ガウス積分の公式集 (証明付)

ガウス積分の定義と証明
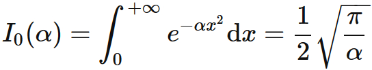
  ガウス分布(正規分布)に対する下記の積分をガウス積分と呼ぶ。 積分範囲が ∞ に及ぶので、正確には広義積分である。
ガウス積分の証明
ただし $\alpha>0$ とする。

証明
積分範囲が $0$ から $+\infty$ までの場合
  はじめに
を証明する。
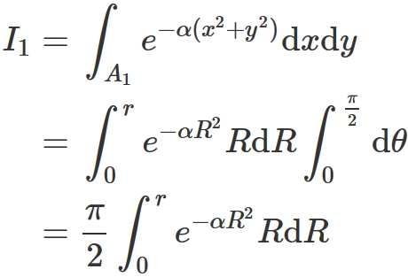
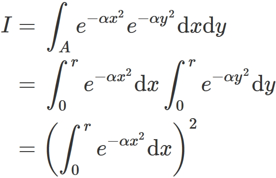
  3 つの領域を定義する。
  1つめは、 原点を中心に持つ半径 $r$ の円と $x$ 軸と $y$ 軸で囲まれた領域 $A_{1}$ である。
  2つめは、$x=r$ と $y=r$ と $x$ 軸と $y$ 軸で囲まれた領域 $A$ である。 $A$ は 一辺が $r$ の正方形を成す。
  3つめは、 原点を中心に持つ半径 $\sqrt{2}r$ の円と $x$ 軸と $y$ 軸で囲まれた領域 $A_{2}$ である。
  このように定義すると、 $A_{1}$ は $A$ に含まれ、$A$ は $A_{2}$ に含まれる(図)。
ガウス積分の証明の図
  上の 3 つの領域を積分範囲とし、 非積分関数を $e^{-\alpha (x^{2}+ y^{2})}$ とする積分をそれぞれ $I_{1}$, $I$, $I_{2}$ とする。 すなわち、
とする。
  3 つの領域の全体において、 非積分関数 $e^{-\alpha (x^{2}+ y^{2})}$ が正であり、 $A_{1}$ は $A$ に含まれ、$A$ は $A_{2}$ に含まれることから、
$$ \tag{1} $$ が成り立つ。
  左辺の積分 $I_{1}$ は、積分変数を極座標によって
と変換することにより、
と表せるが、ここで現れた積分 $ \int_{0}^{r} e^{-\alpha R^2} R \mathrm{d}R$ が、 $t = R^{2}$ と置くことにより、
と求められるので、
である。
  同様に $(1)$ の右辺の積分 $I_{2}$ は、
である。
  また $(1)$ の積分 $I$ は、
と表せる。
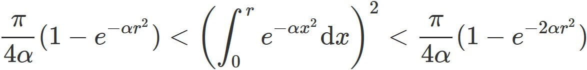
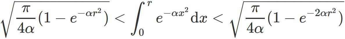
  以上から
が成立する。
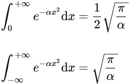
  非積分関数 $e^{-\alpha x^{2}}$ が正であるので、 積分 $\int_{0}^{r} e^{-\alpha x^{2}}\mathrm{d}x$ は正である。ゆえに
が成立する。
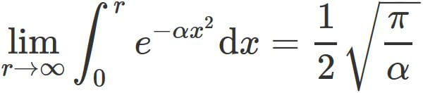
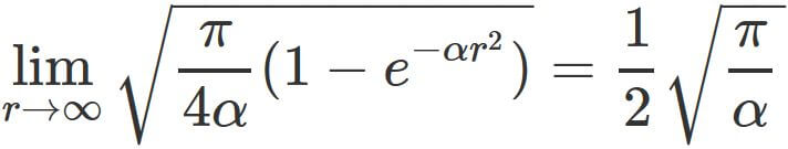
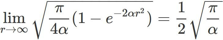
  この不等式の左辺の $r \rightarrow \infty$ の極限は、
である。 また、 右辺の極限は
であり、左辺の極限に等しい。
  従って、 はさみうちの定理により、
が成立する。 この式の極限の部分を省略して、
$$ \tag{2} $$ と表したのがガウス積分である。
積分範囲が $-\infty$ から $\infty$ までの場合
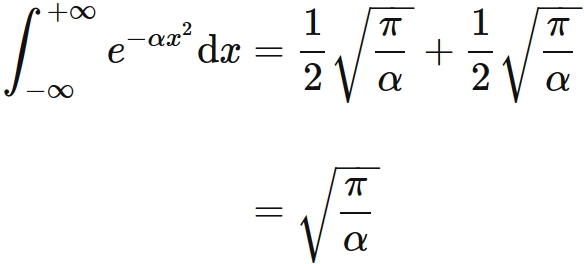
  積分範囲が $- \infty$ から $+ \infty$ までの場合のガウス積分については、 $- \infty$ から $0$ までの積分と $0$ から $+\infty$ までの積分に分けて考えるとよい。 すなわち、
とするとよい。
  第二項は $(2)$ で既に求められている。 これを代入すると、
である。
  第一項の積分については、 $t = -x$ と変数変換して、置換積分を行うと、 第二項の積分と等しいことが示される。 すなわち $(2)$ から
である。
  これらから、
を得る。
ガウス分布の図

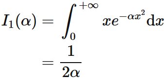
$\int xe^{-\alpha x^2}$
  被積分関数が $xe^{-\alpha x^2}$ のガウス積分は
ガウス積分(1次)
である。

