和に関する正規分布の再生性の証明  

  確率変数 $X$ と $Y$ がそれぞれ正規分布
正規分布
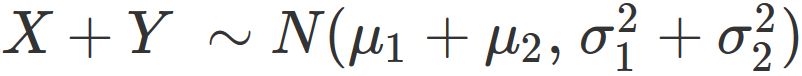
に従うとき、$X$ と $Y$ が独立であるならば、 確率変数の和 $X+Y$ は、 期待値 $\mu_{1}+ \mu_{2}$、分散 $\sigma_{1}^{2} + \sigma_{2}^{2}$ の正規分布に従う。 すなわち、
和に関する正規分布の再生性
である。
  この性質を、和に関する正規分布の再生性 (reproductive property) という。

  証明

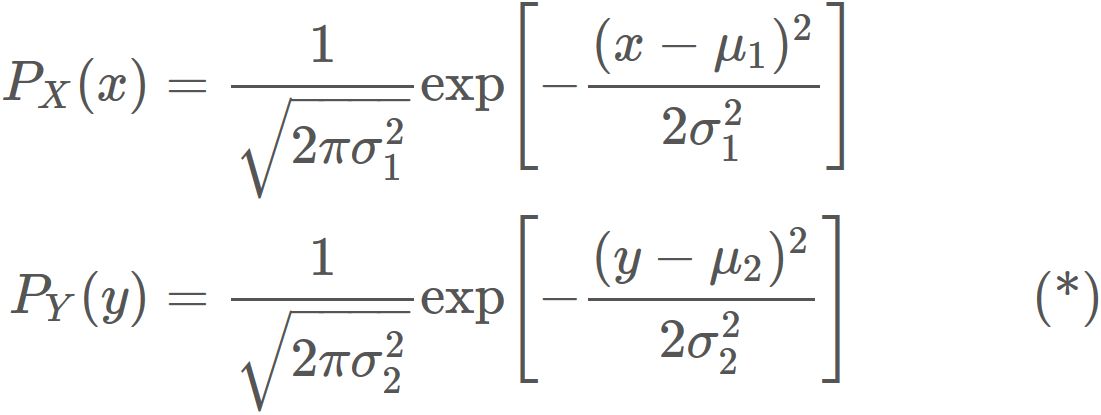
  確率変数 $X$ が $N(\mu_{1}, \sigma_{1}^{\hspace{1mm}2})$ の正規分布に従い、 確率変数 $Y$ が $N(\mu_{2}, \sigma_{2}^{\hspace{1mm}2})$ の正規分布に従うならば、 それぞれの確率密度関数 $P_{X}(x)$ と $P_{Y}(x)$ は、
正規分布
である。 $X$、$Y$ の同時確率密度関数を $ P_{X,Y}(x,y) $ と表すとき、 $X+Y$ の確率密度関数 $P_{X+Y}(z)$ は、
である。(ページ下の補足を参考。)
  $X,Y$ が互いに独立であると仮定したので、
が成立する。従って、
である。
  $X$, $Y$ の分布がそれぞれ正規分布に従うと仮定したので、 $(*)$ より、
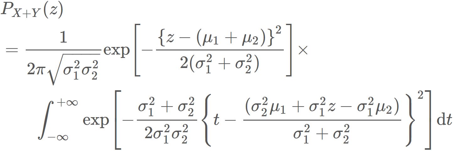
と表される。
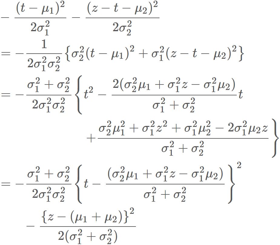
  右辺の指数は、 少し長い計算により、
と表される。 これより、
と表せる。
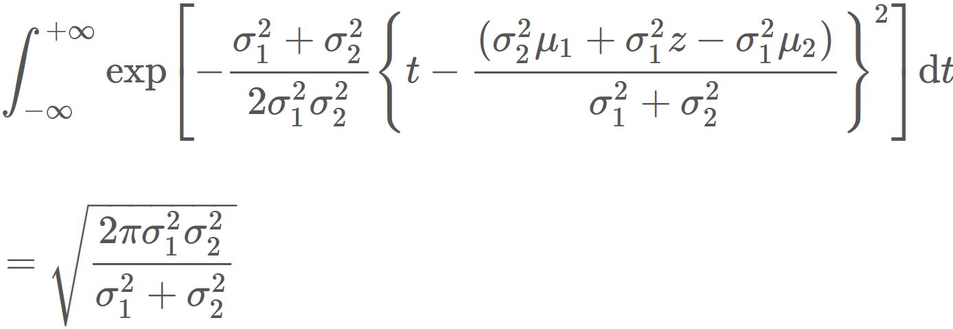
