F分布の性質

F分布の定義
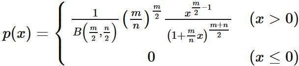
  確率変数 $X$ の確率密度関数 $p(x)$ が
F分布の確率密度関数
であるとき、$X$ が自由度 $(m,n)$ のF分布に従うといい、
と表す。 ここで、$B( \hspace{1mm}\cdot\hspace{1mm},\hspace{1mm}\cdot\hspace{1mm})$ はベータ関数である。
F分布のグラフ
$F(5,10)$ (青色)
$F(5,100)$ (橙色)
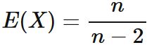
F分布の期待値
  $X$ が自由度 $(m,n)$ のF分布に従うとき、 $X$ の期待値は、
F分布の期待値
である。ただし、$n>2$ とする。

証明
  期待値とF分布の定義 により、
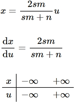
であるが、 $ \frac{1}{1+\frac{m}{n}x} = u $ と置くと、
であることから、置換積分により、
と表せる。 右辺の積分は、ベータ関数の定義により、
であるので、
である。 2番目の等号では ベータ関数のガンマ関数による表現
を用いた。
  また、ガンマ関数が階乗の一般化であること
を用いると、
である。 4つめの等号では再度ベータ関数とガンマ関数の間の関係 を用いた。

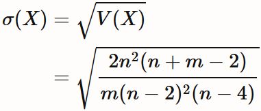
F分布の分散
  $X$ が自由度 $(m,n)$ のF分布に従うとき、 $X$ の分散は、
F分布の分散
ただし、$n>4$ とする。

証明
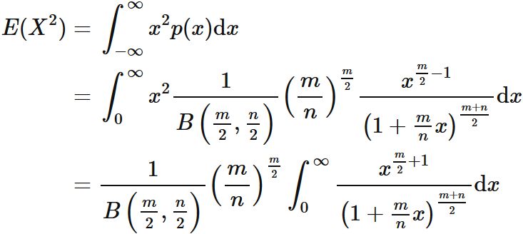
  一般に分散は二乗期待値と期待値の二乗の差であるので、
$$ \tag{1} $$ である (ここでF分布の期待値の結果を用いた) 。 よって、 二乗期待値 $E(X^2)$ を求めれば、 分散 $V(X)$ が求まる。
  $E(X^2)$ は F分布の定義により、
である。 ここで $ \frac{1}{1+\frac{m}{n}x} = u $ と置くと、
であるので、
と表せる。 右辺の積分は、ベータ関数の定義により、
であるので、
と表せる。ここで ベータ関数のガンマ関数による表現
を用いた。 また、ガンマ関数が階乗の一般化であること
を用いると、
である。 4つめの等号では再度 ベータ関数とガンマ関数の間の関係 を用いた。
  これを $(1)$ に代入すると、
を得る。

補足:
  $X$ が自由度 $(m,n)$ のF分布に従うとき、 $X$ の標準偏差 $ \sigma(X) $ は、
である。
カイ二乗分布とF分布
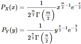
  互いに独立な確率変数 $X$ と $Y$ がそれぞれ自由度 $m$ と $n$ の カイ二乗分布に従うとする。 すなわち、
であるとする。 このとき、 $\frac{X/m}{Y/n}$ は自由度 $(m,n)$ のF分布に従う。 すなわち、
カイ二乗分布とF分布の関係
である。

