ベータ関数とは? ~ 性質と公式 ~

ベータ関数の定義
  次の積分
ベータ関数の定義
で定義される $s$ と $t$ の関数 $B(s,t)$ を ベータ関数 (beta function) という。 ここで、$s, t \gt 0$ である。
  下記の収束証明にも書かれているように、 ベータ関数は広義積分である。
ベータ関数の図
ベータ関数の収束
ベータ関数
ベータ関数の定義
は収束する (有限な値を持つ)。
証明
  $s \geq 1$ かつ $t \geq 1$ の場合、 ベータ関数の定義に含まれる非積分関数
は、積分範囲 $[0,1]$ で連続な関数である。 一般に積分範囲で連続な関数は積分可能であるので、 ベータ関数は (発散せずに) 値を持つ
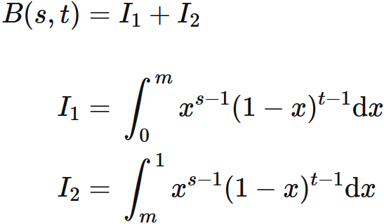
  したがって、以下では、 $0 \lt s \lt 1$ または $0 \lt t \lt 1$ の場合のみを考察する。 その際、 $0 \lt m \lt 1$ を満たす実数を $m$ とし、 ベータ関数を定義する積分を、 $0$ から $m$ までの積分と、 $m$ から $1$ までの積分に分けて表す。 すなわち、
と表し、 積分 $I_{1}$ と積分 $I_{2}$ の収束性をそれぞれに分けて証明する。
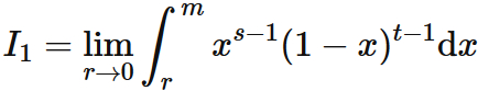
積分 $I_{1}$ の収束
  $0 \lt s \lt 1$ の場合、 $I_{1}$ の非積分関数
は、 $x=0$ で発散するので、 $I_{1}$ は 正確には広義積分によって
と定義される。 この積分が収束することを示す。
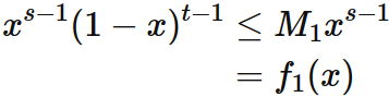
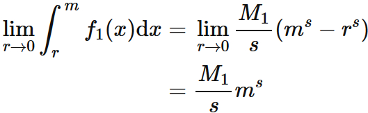
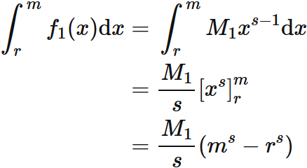
  積分範囲 $ [r, m] $ において、 関数 $(1-x)^{t-1}$ は連続関数であるため、 最大値を持つ (連続関数の最大値・最小値の定理)。これを $M_{1}$ とすると、
が成立する。 ここで関数 $f_{1}(x)$ を
と定義した。
  $f_{1}(x)$ を $I_{1}$ と同じ積分範囲で積分すると、
であるので、積分の極限が
のように収束する(有限な値になる)。
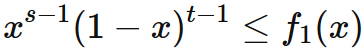
  以上より、 関数 $f_{1}(x)$ は $I_{1}$ と同じ積分範囲において、
を満たし、積分が収束するので、 $x^{s-1} (1-x)^{t-1} $ の優関数である。
  一般に、 優関数を持つ関数の積分は収束するので、 積分 $I_{1}$ は収束する(優関数と積分の収束については補足を参考)。
  $s \geq 1$ かつ $0 \lt t \lt 1$ の場合には、 積分範囲 $ [0, m] $ において、被積分関数 $x^{s-1} (1-x)^{t-1} $ が連続なので、 $I_{1}$は積分可能である(有限な値を持つ)。
  以上から、$0 \lt s \lt 1$ または $0 \lt t \lt 1$ の場合に 積分 $I_{1}$ は 収束する。
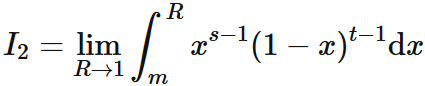
積分 $I_{2}$ の収束
  $0 \lt t \lt 1$ の場合、 $I_{2}$ の非積分関数
は、 $x=1$ で発散するので、 積分 $I_{2}$ は広義積分によって、
と定義される。
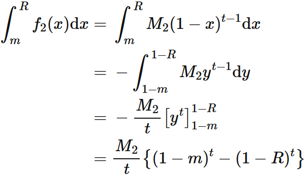
  積分範囲 $ [m, R] $ において、 関数 $x^{s-1}$ は連続関数であるため、 最大値を持つ (連続関数の最大値・最小値の定理)。これを $M_{2}$ とすると、
が成立する。 ここで、関数 $f_{2}(x)$ を
と定義した。
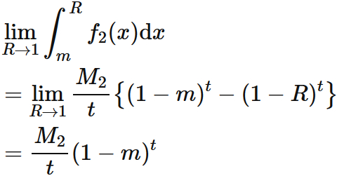
  $f_{2}(x)$ を $I_{2}$ と同じ積分範囲で積分すると、
となる。途中で $y=1-x$ と置いて置換積分を行った。 この積分の極限は
のように収束する (有限な値を持つ)。
  以上より、 関数 $f_{2}(x)$ は $I_{2}$ と同じ積分範囲において、
を満たし、積分が収束するので、 $x^{s-1} (1-x)^{t-1} $ の優関数である。
  一般に、 優関数を持つ関数の積分は収束するので、 積分 $I_{2}$ は収束する(優関数と積分の収束については補足を参考)。
  $t \leq 1$ かつ $0 \lt s \lt 1$ の場合には、 積分範囲 $ [m, 1] $ において、被積分関数 $x^{s-1} (1-x)^{t-1} $ が連続なので、積分 $I_{2}$ は収束する。
  以上から、$0 \lt s \lt 1$ または $0 \lt t \lt 1$ の場合、 積分 $I_{2}$ は収束する。
まとめ
  以上より、積分 $I_{1}$ と $I_{2}$はそれぞれ任意の $s,t >0$ に対して収束する。 よって、ベータ関数 $B(s,t)$ は収束する