  右辺の積分は、 ガウス積分の公式から、
であるので、
となる。
  従って、確率変数 $X+Y$ は、期待値が $\mu_{1} + \mu_{2}$、分散が $\sigma_{1}^2 + \sigma_{2}^2$ の正規分布に従う。すなわち、
である。
補足   $X+Y$ の確率密度関数
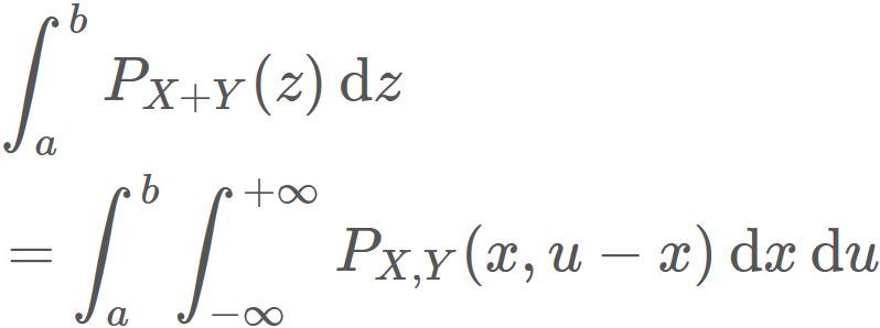
  $X+Y$ の確率密度関数を $P_{X+Y}(z)$ と表すとき、 $X+Y$ の観測値が $a$ から $b$ の間に観測される確率 $\mathrm{Pr} ( \hspace{1mm} a \leq X+Y \leq b \hspace{1mm})$ は、
である。
  一方で、この確率は、 $X, Y$ の観測値が直線
と直線
に挟まれた帯状領域 $D$ に含まれる確率である(下図参考)。 すなわち、
である。
正規分布の再生性の図
$(1)$ と $(2)$ より、
である。
  一般に、$X$、$Y$ の観測値がある領域の中に含まれる確率は、 $X$ と $Y$ の同時確率分布(同時確率密度関数) $ P_{X,Y} (x,y) $ をその領域に渡って積分したものである。 すなわち、
である。 よって、 $(3)$ と $(4)$ より、
である。
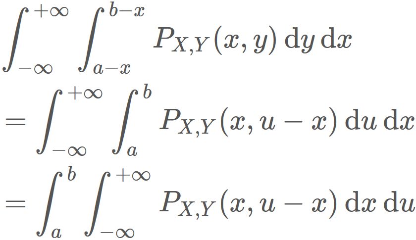
  領域 $D$ に渡る積分は、 $y$ について $a-x$ から $b-x$ まで積分した後、 $x$ について $-\infty$ から $+\infty$ まで積分する二重積分である。 すなわち、
である。$(5)$ と $(6)$ より、
が成立する。
  右辺の積分に対して、
と置くと、
と置換されるので、 $(7)$ より、
が成立する。
  最後に、 両辺を $b$ 微分し、
を得た後、$b$ と $x$ を それぞれ $z$ と $t$ に置き換えることによって、
を得る。