証明
  確率変数 $X$ と $Y$ がそれぞれ自由度 $m$ と $n$ の カイ二乗分布に従うとする。 すなわち、
$$ \tag{1} $$ であるとする。 また、確率変数 $Z$ を
$$ \tag{2} $$ と定義する。
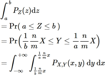
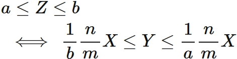
  $Z$ の従う確率密度関数を $P_{Z}(z)$ と表すとき、 $Z$ の値が $a$ から $b$ の間に観測される確率 $\mathrm{Pr} ( \hspace{1mm} a \leq Z \leq b \hspace{1mm})$ は、
$$ \tag{3} $$ である。
  一方で、 $(2)$ より、
であるので、
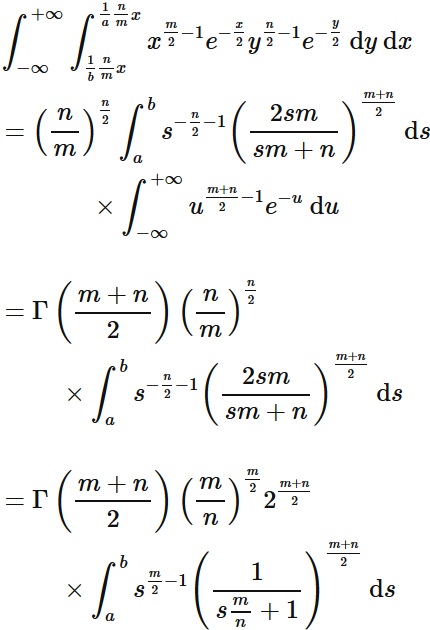
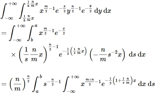
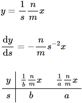
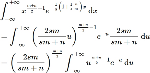
$$ \tag{4} $$ が成り立つ。 右辺は、確率変数 $X$ と $Y$ が直線 $ Y = \frac{1}{b} \frac{n}{m}X $ と直線 $ Y =\frac{1}{a} \frac{n}{m}X $ に挟まれた領域(下図)の中の値として観測される確率である。
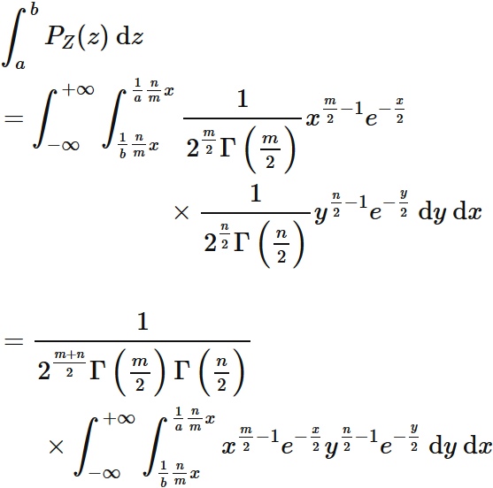
従って、 この領域を $D$ とすると、 $(4)$ の右辺の確率を $X$ と $Y$ の同時確率密度関数 $ P_{X,Y} (x,y) $ によって、
$$ \tag{5} $$ と表せる。 ここで三つめの等号では、領域 $D$ に渡る積分が $y$ について $\frac{1}{b} \frac{n}{m}x$ から $\frac{1}{a} \frac{n}{m}x$ まで積分した後、 $x$ について $-\infty$ から $+\infty$ まで積分する二重積分であることを用いた。
  以上の $(3) (4) (5)$ により、
となるが、 $X$ と $Y$ は互いに独立な確率変数であるので、
が成り立つことから ($ P_{X}(x)$ と $ P_{Y}(y)$ はそれぞれ$X$ と $Y$ の従う確率密度関数)、
である。
  $(1)$ より、$X$ と $Y$ のそれぞれの確率密度関数は、
である。よって、
$$ \tag{6} $$ である。
  右辺の積分に対し、 $ s = \frac{1}{y} \frac{n}{m}x $ と置換すると、
であるので、
$$ \tag{7} $$ と表せる。
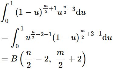
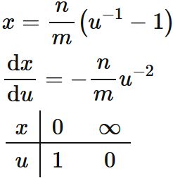
  右辺の $x$ に対する積分に対して
と置くと、
であるから、
である。 これを $(7)$ に代入すると、
$$ \tag{8} $$ である。ここで、二つ目の等号ではガンマ関数の定義から
であることを用いた。
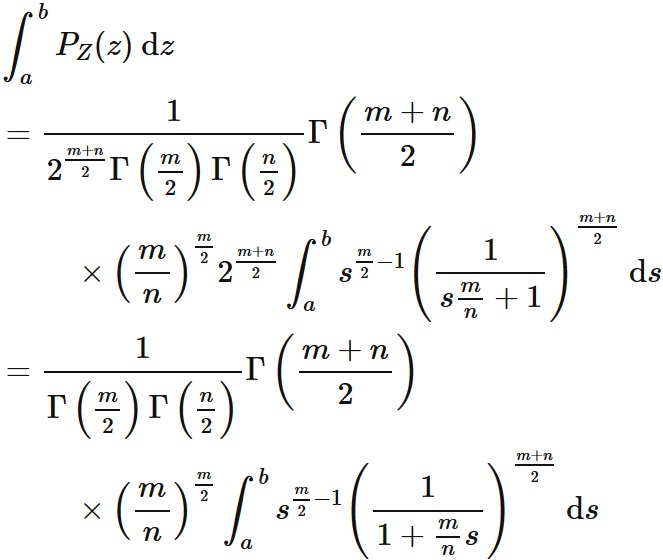
  $(8)$ を $(6)$ に代入すると、
と表せるが、 ベータ関数とガンマ関数の関係
を用いると、
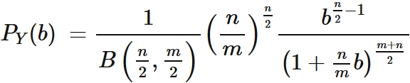
と表せる。 両辺を $b$ で微分すると、
を得る。 これは、 自由度 $(m,n)$ のF分布の確率密度関数である。
  以上から、自由度がそれぞれ $m$ と $n$ のカイ二乗分布に従う確率変数の比 $(1)$ は、 自由度 $(m,n)$ のF分布に従う。

逆数の F 分布
  確率変数 $X$ が自由度 $(m, n)$ の F 分布に従うとき、 確率変数の逆数 $1/X$ は自由度 $(n,m)$ の F 分布に従う。 すなわち、
逆数の F 分布
が成り立つ。

証明
  自由度 $(m, n)$ の F 分布に従う確率変数 $X$ によって、 確率変数 $Y$ を
と定義し、$Y$ の確率密度関数を $P_{Y} (y)$ と表す。 このとき、 $Y$ が区間 $a \leq Y \leq b$ の間に観測される確率 $\mathrm{Pr} (a \leq Y \leq b) $ は、
$$ \tag{1} $$ である。 一方で、
であるので、
$$ \tag{2} $$ が成り立つ。 $X$ が $F$ 分布に従うので、 確率密度関数 $P_{X} (x)$ は、
である。これより、
$$ \tag{3} $$ である。 以上の $(1)(2)(3)$ により、
が成り立つ。
  ここで積分変数を $s=1/x$ と置き換えると、
であるので、
$$ \tag{4} $$ と表せる。 最後の行ではベータ関数の対称性
を用いた。 両辺を $b$ で微分すると、
を得る。 これは、 自由度 $(n,m)$ の F 分布の確率密度関数である。
  以上から、 自由度 $(m, n)$ の F 分布に従う確率変数 $X$ の逆数 $1/X$ は、 自由度 $(n,m)$ の F 分布に従う。 すなわち、
逆数の F 分布
が成り立つ。