期待値と分散の公式

期待値の定義
離散確率分布の場合
  確率変数 $X$ が $ X = x_{i} $ $ (i=1,2,\cdots,n) $ の値をとる確率を $ \mathrm{Pr} (X=x_{i})$ と表すとき、 $X$ の期待値 $E(X)$ は、 \begin{eqnarray} E(X) = \sum_{i=1}^{n}x_{i} \mathrm{Pr} (X=x_{i}) \end{eqnarray} と定義される。
:
  $X$ が歪みのないサイコロの目である場合、 \begin{eqnarray} X = 1,2,3,4,5,6 \end{eqnarray} であり、それぞれの確率が \begin{eqnarray} \mathrm{Pr}(X=i) &=& \frac{1}{6} \\ (i&=& 1,2,3,4,5,6) \end{eqnarray} であるので、 $X$ の期待値は、 \begin{eqnarray} E(X) &=& \sum_{i=1}^{6} i \hspace{0.5mm} \mathrm{Pr} (X=i) \\ &=& 1\times \frac{1}{6} + 2\times \frac{1}{6} + 3\times \frac{1}{6} \\ &&+ 4 \times \frac{1}{6} + 5\times \frac{1}{6} + 6\times \frac{1}{6} \\ &=& 3.5 \end{eqnarray} である。
  よく知られた離散確率分布の期待値を求める例:

連続確率分布の場合
  確率変数 $X$ の確率密度関数を $p(x)$ と表すとき、 $X$ の期待値 $E(X)$ は、 \begin{eqnarray} E(X) = \int_{-\infty}^{+\infty} xp(x) \mathrm{d} x \end{eqnarray} と定義される。
:
  よく知られた連続確率分布の期待値を求める例:

和の期待値
  確率変数 $X$ と $Y$ の和 $X+Y$ の期待値は、 それぞれの期待値の和に等しい。 すなわち、
期待値の加法性
が成立する。 これを期待値の加法性と呼ぶ。

証明
  離散的な場合:
  確率変数 $X$ と $Y$ がそれぞれ $m$ 個 と $n$ 個の値
を取りうるものとし、 $X=x_{i}$、$Y=y_{j}$ となる同時確率を
と表す。 このとき $X + Y$ の期待値は、
である。
  ここで、 最後の式の第一項 は、 各々の事象 $(x_{i}, y_{j})$ に対して、 それをとる確率 $\mathrm{Pr}(X=x_{i}, Y=y_{j}) $ と、 そのときの $X$ の値 $x_{i}$ を掛けて、 全ての値について足し合わせたものであるから、 $X$ の期待値そのものである。 すなわち、
である (補足を参考) 。 同じように第二項は、 $Y$ の期待値そのものである。 すなわち、
である。
  したがって、
が成立する。
連続的な場合:
  確率変数 $X$ と $Y$ の同時確率密度関数を $p(x,y)$ とすると、 $X + Y$ の期待値は、
である。
  ここで、 最後の式の第一項は 確率密度関数 $p(x, y)$ に $X$ の値 $x$ を掛けて、 全ての範囲に渡って積分したものであるから、 $X$ の期待値そのものである。 すなわち、
である (補足を参考) 。 同じように第二項は、 $Y$ の期待値そのものである。 すなわち、
である。
  したがって、
が成立する。
補足: 期待値の定義
  一般に確率変数 $X$ と $Y$ からなる関数 $f(X,Y)$ の期待値 $E(f(X, Y))$ は、 $X$ と $Y$ が離散的な場合には、
と定義される。 よって、 $f(X, Y) = X+Y$ の場合が $(1)$ であり、 $f(X, Y) = X$ の場合が $(2)$ であり、 $f(X, Y) = Y$ の場合が $(3)$ である。
  一方、 $X$ と $Y$ が連続的な場合には、
と定義される。 よって、 $f(X, Y) = X+Y$ の場合が $(4)$ であり、 $f(X, Y) = X$ の場合が $(5)$ であり、 $f(X, Y) = Y$ の場合が $(6)$ である。

