一様分布の期待値と分散の求め方

一様分布の定義
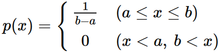
  確率変数 $X$ の確率密度関数が
一様分布の確率密度関数
であるとき、 $X$ が一様分布に従うといい、
と表される。
一様分布の図
$a = 1, b=3$ の場合 (青)
$a = 1, b=5$ の場合 (赤)
一様分布の期待値
  一様分布 $U(a,b)$ に従う確率変数 $X$ の期待値 $E(X)$ は、
である。

証明
  一様分布の定義により、 期待値は、
である。 。
  このように一様分布の期待値は、 $b$ と $a$ の中点である。

一様分布の分散
  一様分布 $U(a,b)$ に従う確率変数 $X$ の分散 $V(X)$ は、
である。

証明
  一般に分散は二乗期待値と期待値の二乗の差である。 すなわち、
が成り立つ。 上で示したように、 一様分布 $U(a,b)$ に従う確率変数 $X$ の期待値は
であるので、
と表せる。 したがって、 二乗期待値 $E(X^2)$ を求めれば、分散 $V(X)$ が求まる。
  一様分布に従う確率変数 $X$ の二乗期待値 $E(X^2)$は、
である。 ここで、因数分解
を用いた。 以上から、
である。
  このように、一様分布の分散は $a$ と $b$ の差の二乗に比例する。