カイ二乗分布の性質

カイ二乗分布の図
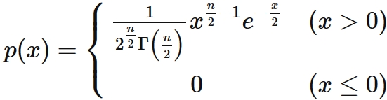
定義
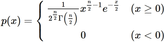
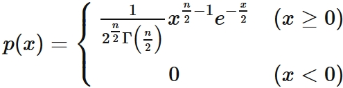
  カイ二乗分布とは、確率分布 (確率密度関数) $p(x)$ が
カイ二乗分布の確率密度関数
によって表される分布である。
  $n$ を自由度といい、 確率変数 $X$ が自由度 $n$ のカイ二乗分布に従うことを
と表す。
カイ二乗分布の図
カイ二乗分布の図。
$n=2$ (青色)
$n=3$ (紫色)
$n=4$ (黄色)
$n=5$ (緑色)
期待値
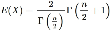
  自由度 $n$ のカイ二乗分布に従う確率変数 $X$ の期待値 $E(X)$ は、
カイ二乗分布の期待値
である。

証明
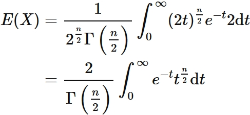
  自由度 $n$ のカイ二乗分布の確率密度関数 $p(x)$ は、
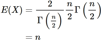
であるので、 期待値 $E(X)$ は、
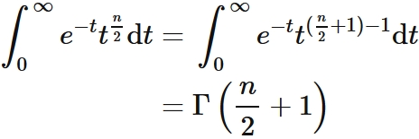
である。ここで積分変数を $t = \frac{x}{2}$ と置くと、
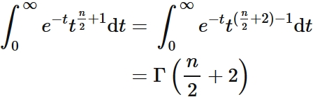
と表せる。 右辺の積分はガンマ関数の定義から
である。したがって、
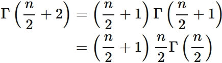
である。ガンマ関数の性質により、
であるので、
を得る。

分散
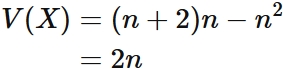
  自由度 $n$ のカイ二乗分布に従う確率変数 $X$ の分散 $V(X)$ は、
カイ二乗分布の分散
である。

証明
  一般に分散は二乗期待値と期待値の二乗の差である。
また、カイ二乗分布の期待値は、
であるので、
$$ \tag{1} $$ と表される。 したがって、 二乗期待値 $E(X^2)$ を求まれば、 分散 $V(X)$ が求まる。
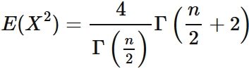
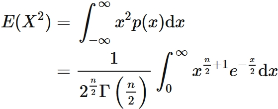
  $X$ が自由度 $n$ のカイ二乗分布に従うので、 確率密度関数 $p(x)$ は、
である。 したがって、 二乗期待値 $E(X^2)$ は、
である。ここで積分変数を $t = \frac{x}{2}$ と置くと
と表せる。 右辺の積分はガンマ関数の定義から
である。したがって、
である。 ガンマ関数の性質により、
であるので、
である。
  これと $(1)$ から、
を得る。

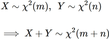
和に関する再生性
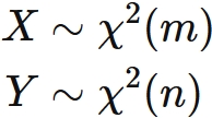
  確率変数 $X$ と $Y$ がそれぞれ 自由度 $m$ と $n$ のカイ二乗分布に従うとき、 $X$ と $Y$ が独立であるならば、 和 $X+Y$ は自由度 $m+n$ のカイ二乗分布に従う。 すなわち、
カイ二乗分布の再生性
が成り立つ。

