begin{eqnarray} 0 \leq f_{m}(x) \leq \left( \frac{m}{e} \right)^m \end{eqnarray} の範囲に収まる関数であることが分かる。
$x e^{-x}$ (青色)
$x^2 e^{-x}$ (オレンジ色)
$x^3 e^{-x}$ (緑色)、

  これより、 十分に大きな $x$ に対して、
が成り立つ。 ここで、右辺の極限が
であることから、 はさみうちの定理により、
が成り立つ。すなわち、
である。これが任意の $m=1,2,\cdots$ に対して成り立つことから、 $n=0,1,2 \cdots $ に対して、
が成り立つ。