証明
  はじめに、
を示す。
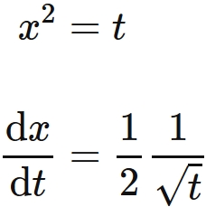
  積分変数を $x=\sqrt{t} $ と変換して置換積分を行う。
であることから、
となる。
  続いて
を示す。
  積分範囲が $- \infty$ から $+ \infty$ までの場合の積分については、 $- \infty$ から $0$ までの積分と $0$ から $+\infty$ までの積分に分けて考えるとよい。 すなわち、
とするとよい。 第二項は $(1)$ で既に求められている。 これを代入すると、
である。
  第一項の積分については、 $x = -t$ と変数変換して置換積分を行うと、 第二項の積分と符号だけ異なることが示される。 すなわち $(1)$ から

  これらから、
を得る。

ガウス積分の漸化式
  積分範囲が $0$ から $+\infty$ までの $n$ 次のガウス積分を
と定義する。
  同様に、 積分範囲が $-\infty$ から $+\infty$ までの $n$ 次のガウス積分を
n次のガウス積分
と定義する。
  このとき、 両者には
ガウス積分の漸化式
という漸化式が成り立つ。
 

証明
  $I_{n}(\alpha)$ の $\alpha$ に関する微分
は、 非積分関数 $x^{n} e^{-\alpha x^2}$ とその $\alpha$ に関する偏微分 $ \frac{\mathrm{\partial} }{\mathrm{\partial} \alpha } \left( x^{n} e^{-\alpha x^2} \right) $ が連続関数であることから、 微分と積分の入れ替えが可能である。すなわち、
が成り立つ。
  このことと、 右辺の偏微分が
であることを用いると、
を得る。
  同じように、
を得る。

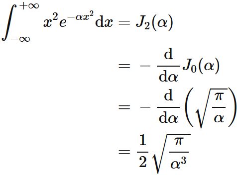
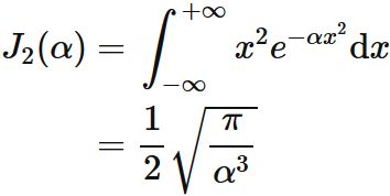
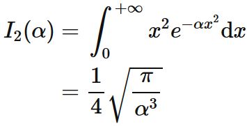
$\int x^2 e^{-\alpha x^2} \mathrm{d}x$
  被積分関数が $x^2 e^{-\alpha x^2}$ の場合のガウス積分は
である。

証明
  $n=0$ の場合の 漸化式 は、
である。 ガウス積分によって$I_{0}(\alpha)$ は
であるので、
である。
  これと全く同じように、 $n=0$ の場合の $J_{n}(\alpha)$ の漸化式は、
であり、$J_{0}$ が
であることから(ガウス積分を参考)、
である。

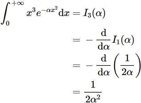
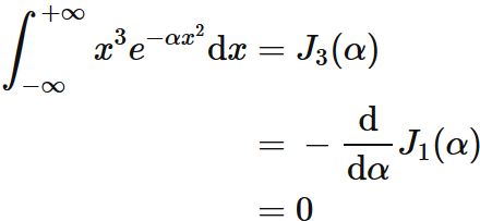
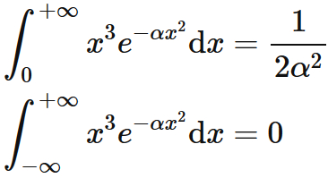
$\int x^3 e^{-\alpha x^2} \mathrm{d}x$
  被積分関数が $x^3 e^{-\alpha x^2}$ の場合のガウス積分は
である。

証明
  $n=1$ の場合の 漸化式 は、
である。 $I_{1}(\alpha)$ が
であることから (「$1$次の ガウス積分の値」を参考 )、
である。
  これと全く同じように、 $n=1$ の場合の $J_{n}(\alpha)$ の漸化式は、
であり、$J_{1}(\alpha)$ が
であることから(「$1$次の ガウス積分の値」を参考 )、
である。

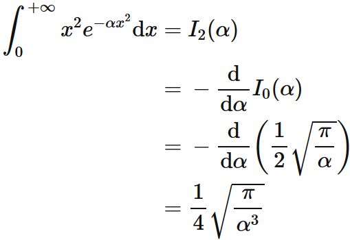
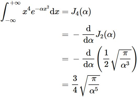
$\int x^4 e^{-\alpha x^2} \mathrm{d}x$
  被積分関数が $x^4 e^{-\alpha x^2}$ の場合のガウス積分は
である。

証明
  $n=2$ の場合の漸化式は、
である。 $I_{2}(\alpha)$ が
であることから (「$2$次の ガウス積分の値」を参考)、
である。
  これと全く同じように、 $n=2$ の場合の $J_{n}(\alpha)$ の漸化式は、
であり、$J_{2}(\alpha)$ が
であることから (「$2$次の ガウス積分の値」を参考)、
を得る。

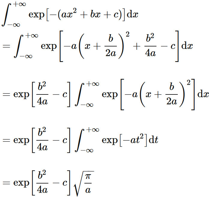
$\int e^{-(a x^2 + bx +c)} \mathrm{d}x$
  ガウス積分の指数が二次関数の一般形になる場合、
である。

証明
  以下のように指数の部分を平方完成させると値が求まる。
最後から二行目の等号で $t= x+\frac{b}{2a}$ と置いて置換積分を行った。

補足 :
  このように、ガウス積分の指数が二次関数の一般形になることはしばしば現れる (例えば「 正規分布の再生性 」)。