t 分布の性質

t 分布の定義
  確率変数 $X$ の確率密度関数 $p(x)$ が
t分布の確率密度関数
であるとき、$X$ が自由度 $\nu$ の t 分布に従うという。 ここで、$B( \hspace{1mm}\cdot\hspace{1mm},\hspace{1mm}\cdot\hspace{1mm})$ はベータ関数である。
T分布のグラフ
自由度 $2$ の t 分布 (青色)
自由度 $10$ の t 分布 (橙色)
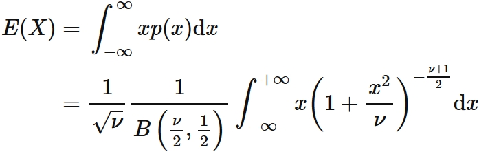
t 分布の期待値
  確率変数 $X$ が自由度 $\mu$ の t 分布に従うとき、 $X$ の期待値は、
t分布の期待値
である。

証明
  確率変数 $X$ が自由度 $\mu$ の t 分布に従うとき、 確率密度関数 $p(x)$ が
t分布の期待値
であるので、 期待値
$$ \tag{1} $$ である。
  右辺の積分において、積分変数を $ s = -x $ と置くと、 $$
であるので、
と表される。最後の行は、非積分関数 $s$ を $x$ に置き換えて表しただけである。
  これより、
であるので、$(1)$ から、
である。

補足:
  確率密度関数が偶関数の期待値は必ず $0$ になる。 なぜならこの場合、期待値
が奇関数になり、 奇関数の積分が $0$ になるからである。 $t$ 分布の期待値はその一例である。
t 分布の分散
  $X$ が自由度 $\mu$ の t 分布に従うとき、 $X$ の分散は、
t分布の分散
である。 ただし、$\nu>2$ とする。

証明
  一般に分散は二乗期待値と期待値の二乗の差であり、 t分布の期待値が $0$ であることから
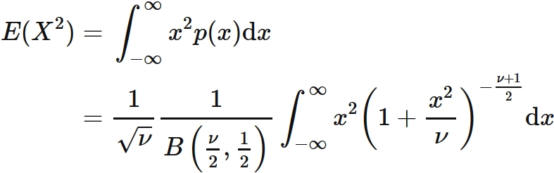
$ \tag{1} $ が成り立つ。 よって、 二乗期待値 $E(X^2)$ を求めれば、 分散 $V(X)$ が求まる。
  確率変数 $X$ が自由度 $\mu$ の t 分布に従うとき、 確率密度関数 $p(x)$ が
であるので、 二乗期待値 $E(X^2)$ は、
$$ \tag{2} $$ である。
  右辺の積分は、
$$ \tag{3} $$ と表せるが、第一項の積分は、$x=-s$ と置換すると、
であることから、
$$ \tag{4} $$ である。よって、$(3)(4)$ から、
であるので、二乗期待値 $(2)$ は、
$$ \tag{5} $$ と表せる。
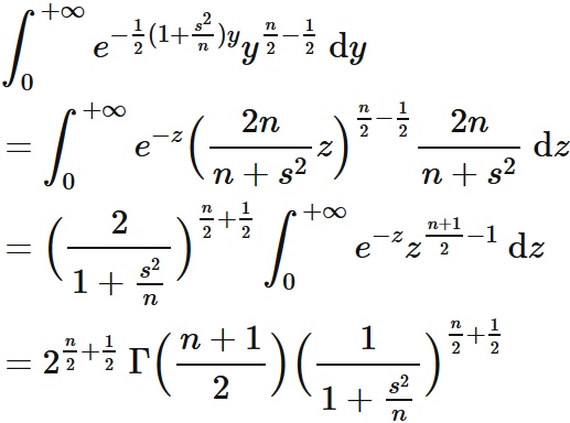
  ここで右辺の積分の積分変数を
と置換すると、
であることから、
となる。最後の等式の $B(\cdot, \cdot)$ は ベータ関数である。
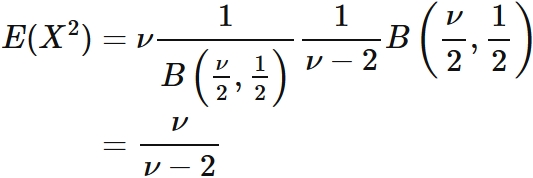
  よって、二乗期待値 $(5)$ は、
$$ \tag{6} $$ と表せる。
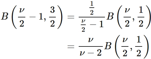
  ここで、ベータ関数の満たす性質
を、$s=\frac{\nu}{2}-1$, $t=\frac{1}{2}$ として用いると、
が成立するので、$(7)$ は、
と表せる。
  このようにして、二乗期待値 $E(X^2)$ が得られたので、t分布の分散 $V(X)$ は、$(2) $ から、
t分布の分散
である。