定数倍の期待値
    確率変数 $X$ の定数 $c$ 倍の期待値は、 $X$ の期待値の $c$ 倍に等しい。 すなわち、
定数倍の期待値
が成立する。

証明
離散的な場合:
  $X = x_{i}$ となる確率を $ \mathrm{Pr}(X=x_{i}) $ と表すと、 $X$ の期待値 $E(X)$ は、
と表される。 ここで、 $n$ は $X$ の事象の数である。
  確率変数 $cX$ は、 $X$ の $c$ 倍の値をとるので、 $cX$ の期待値 $E(cX)$ は、
である。
  したがって、 期待値 $E(cX)$ と $E(X)$ の間には、
の関係がある。  
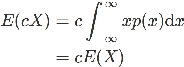
連続的な場合:
  確率変数 $X$ の確率分布 (確率密度関数) を $p(x)$ とする。 $X$ の期待値 $E(X)$ は、
である。
  確率変数 $cX$ は、 $X$ の $c$ 倍の値をとるので、 $cX$ の期待値 $E(cX)$ は、
である。
  これらより、
が成り立つ。

:
  $X$ がサイコロの目である場合、
であり、 $X$ の期待値は、
である。
  続いて、 通常の $2$ 倍の目が書かれたサイコロを振る場合 ($c=2$)、
であり、 期待値が
となる 。
  従って、
である。
定数を加えた期待値
  確率変数 $X$ に定数 $t$ を加えた $X + t$ の期待値は、 もとの期待値に $t$ を加えたものに等しい。 すなわち、
定数を加えた期待値
が成立する。

証明
  離散的な場合:
  $X = x_{i}$ となる確率を $ \mathrm{Pr}(X=x_{i}) $ と表すと、 $X$ の期待値 $E(X)$ は、
と表される。 ここで、 $n$ は $X$ の事象の数である。
  確率変数 $X+t$ は、 $X$ と値が $+t$ だけ異なるので、 $X+t$ の期待値 $E(X+t)$ は、
である。
  ここで、 確率の総和が $1$ になること
を用いると、 期待値 $E(X+t)$ と $E(X)$ の間には、
の関係があることがわかる。  
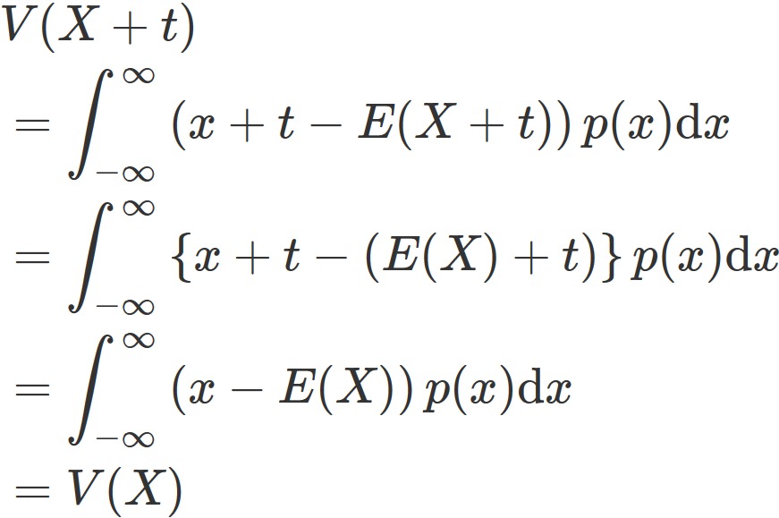
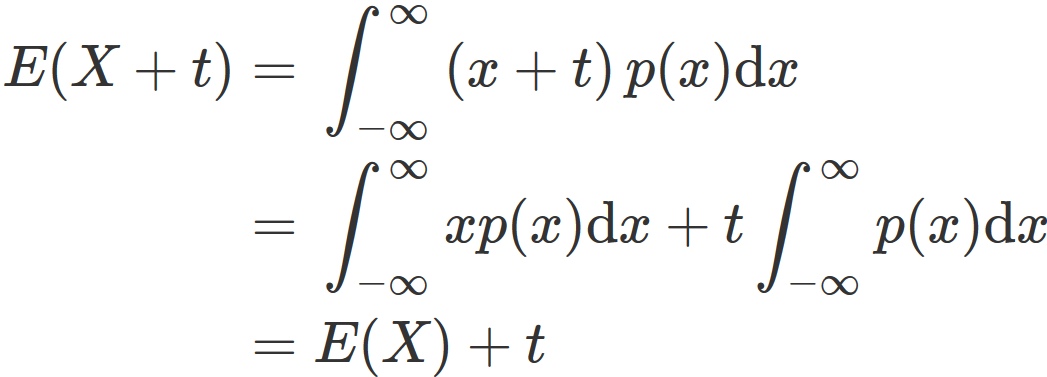
連続的な場合:
  確率変数 $X$ の確率分布 (確率密度関数) を $p(x)$ とする。 $X$ の期待値 $E(X)$ は、
である。
  確率変数 $X+t$ は、 $X$ と値が $+t$ だけ異なるので、 $X+t$ の期待値 $E(X+t)$ は、
である。
  ここで全範囲に渡る確率分布の積分が $1$ になること
を用いると、 期待値 $E(X+t)$ と $E(X)$ の間には、
の関係があることがわかる。