補足:優関数定理
  区間 $(a, b \hspace{0.5mm}]$ で連続な関数 $h(x)$ と $k(x)$ が、 次の二つの性質

$(1)$   $0\leq h(x) \leq k(x)$
$(2)$  
が収束する。

を満たすとき、 $k(x)$ を $h(x)$ の優関数という。 このとき、積分
は収束する。 これを優関数定理と呼ぶ。
  上の議論では、 この定理を $a=0$, $b=m$, $h(x)=x^{s-1} (1-x)^{t-1}$, $k(x)=f_{1}(x)$ の場合に対して適用し、 積分 $I_{1}$ の収束性を証明した。
  $I_{2}$ についても同様である。
ベータ関数の対称性
  ベータ関数は、変数 $s$ と $t$ の入れ替えに対して不変に保たれる。すなわち、
が成立する。
証明
  ベータ関数の定義において、 $1-x = u$ として置換積分を行うと、 $\mathrm{d}x/\mathrm{d}u = -1$ であるので、
が成り立つことが分かる。

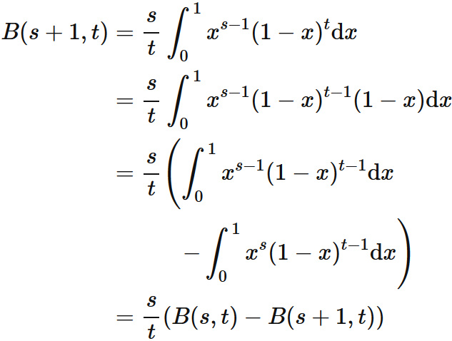
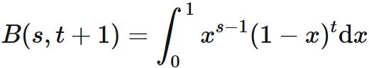
+1だけ異なる場合のベータ関数
  ベータ関数には
の関係がある。
証明
  はじめに
を証明する。
  ベータ関数の定義から
である。 右辺を部分積分すると、
となる。
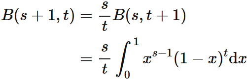
  続いて
を証明する。
  $(1)$ とベータ関数の定義から
であるが、被積分関数に含まれる $(1-x)^{t}$ を
と表すことによって
と表される。 この式を $B(s+1,t)$ について解くと、
を得る。
  最後に
を証明する。
  これは $(1)$ と $(2)$ によって、
と示される。

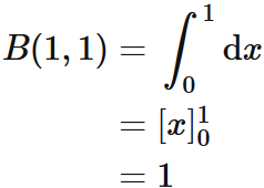
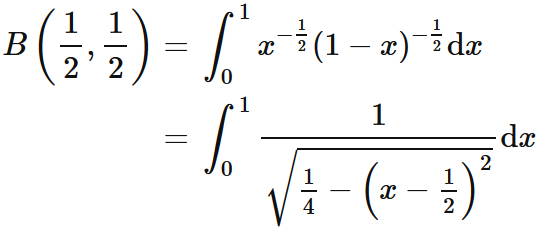
$B(1,1)$ と $B(\frac{1}{2}, \frac{1}{2})$
  $s=t=1$ の場合
であり、 $s=t=1/2$ の場合
である。
証明
  $B(1,1)$ については ベータ関数の定義より、
である。
  $B(1/2,1/2)$ についてはベータ関数の定義より、
と表し、
と置いて置換積分を実行する。 このとき、
であるので、
である。

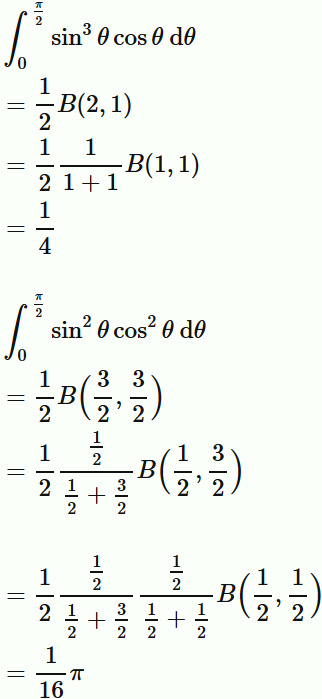
三角関数の積分への応用
  ベータ関数を三角関数の積分によって、
と表される。
証明
  $ x = \sin^{2} \theta $ と置いて、置換積分を行う。 このとき、
であるので、
と表せる。

:
  上の諸性質を用いると、
であることが分かる。
ガンマ関数とベータ関数との関係
  ベータ関数はガンマ関数によって \begin{eqnarray} B (s,t) = \frac{ \Gamma(s) \Gamma(t) }{\Gamma(s+t)} \end{eqnarray} と表される。