証明
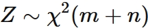
  確率変数 $X$ と $Y$ がそれぞれ自由度 $m$ と $n$ の カイ二乗分布に従うとする。 すなわち、
$$ \tag{1} $$ であるとする。 また、確率変数 $Z$ を
$$ \tag{2} $$ と定義する。
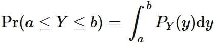
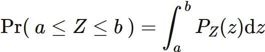
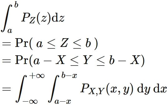
  $Z$ の従う確率密度関数を $P_{Z}(z)$ と表すとき、 $Z$ の値が $a$ から $b$ の間に観測される確率 $\mathrm{Pr} ( \hspace{1mm} a \leq Z \leq b \hspace{1mm})$ は、
$$ \tag{3} $$ である。
  一方で、 $(2)$ より、
であるので、
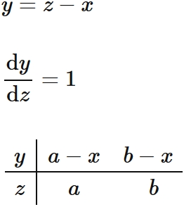
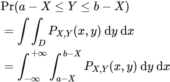
$$ \tag{4} $$ が成り立つ。 右辺は、確率変数 $X$ と $Y$ が直線 $ Y = a-X $ と直線 $ Y =b-X $ に挟まれた領域(下図)の中の値として観測される確率である。
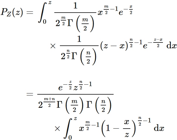
従って、 この領域を $D$ とすると、 $(4)$ の右辺の確率を $X$ と $Y$ の同時確率密度関数 $ P_{X,Y} (x,y) $ によって、
$$ \tag{5} $$ と表せる。 ここで三つめの等号では、領域 $D$ に渡る積分が $y$ について $a-x$ から $b-x$ まで積分した後、 $x$ について $-\infty$ から $+\infty$ まで積分する二重積分であることを用いた。
  以上の $(3) (4) (5)$ により、
となるが、 $X$ と $Y$ は互いに独立な確率変数であるので、
が成り立つことから ($ P_{X}(x)$ と $ P_{Y}(y)$ はそれぞれ$X$ と $Y$ の従う確率密度関数)、
である。 $ z = x+y $ と置換すると、
であるので、
と表せる。
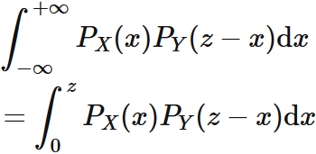
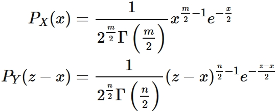
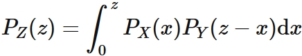
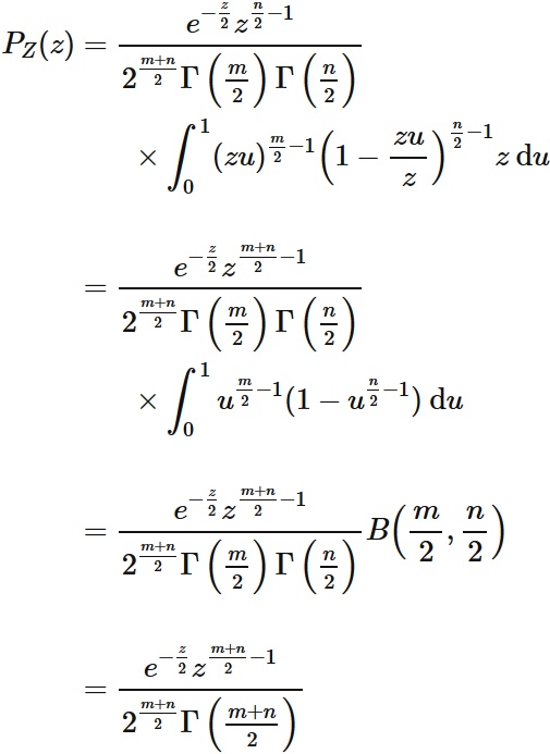
  $P_{X}(x)$ と $P_{Y}(z-x)$ は カイ二乗分布の確率密度関数 であるので、
が成り立つ。これより、$x$ についての積分が
と表せるので、
となる。
  両辺を $b$ で微分し、$b=z$ とすると、
を得る。
  $(1)$ より、$X$ と $Y$ のそれぞれの確率密度関数は、
であるから、
である。ここで $u=\frac{x}{z}$ と置換すると、
であるので、
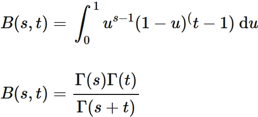
$$ \tag{6} $$ を得る。 3番目と4番目の等号ではベータ関数の定義と性質
を用いた。
  $(6)$ の右辺は自由度 $m+n$ のカイ二乗分布の確率密度関数である。 したがって、
である。