:
  $X$ がサイコロの目である場合、
であり、 期待値は
である。
  一方、 それぞれの目に $3$ を加えたサイコロを振る場合 ($t=3$)、
であり、 期待値は
である。 従って、
が成り立つ。
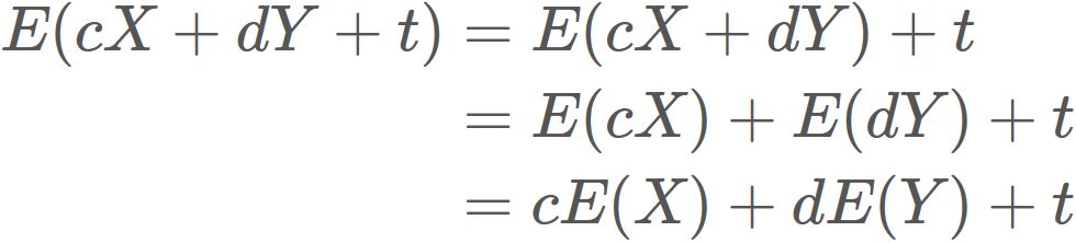
期待値の一般的性質
  以上の性質から、 確率変数 $cX+dY+t$ の期待値は、
期待値の一般的性質
を満たす。
分散の定義
  確率変数 $X$ の分散 $V(X)$ は、
と定義される。
連続確率分布の場合
  分散は
と表される。 ここで $\mathrm{Pr}(X=x_{i})$ は $X=x_{i}$ が観測される確率である。
連続確率分布の場合
  分散は
と表される。 ここで $p(x)$ は $X$ の確率密度関数である。
:
  連続確率分布の分散を求める例題

和の分散
  確率変数の和 $X+Y$ の分散は、 それぞれの分散に等しくなく、 共分散の二倍だけことなる。 すなわち、
和の分散
が成立する。 これを分散の非加法性と呼ぶ。
定数倍の分散
  確率変数 $X$ の定数 $c$ 倍の分散は、 $X$ の分散の $c^2$ 倍に等しい。 すなわち、
定数倍の分散
が成立する。

証明
 
離散的な場合:
  $X = x_{i}$ となる確率を $ \mathrm{Pr}(X=x_{i}) $ と表すと、 $X$ の分散 $V(X)$ は、
と表される。 ここで、 $n$ は $X$ の事象の数であり、 $E(X)$ は $X$ の期待値である。
  確率変数 $cX$ は、 $X$ の $c$ 倍の値をとるので、 $cX$ の分散 $V(cX)$ は、
である。
  ここで 定数倍された確率変数の期待値がもとの期待値の定数倍になること、 すなわち、
を用いると、 分散 $V(cX)$ と $V(X)$ の間には、
の関係があることがわかる。  
連続的な場合:
  確率変数 $X$ の確率分布 (確率密度関数) を $p(x)$ とする。 $X$ の分散 $V(X)$ は、
である。
  確率変数 $cX$ は、 $X$ の $c$ 倍の値をとるので、 $cX$ の分散 $V(cX)$ は、
である。
  ここで 定数倍された確率変数の期待値がもとの期待値の定数倍になること、 すなわち、
を用いると、 分散 $V(cX)$ と $V(X)$ の間には、
の関係があることがわかる。