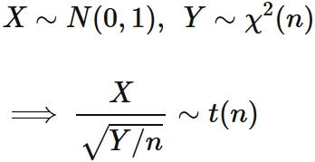
正規分布とカイ二乗分布に従う確率変数による $t$ 分布
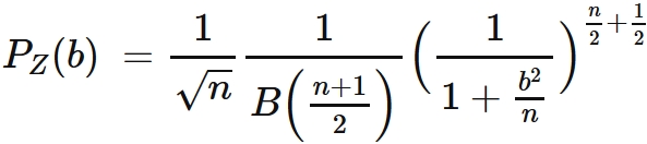
  確率変数 $X$ が正規分布 $N(0,1)$ に従い、 確率変数 $Y$ がカイ二乗分布 $\chi^2(n)$ に従うとき、 これらから定義される確率変数 $Z = \frac{X}{\sqrt{Y/n}}$ は、 自由度 $n$ の $t$ 分布に従う。 すなわち、
正規分布とカイ二乗分布に従う確率変数によるt分布
が成り立つ。

証明
  確率変数 $X$ が正規分布 $N(0,1)$ に従い、 確率変数 $Y$ がカイ二乗分布 $\chi^2(n)$ に従うとする。 すなわち、
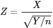
$$ \tag{1} $$ であるとする。 また、確率変数 $Z$ を
$$ \tag{2} $$ と定義する。
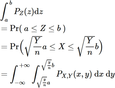
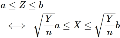
  $Z$ の従う確率密度関数を $P_{Z}(z)$ と表すとき、 $Z$ の値が $a$ から $b$ の間に観測される確率 $\mathrm{Pr} ( \hspace{1mm} a \leq Z \leq b \hspace{1mm})$ は、
$$ \tag{3} $$ である。
  一方で、 $(2)$ より、
であるので、
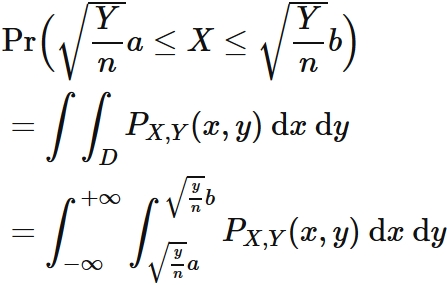
$$ \tag{4} $$ が成り立つ。 右辺は、確率変数 $X$ と $Y$ が関数 $ X = \sqrt{\frac{Y}{n}}a $ と直線 $ X = \sqrt{\frac{Y}{n}}b $ に挟まれた領域(下図)の中の値として観測される確率である。
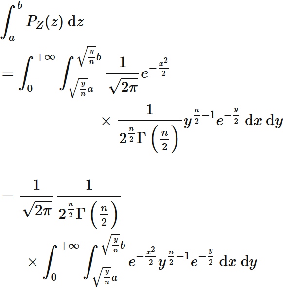
従って、 この領域を $D$ とすると、 $(4)$ の右辺の確率を $X$ と $Y$ の同時確率密度関数 $ P_{X,Y} (x,y) $ によって、
$$ \tag{5} $$ と表せる。 ここで三つめの等号では、領域 $D$ に渡る積分が $x$ について $\sqrt{\frac{y}{n}}a$ から $\sqrt{\frac{y}{n}}b$ まで積分した後、 $y$ について $-\infty$ から $+\infty$ まで積分する二重積分であることを用いた。
  以上の $(3) (4) (5)$ により、
となるが、 $X$ と $Y$ は互いに独立な確率変数であるので、
が成り立つことから ($ P_{X}(x)$ と $ P_{Y}(y)$ はそれぞれ $X$ と $Y$ の従う確率密度関数)、
である。
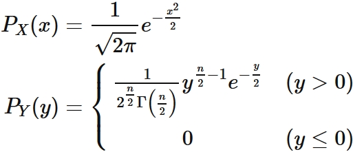
  $(1)$ より、$X$ と $Y$ のそれぞれの確率密度関数は、
である。よって、
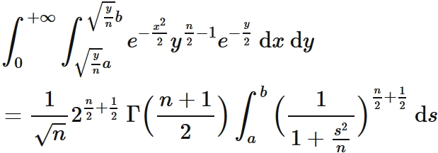
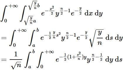
$$ \tag{6} $$ である。
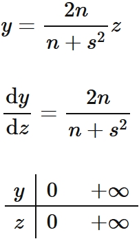
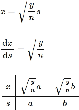
  右辺の積分に対し、 $ s = \sqrt{\frac{n}{y}} x $ と置換すると、
であるので、
$$ \tag{7} $$ と表せる。
  右辺の $y$ に対する積分に対して
と置くと、
であるから、
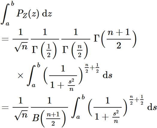
である。 最後の行ではガンマ関数の定義を用いた。 これを $(7)$ に代入すると、
である。 これを $(6)$ に代入すると、
と表せるが、 ガンマ関数の性質により、
が成り立つことを用いると (ここで $B(\cdot, \cdot)$ はベータ関数)、
と表せる。 両辺を $b$ で微分すると、
を得る。 これは、 自由度 $n$ の $t$ 分布の確率密度関数である。
  以上から、確率変数 $X$ が正規分布 $N(0,1)$ に従い、 確率変数 $Y$ がカイ二乗分布 $\chi^2(n)$ に従うとき、 これらから定義される確率変数 $Z = \frac{X}{\sqrt{Y/n}}$ は、 自由度 $n$ の $t$ 分布に従う。