標準正規分布の二乗がカイ二乗分布
  確率変数 $X$ が標準正規分布 $ N(0, 1) $ に従うとき、 $ Y = X^{2} $ によって定義される確率変数 $Y$ は自由度 $1$ のカイ二乗に従う。 すなわち、
標準正規分布の二乗がカイ二乗分布
が成り立つ。

証明
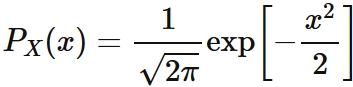
  確率変数 $X$ が標準正規分布に従うとする。 すなわち、
$$ \tag{1} $$ とし、 確率変数 $Y$ を
$$ \tag{2} $$ と定義する。
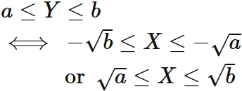
  $Y$ の確率密度関数を $P_{Y} (y)$ と表すと、 $Y$ が区間 $a \leq Y \leq b$ の間に観測される確率 $\mathrm{Pr} (a \leq Y \leq b) $ は、
$$ \tag{3} $$ である。 一方で、$(2)$ より、
であるので、
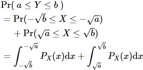
$$ \tag{4} $$ が成り立つ。 ここで $P_{X}(x)$ は $X$ の確率密度関数であり、 $(1)$ より、
である。 これと $(3)$ より、
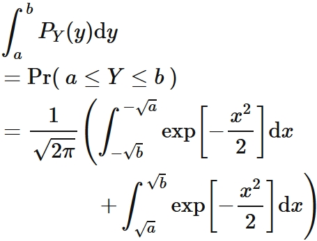
と表せる。
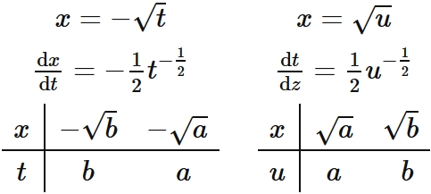
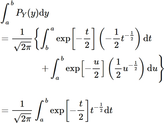
  右辺の第一項の積分に対し、 $t = x^2$ $(x \leq 0)$ と置き、 第二項の積分に対しては、$u = x^2$ ($x \geq 0$) と置くと、
であるので、
となる。両辺を $b$ で微分し、$b=y$ と置くことにより、
を得る。 右辺は、自由度 $1$ のカイ二乗分布の確率密度関数である。 二つ目の等号で $\Gamma(\frac{1}{2}) = \sqrt{\pi}$ を用いた。
  以上から、 標準正規分布に従う確率変数 $X$ の二乗 $X^2$ は、 自由度 $1$ の カイ二乗分布に従う。 すなわち、
が成り立つ。

標本正規分布の二乗和とカイ二乗分布
確率変数 $X_{i}$ $(i=1,2,\cdots,n)$ が標準正規分布 $ N(0, 1) $ に従うとき、
によって定義される確率変数 $Y$ は自由度 $n$ のカイ二乗に従う。 なぜなら標準正規分布とカイ二乗の関係から、 \begin{eqnarray} X_{1}^{2} &\sim& \chi^2(1) \\ X_{2}^{2} &\sim& \chi^2(1) \\ & \vdots & \\ X_{n}^{2} &\sim& \chi^2(1) \end{eqnarray} であるため、 和に関する再生性により、 \begin{eqnarray} Y &=& X_{1}^{2} +X_{2}^{2} + \cdots + X_{n}^{2} \\ &\sim& \chi^2(1+1+\cdots +1) \\ &=& \chi^2(n) \end{eqnarray} が成り立つからである。
カイ二乗分布と $F$ 分布
  確率変数 $X$ と $Y$ が
であるとき、 $\frac{X/m}{Y/n}$ は自由度 $(m,n)$ のF分布に従う。 すなわち、
である。
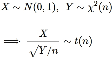
正規分布とカイ二乗分布に従う確率変数による $t$ 分布
  確率変数 $X$ が標準正規分布 $N(0,1)$ に従い、 確率変数 $Y$ がカイ二乗分布 $\chi^2(n)$ に従うとき、 これらから定義される確率変数 $Z = \frac{X}{\sqrt{Y/n}}$ は、 自由度 $n$ の $t$ 分布に従う。 すなわち、
正規分布とカイ二乗分布に従う確率変数による $t$ 分布
が成り立つ。