  $X$ がサイコロの目である場合には、
であり、
である。 これより分散は、
である。
  一方、 $cX$ がサイコロの目の $2$ 倍である場合($c=2$)には、
であり、 期待値が
である (通常の $2$ 倍の目が書かれたサイコロを振る場合の期待値) 。 したがって、 分散は、
となり、
和の分散の例
が成り立つ。
定数を加えた分散
  確率変数 $X$ に定数 $t$ を加えた $X + t$ の分散は、 もとの分散に等しい。 すなわち、
定数を加えた分散
が成立する。

証明
 
離散的な場合:
  $X = x_{i}$ となる確率を $ \mathrm{Pr}(X=x_{i}) $ と表すと、 $X$ の分散 $V(X)$ は、
と表される。 ここで、 $n$ は $X$ の事象の数であり、 $E(X)$ は $X$ の期待値である。
  確率変数 $X+t$ は、 $X$ と値が $+t$ だけ異なるので、 $X+t$ の分散 $V(X+t)$ は、
である。
  ここで、 定数を加えた確率変数の期待値がもとの期待値に定数を加えたものになること、 すなわち、
を用いると、
が成り立つことが分かる。  
連続的な場合:
  確率変数 $X$ の確率分布 (確率密度関数) を $p(x)$ とする。 $X$ の分散 $V(X)$ は、
である。 ここで、 $E(X)$ は$X$ の期待値である。
  確率変数 $X+t$ は、 $X$ と値が $+t$ だけ異なるので、 したがって、 $X+t$ の分散 $V(X+t)$ は、
である。
  ここで、 定数を加えた確率変数の期待値がもとの期待値に定数を加えたものになること、 すなわち、
を用いると、
が成り立つことが分かる。


  $X$ がサイコロの目である場合には、
であり、 期待値は
であるので、 分散は、

  一方、 $X+t$ がサイコロの目に $3$ を加えたものである場合($t=3$)には、
であり、 期待値が
であるため (通常の目に $3$ を加えたサイコロを振る場合の期待値と考えるとよい) 、 分散は、
である。 したがって、
が成り立つ。
分散の一般的性質
  以上の性質から、 確率変数 $cX+t$ の分散は、
分散の一般的性質
を満たす。 ただし、 一般に加法性は満たされない。
分散と期待値および二乗期待値の関係
  確率変数 $X$ の期待値 $E(X)$ と分散 $V(X)$ の間には
分散と二乗期待値の関係
の関係が成立する。 ここで $E(X^2)$ は二乗期待値である。

証明
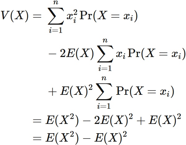
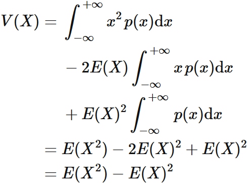
離散的な場合:
  分散の定義を展開して整理すると、
$$ \tag{1} $$ である。
  $(1)$ の右辺の第一項は $X$ の二乗期待値である。すなわち、
である。
  $(1)$ の右辺の第二項の総和の部分は、$X$ の期待値である。 すなわち、
である。
  $(1)$ の右辺の第三項の総和の部分は、 確率の総和を表すので、$1$ である。 すなわち、
である。
  以上を $(1)$ の代入すると、
が成り立つことが分かる。
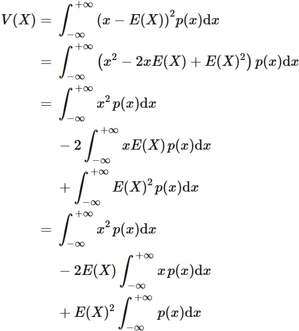
連続的な場合:
  分散の定義を展開して整理すると、
$$ \tag{2} $$   $(2)$ の右辺の第一項は $X$ の二乗期待値である。すなわち、
である。
  $(2)$ の右辺の第二項の総和の部分は、$X$ の期待値である。 すなわち、
である。
  $(2)$ の右辺の第三項の総和の部分は、 確率の総和を表すので、$1$ である。 すなわち、
である。
  以上を $(2)$ の代入すると、
が成り立つことが分かる。

独立な確率変数の積の期待値
  独立な確率変数 $X$ と $Y$ の積 $XY$ の期待値は、 それぞれの期待値の積に等しい。すなわち、
独立な確率変数の積の期待値
が成立する。
独立な確率変数の和の分散
  互いに独立な確率変数 $X$ と $Y$ の和 $X+Y$ の分散は、 それぞれの分散の和に等しい。 すなわち、
独立な確率変数の和の分散
が成立する。